PDF(1)
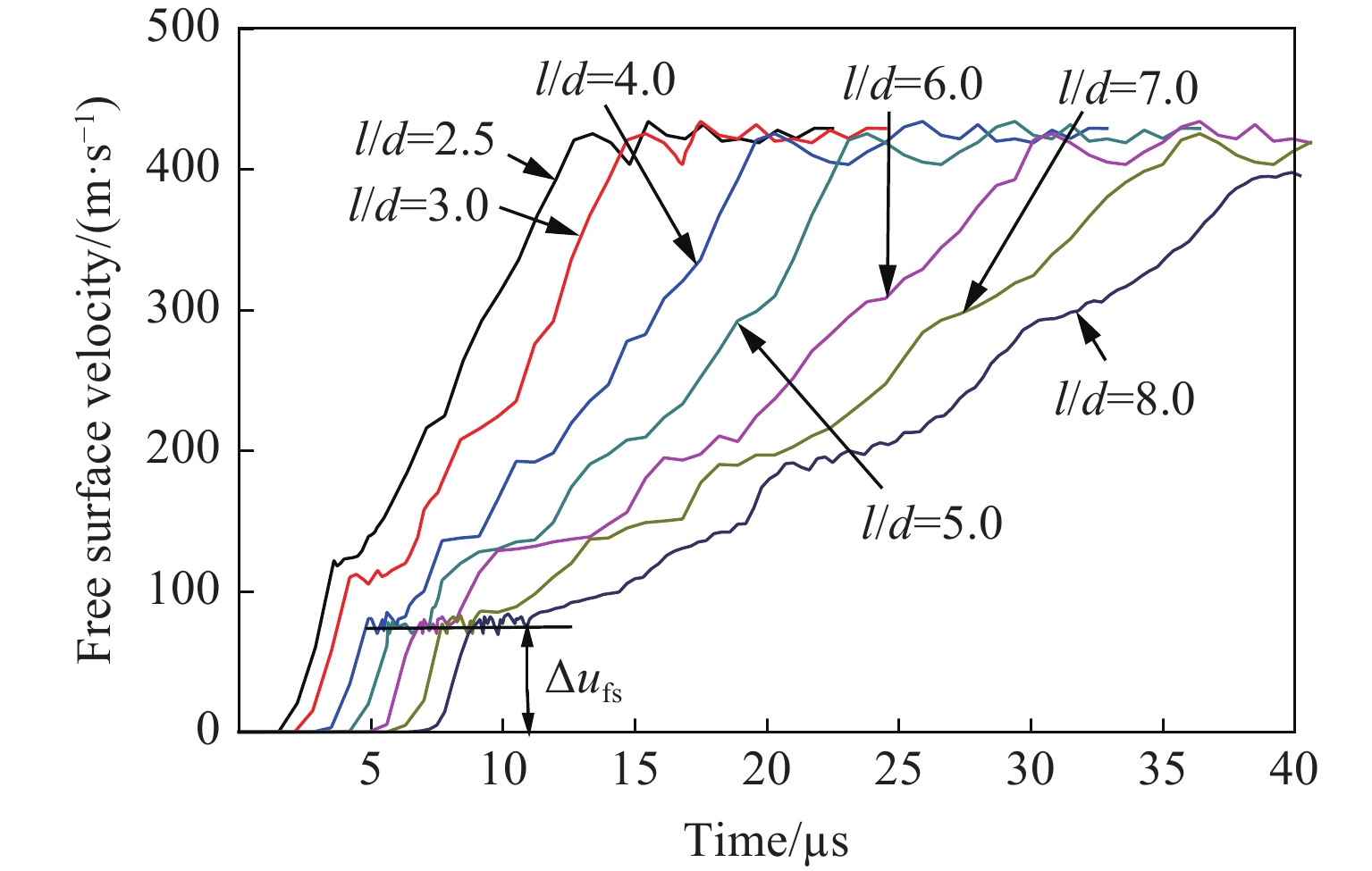
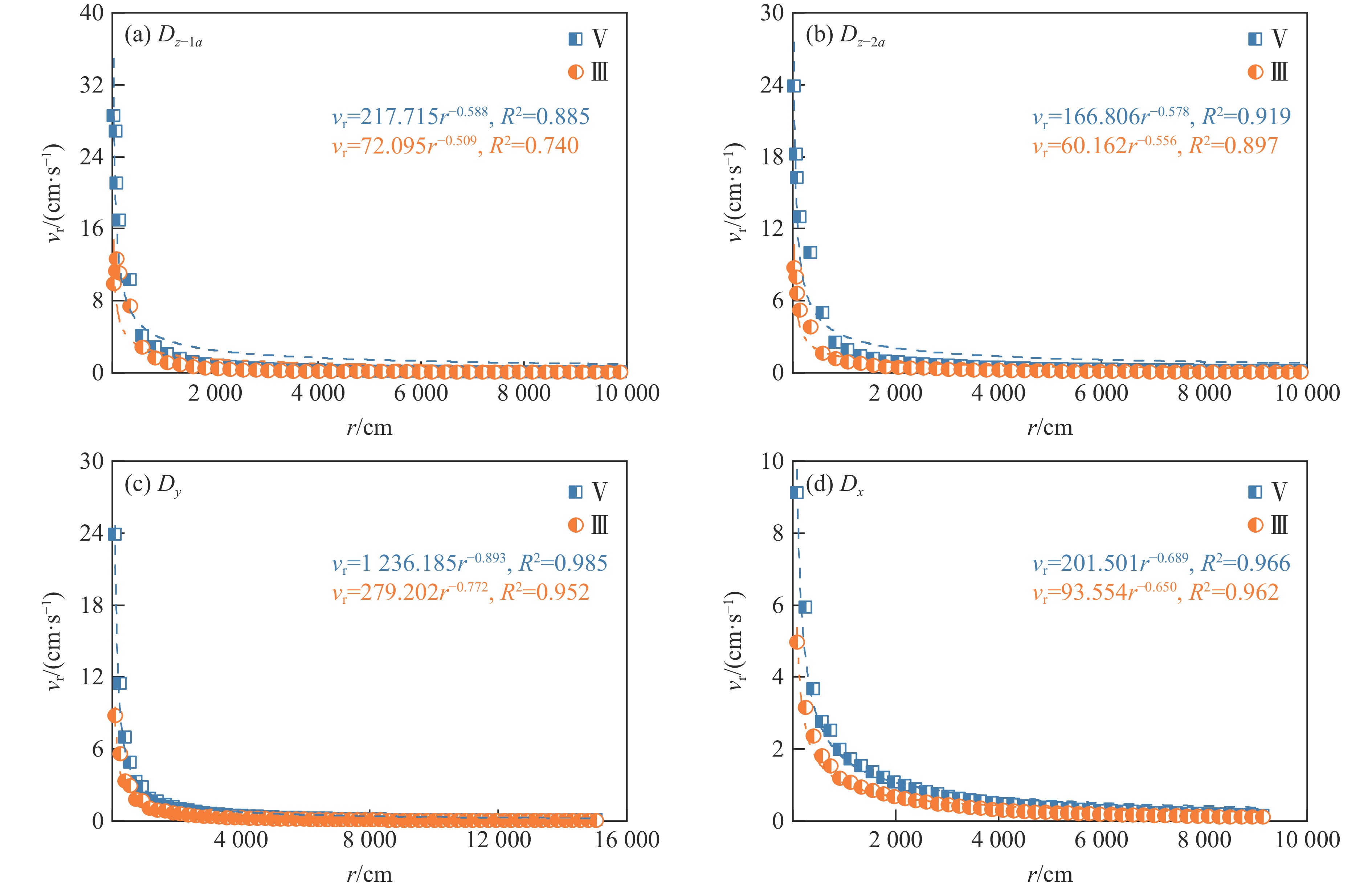
为研究工程爆破中爆破参数对碎石抛掷的影响,设计了基于数字高速图像采集系统的球形靶爆炸混凝土抛掷实验系统,开展了单孔和三孔装药条件下混凝土抛掷试验研究,对比了单孔和三孔装药条件下球形靶爆炸后的破坏模式和抛掷质量。建立了球形靶爆炸仿真模型,通过试验验证了模型的准确性,并仿真计算了不同炸药孔数量和不同球形靶强度下混凝土抛掷特性。研究结果表明,炸药量为5g时,三孔比单孔炸药的抛掷混凝土质量多89%;炸药量为10g时,三孔比单孔炸药的抛掷混凝土质量多82.1%,可见炸药量不变时,增加炸药孔数量能够有效提升混凝土抛掷质量和爆坑面积,有利于提高生产效率降低成本。仿真计算结果与试验数据吻合较好。
PDF(0)
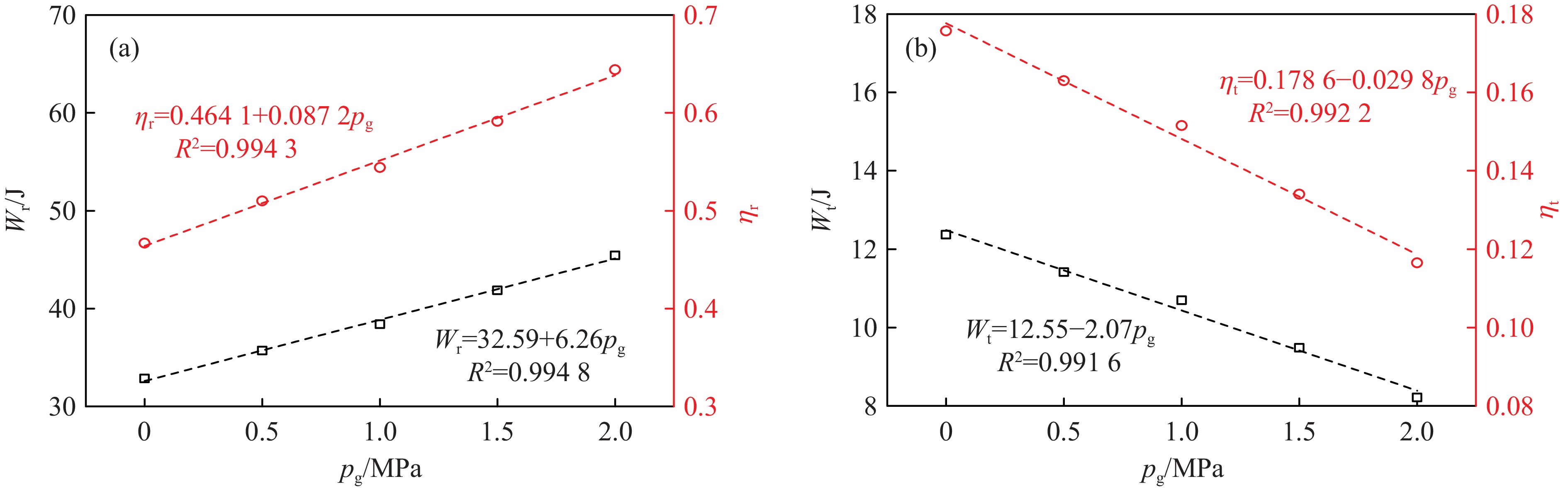
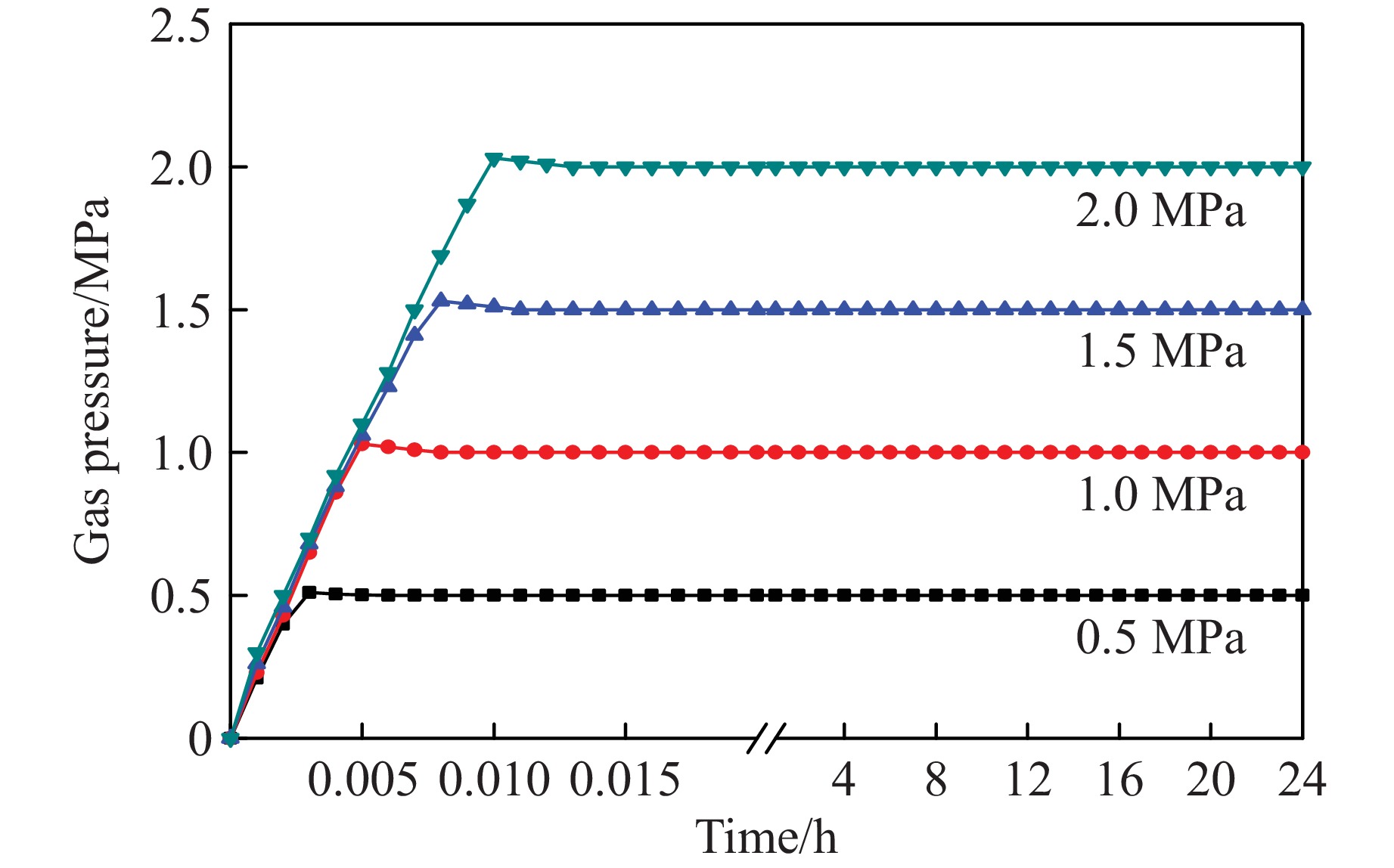
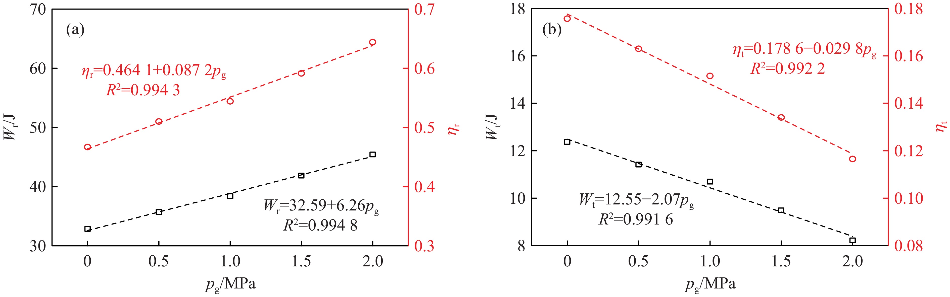
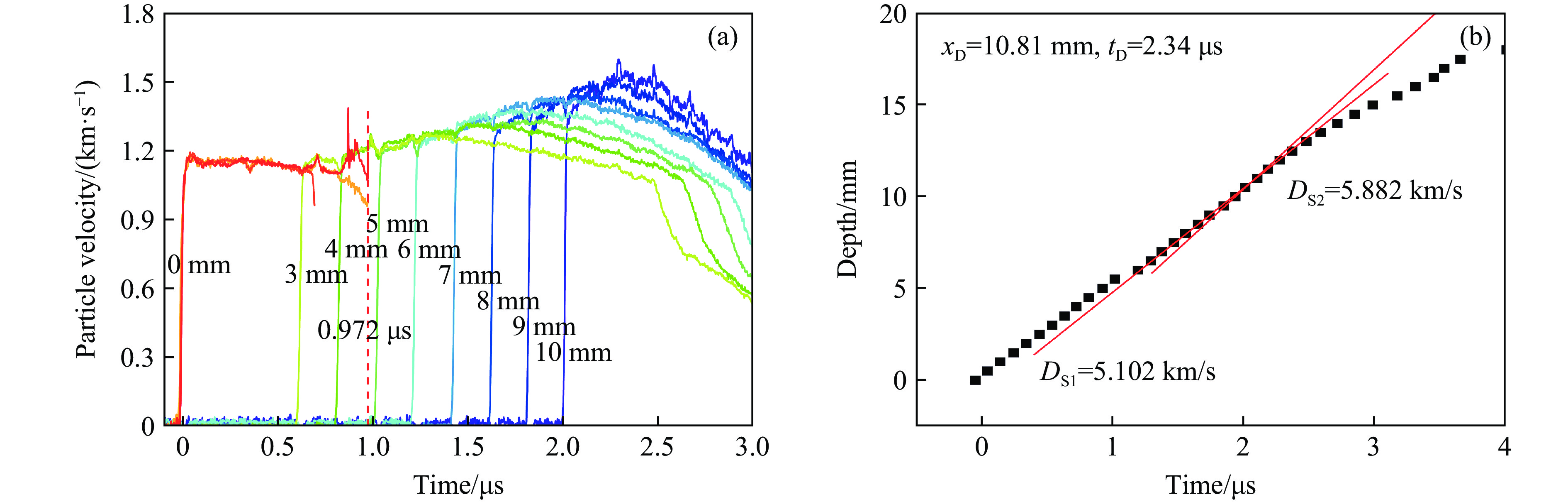
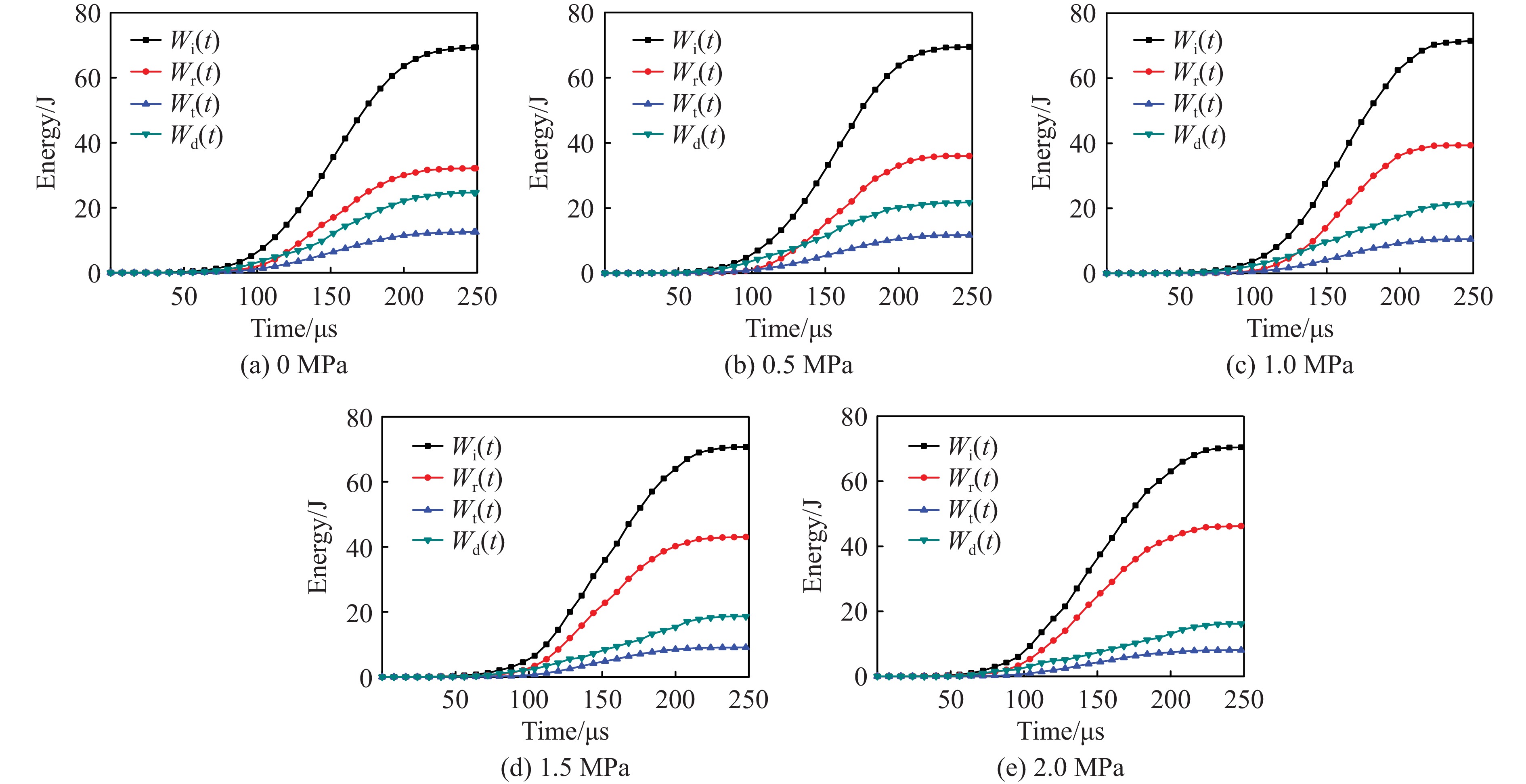
为探究铵胺炸药在深水静压环境下的爆炸性能,设计了深水静压环境下爆破装药的实验模拟装置,使用光学显微镜观测炸药在常压和0.1 MPa、0.2 MPa、0.3 MPa、0.4 MPa静压作用1 h卸压复原后的微观气泡变化,采用Fiji图像分析技术对敏化气泡分布尺寸进行微观表征,并对静压作用下炸药密度进行测量,测试了外径40 mm PVC装药管中炸药在常压下、卸压后以及静压作用下炸药的爆速。结果表明,深水静压环境对铵胺炸药性能具有显著影响,对于卸压复原后的铵胺炸药,当压力值在0~0.2 MPa之间,炸药的微小气泡数量随压力值增大而增加,有效“热点”增加,其爆速由4313 m·s-1提升至4621 m·s-1,当压力值大于0.2 MPa,气泡集聚并合并,有效“热点”减少,当压力值为0.4 MPa时,爆速下降至4072 m·s-1;对于静压作用下起爆的铵胺炸药,随着压力值由0增大到0.4 MPa,炸药密度由1.02 g·cm-3增大至1.34 g·cm-3,满足ρ=0.47P0.43+1.02,爆速由常压下4313 m·s-1升至0.1 MPa下4448 m·s-1,0.3 MPa下降至3412 m·s-1,0.4 MPa拒爆。铵胺炸药具备一定的抗深水静压性能,且卸压后复原性好。
PDF(0)
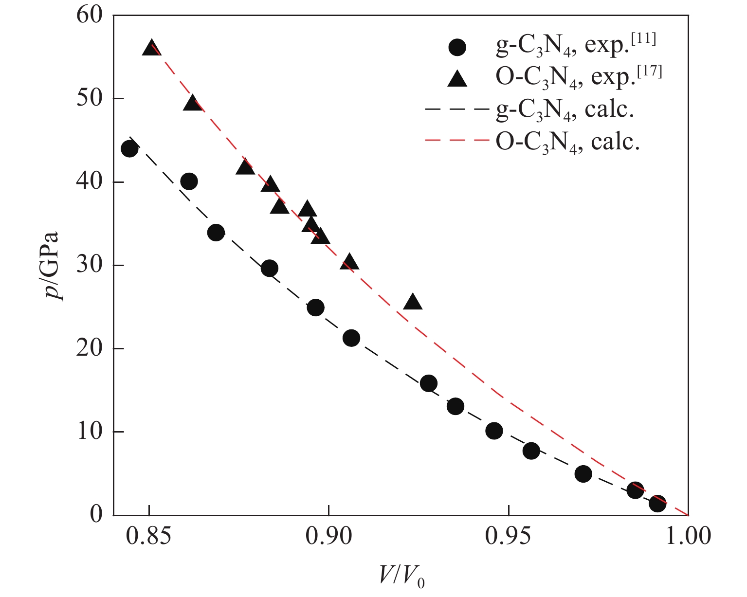
摘 要:含水硅酸镁作为早期地球内部极可能存在的富水储库,研究其在超高温高压条件下的赋存形式对了解超级地球内部结构模型和含水可能性具有重要意义。基于第一性原理分子动力学模拟,本研究系统探究了β-Mg₂SiO₅H₂在500-900 GPa、2000-6000 K温压范围内的稳定性和弹性特征。结果表明体系在整个研究的温度压力区间内保持热力学稳定,未发生结构相变。均方位移计算明确了超离子态转变区间:在500 GPa、2000 K,700 GPa、3000 K,900 GPa、3100 K时,所有原子均被束缚在晶格内,体系处于正常态;当温度升至500 GPa、4000 K,700 GPa、5000 K,900 GPa、6000 K时,H原子均方位移呈线性增长,而Mg、Si、O的骨架原子保持局域化,H质子轨迹形成弥散网络,呈现“固态骨架+液态离子”的超离子态特征。模拟结果显示β-Mg₂SiO₅H₂密度随压力线性增加,剪切模量随温度升高近线性下降,体积模量在900 GPa、6000 K时显著降低,可能响应超离子态转变的影响。剪切波速和压缩波速的变化趋势主要受温压控制,随压力的增加而增加,随温度的增加而降低;而高压下(900GPa)超离子态使得β-Mg₂SiO₅H₂的压缩波速出现明显降低,推测超离子态转变导致结构软化。本研究证实β-Mg₂SiO₅H₂在符合5-8倍地球质量的超级地球地幔深部温压条件下可以稳定存在并在一定的温压条件可以转变为超离子态,其高达11.4 wt%的含水量与高效质子输运能力对类地行星深部水循环与宜居性有着潜在重要影响,为理解行星内部动力学提供关键理论依据。
PDF(5)
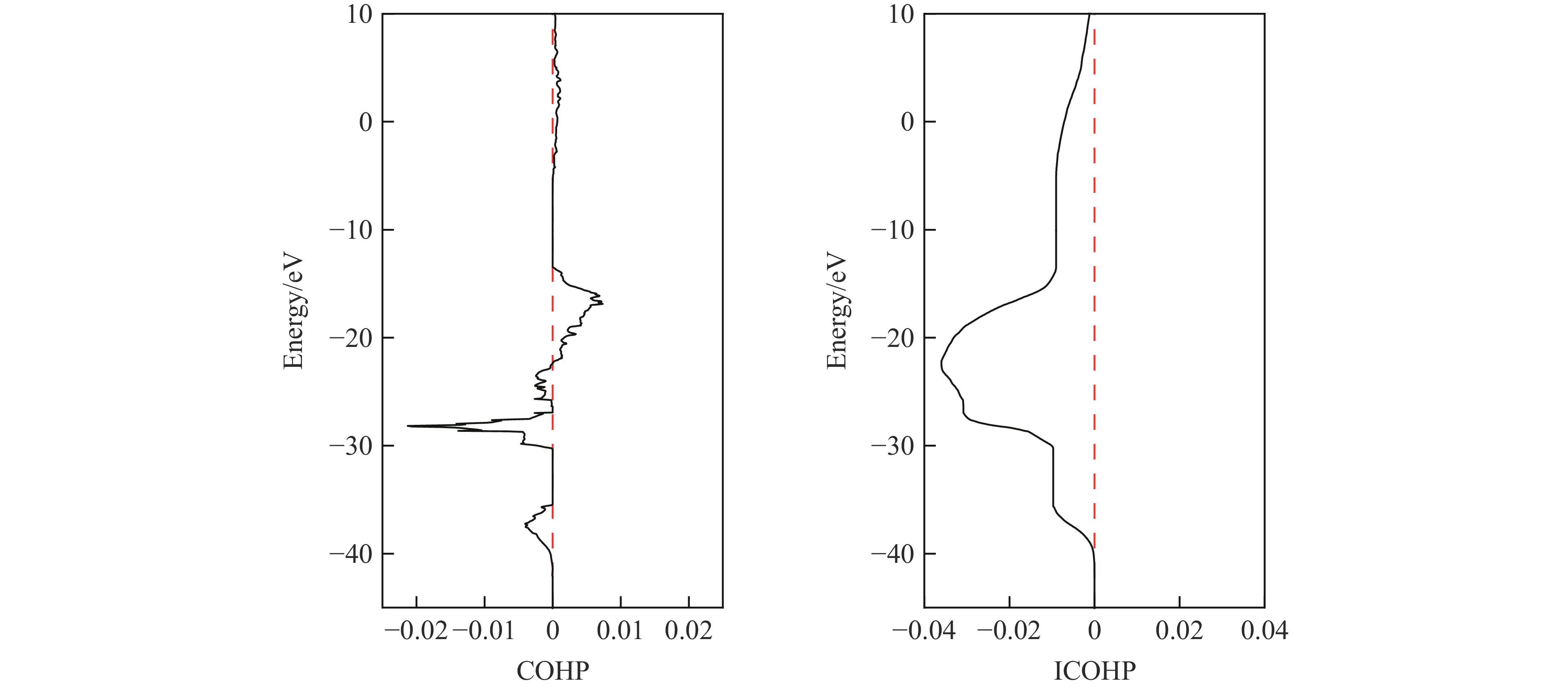
动高压实验技术是产生超高压高温极端条件的重要手段,在高能量密度物理、地球物理及国防工程等领域具有重要应用。冲击温度是表征矿物热力学状态及构建状态方程的关键参数,而声速对相态变化高度敏感,是约束物质弹性性质的重要物理量。然而,传统冲击波实验通常需要分别测量声速和温度,不仅增加实验复杂度,还可能导致不同物理量间的状态失配,从而增加矿物状态判定的不确定性。基于此,本文发展了一种适用于透明矿物冲击温度与纵波声速同步测量的方法。该方法利用冲击前沿产生的热辐射可通过未压缩区域传播的特性获取冲击温度,并结合辐射信号在加载与卸载过程中的时间演化反演纵波声速。以天然单晶方解石为对象开展冲击实验,在115.7 GPa冲击压力下获得冲击温度与纵波声速分别为3810 K和9.41 km/s。实验结果表明,方解石在该条件下可能发生冲击熔融,验证了该方法的可行性。本研究为获取透明矿物在极端条件下的热力学与弹性性质提供了一种新的实验技术路径,并为认识地球深部物质结构与动力学过程及评估透明窗口材料在高能量密度条件下的动态响应提供了重要实验基础。
PDF(4)
富勒烯(以 C60/C70 为代表)作为典型分子晶体碳同素异形体,在高温高压(HPHT)条件下可经历由取向有序化、分子间初始成键到低维聚合、多维交联乃至笼结构塌缩与无定形化的一系列连续结构演化过程,是连接“分子晶体碳”与“高密度共价碳网络”的重要桥梁。本文围绕富勒烯在压强-温度协同调控下的相变与聚合行为,系统梳理了其从 fcc→sc 取向转变、二聚(典型[2+2]环加成)到一维链状聚合、二维层状聚合(四方/菱方等)以及可能的三维结构的形成机制与结构特征,并讨论了不同加载路径与动力学因素对相区边界与产物有序度的影响。同时对 C70 在分子各向异性驱动下更易出现的多路径竞争与无序化趋势进行对比总结,并进一步评述金属富勒烯以及溶剂化富勒烯等体系中客体分子对高温高压下富勒烯聚合路径以及物理性质的调控作用。最后,结合富勒烯衍生 sp³ 富集超硬无定形碳及相关新型碳结构的研究进展,展望了通过前驱体工程与多维度调控策略实现可设计高压碳材料的潜在研究方向。
PDF(5)
为探究背板力学特性对碳化硼陶瓷复合装甲陶瓷锥形成机制的影响,选取6061铝合金、7075铝合金、T300碳纤维板及UHMWPE四种典型背板材料,采用一级轻气炮弹道冲击实验与LS-DYNA数值模拟相结合的方法,系统研究背板屈服强度、刚度及波阻抗对陶瓷锥形态与演化的调控规律。结果表明:1)陶瓷锥对背板的载荷传递并非仅依赖单一外锥,而是通过外锥与内锥等多条裂纹的共同作用实现;2)背板的屈服强度对主要锥形的裂纹扩展无明显影响;3)刚度方面,外锥角随弹性模量增加线性减小,内锥角则呈指数增大;4)波阻抗通过调控应力波反射/透射改变陶瓷内部应力场变化,致使内锥角随着阻抗增加呈线性增加,外锥角则随之呈指数减小。
PDF(17)
为阐明层状结构对冰雹力学性能的影响机制,并揭示不同冷冻温度下冰雹力学性能的变化规律。本文采用自制模具制备了直径50 mm的透明冰雹及具有明显层间结构的层状冰雹,利用万能试验机在不同冷冻温度(-10 ℃、-20 ℃、-30 ℃、-40 ℃)下对透明冰雹和层状冰雹进行准静态压缩试验,并结合微观结构分析其破坏机制。结果表明,随着冷冻温度的降低,透明冰雹和层状冰雹的抗压强度均显著提高,层状冰雹对温度变化更为敏感,在-40 ℃时的平均抗压强度对比-10 ℃时提升约6倍,而透明冰雹提升约4倍。层状冰雹在破坏时呈现多裂纹破坏,而透明冰雹则是单一主裂纹破坏。层状冰雹的层间结构富含气泡,该结构可改变裂纹方向,从而提升其抗压强度。
PDF(10)
MoSe2的光电响应波段与光纤通信窗口高度匹配,是构建可调谐近红外光电探测器的理想材料。本研究利用金刚石对顶砧装置,通过原位高压X射线衍射、拉曼光谱、红外反射光谱和光电流测试,结合密度泛函理论计算,系统研究了MoSe2在高压下的结构演化和光电性能调控规律。结果表明,在0~10GPa范围内,MoSe2维持六方2H相结构,呈各向异性压缩,c轴压缩率约为a轴的3倍,红外反射光谱显示反射率随压力单调上升,对应带隙减小趋势。第一性原理计算揭示压力诱导导带底下移,带隙从1.24 eV(0 GPa)近乎线性窄化至0.77 eV(4 GPa),光吸收能力相应提升。光电测试发现,光电流随压力先增后消失,0.4~3.9 GPa范围内逐步增强并在3.9 GPa达到峰值(约为常压的2倍),4.3 GPa时因暗电流淹没信号而完全消失。理论计算与实验结果相互印证,阐明了压力调控光电性能的电子结构机制,为基于MoSe2的压致光谱调制器件开发提供了实验基础和理论支撑。
PDF(10)
针对冲击工况下锂离子电池的性能衰退和安全性挑战,开展不同碰撞类型下电池损伤与失效特性研究。采用NCR18650BD圆柱形锂离子电池,基于电化学阻抗谱(EIS)、循环伏安(CV)方法和多物理场原位监测平台,分析球形、柱形和平面冲头下电池的容量衰减、循环老化和阻抗劣化规律,并揭示碰撞类型对电池失效和热行为的影响机制。结果表明,冲击能量为5 J时,C/20倍率下仅有平面冲头下电池发生锂库存损失导致的容量衰退,而3C倍率下,冲头尺寸越小,循环老化越快;此外,冲头尺寸越大,电池的电化学阻抗越大;冲击能量为20 J时,冲头尺寸越小,力的峰值越小,电池失效程度越严重,热失控概率越大;随着冲击速度增大,电池整体刚度增加,力-电失效加剧。本研究为锂离子电池的优化设计和安全性评估提供理论基础和技术支持。
PDF(9)
不同铝合金作为中间层对7B53铝合金复合板(7A52/中间层/7A63)的界面结合性能和动态冲击力学性能影响显著。本研究采用拉伸剪切实验、夏比冲击实验、分离式霍普金森压杆实验和扫描电子显微镜等方法,系统研究了不同铝合金中间层材料(7A01、6061、2024)对复合板界面冶金结合质量及高应变率(1700~3200 s⁻¹)下动态力学行为的影响机制。结果表明,6061中间层复合板表现出最优的界面结合性能,最大剪切强度达109.6 MPa,较7A01中间层复合板(73.1 MPa)提升36.5 MPa,这是由于6061合金促进了界面区域细小均匀晶粒的形成,从而有效强化了界面区域。霍普金森压杆实验表明,中间层的不均匀变形有效阻断裂纹向7A52层的贯穿扩展,并促使裂纹沿界面偏转。7A01中间层复合板应变率敏感性较低,而6061中间层复合板在1700~2700 s⁻¹范围内虽因热软化效应导致流变应力下降,但其优异的延展性确保了高速冲击下的稳定变形。与2024中间层复合板相比,6061中间层复合板在保持较高屈服强度的同时具有更高的塑性应变。6061中间层复合板成功实现了7A52高韧性与7A63高强度的有效融合,为装甲车辆抗冲击防护结构的设计提供了重要的理论依据。
PDF(11)
针对传统蜂蜡基乳化炸药存在的油相粘度大、乳化分散难、低温环境下易硬化脆裂等工程难题,本研究引入凡士林作为调节剂,系统研究了油相分子结构差异对乳化炸药流变性、微观形貌、热稳定性、储存稳定性及爆轰性能的影响。研究结果显示,凡士林富含的支链烷烃降低了油相体系的粘度,有效提升了乳化过程中的剪切效率。凡士林质量分数从0%增加至2.4%,乳胶基质的索特平均粒径D[3,2]从8.38 μm降低至5.85 μm;起始分解温度T0与最大失重速率温度Tp略有下降,但热稳定性仍满足工业安全要求。当凡士林质量分数为1.8%时,体系的多分散指数(PDI)降至1.73,微观结构均一性最好;其耐高低温循环次数由10次提升至18次;爆速达到峰值5180.3 m/s。本研究证实了通过油相微观结构调控来提升乳化炸药综合性能的可行性,为解决工业炸药适应恶劣温变环境等难题提供了经济、有效的配方优化策略。
PDF(14)
型钢混凝土(SRC)柱多用于承载力需求高的重要建筑或高层建筑,如其在爆炸荷载作用下发生破坏,极可能导致整体结构的连续倒塌,但近场爆炸下SRC柱抗爆性能的研究还非常有限。本文基于LS-DYNA建立了某 高层建筑十字SRC柱的精细数值模型,研究了近场爆炸下比例距离和轴压比对SRC柱抗爆性能和损伤等级的影响。数值模拟结果表明:轴压比为0.2时,随着比例距离增加SRC柱中心高度1300 mm以内冲击荷载从占比61.3%降至42.5%左右。若SRC柱核心约束区与非核心约束区混凝土出现界面分离,则构件最终发生弯剪破坏;反之则为弯曲破坏且损伤等级均未超过中度损伤。当比例距离Z ≤ 0.6 m/kg 1/3时高轴压比不利于SRC柱抗爆性能,反之当比例距离Z ≥ 0.7 m/kg 1/3时高轴压比有利于其抗爆性能。最后,建立了SRC柱的平均累积冲量和损伤指数经验计算模型,为快速评估SRC柱的损伤等级(损伤指数)提供参考。
PDF(22)
本研究以主矿物相为硬玉的低品质天然翡翠为原料,采用六面顶压机开展高温高压改性探索,分别尝试了“硬玉稳定区内直接高温高压处理”和“低压亚稳区熔融—淬火制备玻璃前驱体—高压稳定区晶化”两种路径,并分析了包裹材料、压力、温度和保温时间对NaAlSi2O6玻璃前驱体形成及晶化行为的影响。结果表明,前者未能明显改善样品的透明度和颜色均一性,显微组织亦未见明显致密化趋势;后者中,无包裹、Mo及Re包裹均可形成透明、无气泡的优质玻璃前驱体,其中Re包裹样品整体效果最好;Ta包裹样品晶化后主相为NaTaO3。以Re包裹玻璃前驱体的晶化实验表明,较高温度有利于样品整体晶化,延长保温时间可进一步促进样品由边缘向内部晶化并逐步形成纤维交织状显微组织。本研究结果表明,相比于在硬玉稳定区内直接进行高温高压处理,经玻璃前驱体重构后再高压晶化的路径表现出更大的改性潜力。
PDF(23)
极地资源开发与高纬度寒区工程中,混凝土结构常面临低温环境与动态载荷的耦合作用。为准确探究此类复杂工况下混凝土的力学响应,本文首先开展了20°C至-20°C温度范围内的分离式霍普金森压杆(Split Hopkinson Pressure Bar, SHPB)冲击试验,揭示了不同温度及应变率下混凝土的动态力学特性。基于试验发现的温度与应变率效应,本文在现有动态损伤理论的基础上,通过引入温度系数对损伤演化方程进行修正,并结合状态方程与RHT屈服准则,改进得到考虑低温效应的混凝土动态损伤本构模型。进一步,利用Fortran语言编写VUMAT(Vectorized User Material)子程序实现了该改进模型的数值化。通过对比SHPB冲击仿真的波形图和开裂形貌图,验证了二次开发模型在常低温冲击工况的准确性,并将其用于侵彻仿真领域,开展了弹体侵彻低温混凝土靶体的仿真分析。研究成果可为寒区防护工程的抗冲击设计与安全性评估提供理论依据与数值计算支撑。
PDF(22)
氮化铝陶瓷是高功率电子器件散热的重要材料,但传统烧结温度高,制约其应用与成本控制,因此有必要发展在较低温度条件下实现致密化的制备方法。针对多晶 AlN 陶瓷在较低烧结温度下难以兼顾高致密化与高热导率的问题,本文采用分步研究思路。首先研究纯相 AlN 在高压辅助下的致密化行为与导热性能,并确定优化烧结条件。在无助剂条件下,采用 5.0 GPa、1400 ℃制备出晶界洁净、高致密的纯相 AlN 陶瓷,热导率达 101.6 W·m-1·K-1。在所确定的优化烧结条件下,进一步研究 AlN/金刚石复合体系,系统考察金刚石体积分数对复合材料结构与性能的影响。结果表明,复合材料热导率随金刚石含量增加呈先降后升趋势,在 33.3 vol% 时达到 112.4 W·m-1·K-1。机理分析表明,低含量时界面热阻占主导,高含量时金刚石形成的导热通路对热传导的增强作用更为显著。本工作充分发挥了高温高压技术的工艺优势,在相对传统烧结技术更低的温度下实现了 AlN 基材料的大幅优化,为较低温制备高性能导热陶瓷提供了新途径。
晶粒度效应是影响金属材料动态力学性能的重要因素之一。以相变金属铁为研究对象,构建了拓扑结构与取向分布相同的不同纳米晶粒度的铁模型,旨在考察特定晶粒分布状态下的尺寸效应。分子动力学模拟结果表明,不同晶粒度模型在高应变率单轴压缩下均经历了弹性变形、
现代装甲防护技术的持续发展对聚能战斗部的毁伤威力提出了更严峻的挑战。传统药型罩材料因其综合性能局限,已成为提升侵彻深度的主要制约因素。高熵合金因具有独特的多主元设计,展现出高强度、高硬度、优异的动态断裂韧性等核心潜力,被视为极具前景的新型药型罩候选材料。在此背景下,通过激光熔化技术制备了CoCrFeMnNi高熵合金,并对其开展了静、动态力学性能测试与研究,确定了CoCrFeMnNi高熵合金的Johnson-Cook(J-C)动态本构模型及其参数。利用LS-DYNA建立了紫铜和高熵合金2种材料的聚能射流形成模型,并对紫铜和高熵合金聚能射流的形成过程和侵彻靶板过程进行了数值模拟。结果表明,相较于紫铜,高熵合金药型罩能够形成更稳定、连续的射流,独特的成型与拉断机理使其获得更深的侵彻深度,证实了高熵合金在提升毁伤效能方面的显著优势。
PDF(29)
CuCrZr合金作为电磁轨道炮导轨的候选材料之一,获取其在电-磁-热-力多场耦合加载下的力学响应对于CuCrZr合金的工程应用具有重要意义。提出了一种外磁场辅助的电磁膨胀环实验技术,在不显著提升金属样品环中感应电流和焦耳热温升的情况下,稳定实现了104 s-1以上的高应变率加载。基于该技术,开展了电-磁-热-力耦合加载下CuCrZr合金的动态拉伸性能研究,获得了高电流密度、高应变率、高温升率、强磁场环境下CuCrZr合金的应力-应变曲线和断裂应变,研究成果可为CuCrZr合金在多物理场耦合工况下的应用提供重要参考。
PDF(28)
材料在极端压力和温度条件下的状态方程是高能量密度物理、行星科学及惯性约束聚变研究中的重要基础数据。传统冲击压缩实验受限于样品初始状态,通常只能覆盖有限的热力学相区;而静态高压与激光动高压相结合的静-动加载技术能够通过改变材料初始密度显著拓展可研究的相区范围。本文发展了一种面向宽相区状态方程研究的高预压静-动加载实验技术,通过对mini-Boehler型金刚石压砧(DAC)的靶结构进行力学与光学优化设计,成功将静态预压水平提升至最高6.2 GPa。实验依托神光Ⅱ及神光Ⅱ升级激光装置开展,采用任意反射面速度干涉仪(VISAR)和条纹光学高温计(SOP)对冲击过程进行高精度诊断。同时针对高预压实验条件,对阻抗匹配法中的标准材料状态方程、折射率以及稀疏路径等进行了修正处理。实验结果表明,该技术能够在保持良好诊断信号质量的同时显著提高样品初始密度,从而拓展了冲击压缩实验可覆盖的热力学相区范围。以水、氘材料为案例验证,该平台获得的实验数据与理论模型保持良好一致性。本文建立的高预压静-动加载实验技术为开展材料宽相区状态方程研究提供了新的实验手段。
PDF(24)
为实现航空安全测试等领域对高冲击量值波形的精准生成,本文研究了梯度泡沫金属在不同边界条件下的冲击波形调控机制。基于质量与动量守恒定律,分别建立了自由边界与弹性边界下梯度泡沫金属冲击波形发生理论模型;并进一步提出了一种基于平均相对密度约束与高斯-牛顿迭代的密度梯度反向设计方法,实现了从目标加速度波形到材料密度梯度分布的逆向求解。有限元结果表明,该方法在不同边界下均能有效生成目标波形,如三角波和半正弦波。研究还发现:自由边界更适合生成高幅值、宽脉宽波形,而弹性边界则可通过刚度调节改善低幅值波形的可实现性;边界条件虽不改变冲击持续时间,但会对波形形状产生显著影响。此外,若相邻层间的阻抗差异过大,将导致波形波动加剧,从而影响波形生成精度。本文提出的密度梯度反向设计策略具有良好的通用性,为高冲击测试技术的自主发展提供了理论支撑与实用化设计工具。
PDF(26)
针对轻质防护结构对稳定承载与高效能量吸收协同提升的需求,提出一种基于力学匹配的混合仿生薄壁-泡沫复合结构设计方法。利用增材制造三种构型的聚乳酸(PLA)仿生壳体,并通过原位发泡构建聚氨酯泡沫填充复合结构。通过拉伸试验、准静态压缩试验及动态落锤冲击试验,研究发泡过程产生的热效应对PLA壳体性能及复合结构力学响应的影响。基于峰值力、平台力、比吸能(SEA)、平均压溃力(MCF)和压溃力效率(CFE)等指标对结构耐撞性能进行定量评价。结果表明,发泡温度作用降低了PLA的弹性模量与强度并提高其延展性,从而改善壳体与泡沫之间的力学匹配。复合结构的平台力与MCF显著提升,压溃模式由局部失稳转变为渐进堆叠坍塌,表现出稳定的分级吸能特征。动态冲击试验进一步验证了结构在高能冲击作用下的稳定承载与吸能能力。研究结果揭示了几何构型、材料匹配与热-力耦合效应协同作用下的结构吸能机制,为轻质仿生防护结构的设计与优化提供了新的思路。
PDF(35)
自锁结构借助对单胞间连接方式的巧妙设计,让结构内部的单胞无需额外添加约束条件,就能实现彼此相互锁定。自锁结构具备轻质便携、便于快速组装与拆卸等显著优势,在抗冲击、防爆等多个领域有着广泛应用。自锁结构在自然界多种生物结构中天然存在,本文从仿生自锁结构的设计启发、周期性结构的吸能机制以及周期性结构剪切带失效这三个方面,分析并阐述了自锁结构的设计理念。接着,从自锁方向对自锁结构进行分类,介绍了二维单向自锁结构、三维多向自锁结构以及曲面自锁结构的研究进展。其中,三维多向自锁结构能够承受更为复杂的多向载荷,所以进一步介绍了基于哑铃型结构、生物骨缝、褶皱设计的三种代表性多向自锁结构的研究进展。最后,对自锁结构的研究进行总结,并对其研究前景展开展望。
PDF(29)
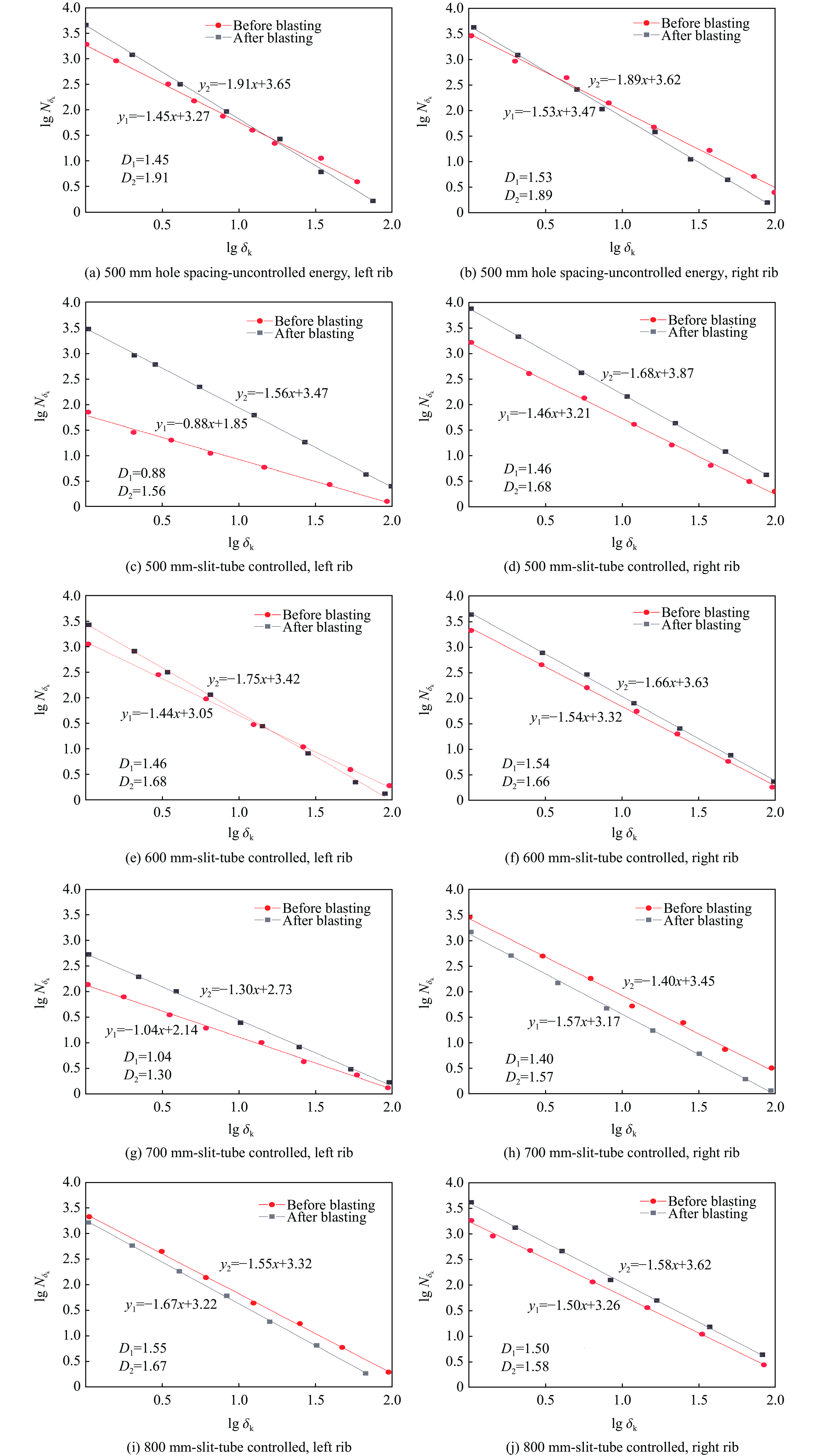
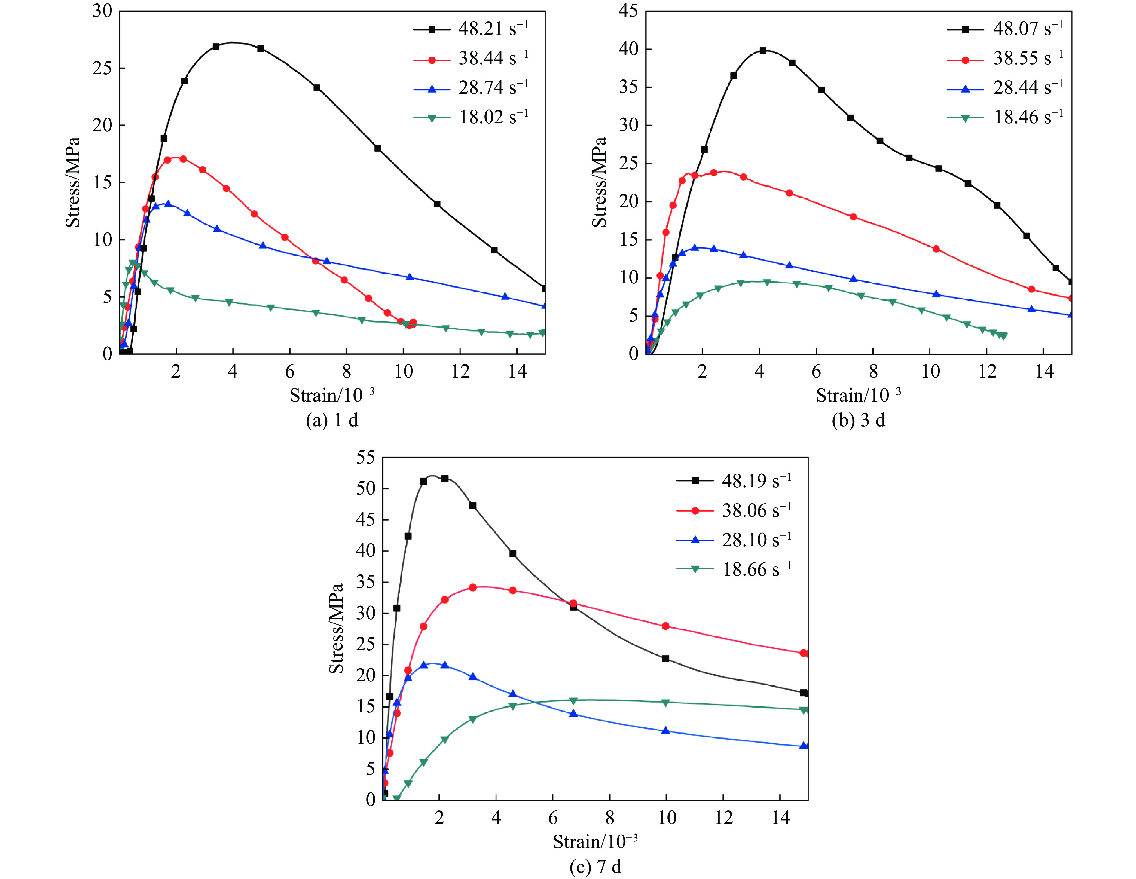
高地温隧道钻爆法施工中,早龄期钢纤维喷射混凝土因受热力耦合作用而出现损伤,但损伤演化机制尚未明晰。为此,基于分离式霍普金森压杆与CT图像的分形维数构建损伤本构模型,研究了高温变温养护条件下1~3 d龄期钢纤维喷射混凝土在冲击荷载作用下的动力响应与损伤特征。结果表明:高温变温养护环境显著降低了钢纤维喷射混凝土的动态力学性能;1、2、3 d龄期试件的动态强度降低幅度分别达16.1%、38.1%和56.5%,温度损伤随龄期呈现累积效应;3 d龄期试件达到试验最高能量耗散率,其耗散能占比较1和2 d龄期分别提升98.9%、16.7%。构建的损伤本构模型的拟合优度达到0.9以上,可表征冲击载荷作用下钢纤维喷射混凝土的弹性阶段、屈服阶段以及破坏阶段应力-应变曲线走向。同时,研究还揭示了热-力耦合环境下早龄期钢纤维喷射混凝土动态损伤演化规律,可为高地温隧道支护结构设计提供理论依据。
PDF(36)
针对桥墩在车辆碰撞作用下的整体动力响应,既有研究已开展了较为充分的探索,但研究对象多集中于车辆正面碰撞,对车辆偏心碰撞条件下桥墩响应分析有待进一步完善。本研究针对车辆偏心撞击圆形桥墩工况,开展了桥墩动力响应的数值分析。建立并验证车辆—圆形桥墩碰撞有限元模型;对比不同偏心程度与正面碰撞下的失效模式、撞击力时程及关键位移响应;进一步分析车速与车辆质量对偏心撞击动态响应的影响规律。结果表明,当偏心程度小于 60% 时,迎撞区损伤及背侧弯曲裂缝整体弱于正面中心撞击;当偏心增大至发动机不再直接参与接触后,碰撞机理发生转变,整体损伤水平反而高于正面中心撞击。车速影响呈现非线性特征,当速度增加到120 km/h时,损伤程度会明显加重,并伴随结构峰值位移显著增大。质量参数呈阶段性主导特征:发动机质量主要控制发动机接触阶段的弯剪响应,而货物质量增大将显著放大货物阶段冲击效应,并推动柱体损伤由局部开裂向更大范围的弯曲破坏演化。
PDF(39)
多孔结构材料作为一类轻质高强的功能 - 结构一体化材料,在航空航天、汽车制造和生物医疗等领域应用广泛。然而,传统单一构型的多孔结构材料(如蜂窝结构与点阵晶格)在面对爆炸冲击波、多向冲击或非线性变形等复杂工况时,逐渐表现出性能局限。在此背景下,异质多孔结构材料(Heterogeneous Cellular Structure Material, HCSM)逐渐成为冲击防护领域的研究热点,本文系统综述了近年来HCSM的设计策略及其抗冲击性能。HCSM主要分为拓扑构型异质(包括互补型与增强型融合)和材料异质(例如泡沫材料与剪切增稠材料的填充)这两大类型,其通过创新性的“功能融合”途径,实现了对单一构型的多孔结构材料性能瓶颈的突破。文中进一步梳理了HCSM在承受冲击载时的协同增强效应与变形机理,深入分析了其在能量吸收效率、刚度与稳定性提升方面的内在机制。尽管HCSM的研究已取得显著进展,但仍面临连接性优化、增材制造工艺匹配、复杂工况验证以及多功能集成等诸多挑战。展望未来,融合人工智能与机器学习技术,有望实现HCSM从设计到制造的全流程一体化优化,从而为开发新一代高性能抗冲击结构材料提供新的方向。
PDF(47)
钢化玻璃作为应用广泛的建筑材料之一,其在爆炸冲击波作用下的破坏行为与毁伤阈值是安全防护距离以及爆炸毁伤范围计算的重要支撑,研究其在爆炸冲击波作用下的失效机理与毁伤准则具有重要的工程意义。通过电子万能试验机、分离式霍普金森压杆和场发射扫描电镜,研究了钢化玻璃在10-5s-1~978 s-1应变率下的力学行为和失效机理;针对Johnson-Holmquist-Ceramics(JH-2)本构模型,基于力学性能试验通过分析获得了钢化玻璃的本构模型参数,并采用激波管开展可控爆炸冲击波毁伤效应试验,建立了有限元模型,通过对比验证了本构模型参数的有效性。最终,计算得到了用于评估钢化玻璃毁伤阈值的超压-冲量(P-I)等毁伤曲线。研究结果可为钢化玻璃结构的安全设计与毁伤评估提供理论模型与分析方法。
PDF(47)
针对多发弹体序列侵爆这一涉及侵彻和爆炸等多物理场耦合的复杂过程,目前尚缺乏相应的理论预测模型。为此,本文基于解耦建模的思路,提出了一种用于预测多发弹体序列侵爆混凝土靶全过程的理论模型。该模型分别描述侵彻与爆炸阶段:侵彻过程采用动态空腔膨胀理论构建阻力函数,并考虑弹体倾角及前序损伤的影响,通过运动方程显式差分求解弹体轨迹;爆坑形貌则通过经验公式估算,并作为下次打击的初始条件,实现对序列侵爆累积毁伤全过程的快速预测。进一步开展了三发弹侵爆的全过程数值模拟,对多种典型弹序工况下的理论预测结果进行了验证,结果表明理论模型能准确预测序列侵彻深度。爆坑形貌在首次侵爆时存在偏差,但随着弹序增加,预测精度显著提高。后续弹侵彻深度因混凝土前序损伤而显著提升,在爆坑隧道区内增益最大但对落点极为敏感,在漏斗区内则随弹间距增大缓慢衰减。该理论模型计算高效,可为多发弹序列打击毁伤评估提供理论预测工具。
PDF(49)
为研究高温和冲击作用下钢筋混凝土(RC)梁的抗冲击性能,在已有试验的基础上,采用LS-DYNA软件建立高温下RC梁的冲击模型,并验证数值模型的有效性。基于数值模型,总结了高温和冲击作用下RC梁出现的4种破坏模式,引入截面损伤因子对高温下RC梁的损伤程度进行评估,并拟合了截面损伤因子与冲击高度、温度之间的预测公式,重点分析了温度、跨高比、冲击位置、锤头形状对高温条件下RC梁抗冲击性能的影响。结果表明:随着温度的升高,RC梁的跨中位移增大,而冲击力降低,跨高比越大,跨中位移达到峰值的时间越后;相同冲击能量下,锤头在跨中冲击产生的跨中位移大于靠近支座冲击产生的跨中位移,接触面为平面的锤头相较于接触面为曲面的锤头对RC梁造成更大的损伤。
PDF(60)
通过数值模拟对真空中的铜丝电爆炸过程进行了研究,重点考察了丝径和放电周期对铜丝电爆炸过程的影响。模拟结果表明,采用细金属丝(直径0.3mm)比粗丝(直径3mm)具有更高的电爆炸能量利用效率,细丝的能量利用率可达80%以上,而粗丝小于10%。此外,细丝电爆炸的效果几乎不受放电快慢的影响,而对于粗丝来说,缩短放电周期可将能量利用效率提升2倍左右,但电爆炸的空间均匀性会随之变差。
PDF(82)
金属卤化物钙钛矿因其卓越的光电转换效率与低成本制备优势而备受瞩目。锰(Mn)基金属卤化物钙钛矿CsMnCl3因其在自旋电子学、磁效应等方面的应用价值而受到关注。深入理解其结构-性能关系,尤其是在极端条件下的演化行为,对于开发稳定高效的新型钙钛矿材料及拓展其应用场景至关重要。本研究采用金刚石压砧技术,结合高压原位光致发光光谱、吸收光谱、拉曼光谱、X射线衍射以及第一性原理计算,对锰基金属卤化物钙钛矿CsMnCl3的结构和光学性质进行了系统性的研究。研究结果表明,常压下CsMnCl3结晶于R3 ̅m空间群,在约0.9 GPa时发生结构相变,CsMnCl3的光致发光强度显著增强约8.4倍。在0至32.2 GPa的压力范围内,光学带隙随压力增加逐渐减小约28%。本研究为优化锰基钙钛矿材料的高压稳定性能、拓展其在极端条件下的功能应用提供了理论支撑与实验依据,同时丰富了对高压下金属卤化物钙钛矿的基础认知。
PDF(51)
利用神经网络进行合金性能的预测以及合金微观结构的反向设计已经成为工业界了解合金性能、开发新型合金的一种新兴手段。织构是合金变形过程中微结构演化的重要影响因素,通常以无空间关联的离散晶粒取向欧拉角、考虑代表性体积单元(RVE)空间-取向耦合欧拉角、极图/反极图等形式描述,然而选取何种形式的织构表示方式作为神经网络模型的输入能发挥模型最优性能还需进一步验证。因此,以改进后的U-Net模型为主体架构,对比了使用离散欧拉角、空间欧拉角、极图3种织构表示方法作为神经网络模型输入对模型性能的影响。采用训练完成的3种神经网络模型分别对测试集中的样本进行预测,结果表明,使用极图作为织构表示方法给出了最优的效果。除此以外,利用训练好的神经网络模型,并采用在输出层添加一维卷积的改进方法,预测了合金的宏观应力-应变曲线,相比传统只使用全连接的方法,该改进显著地提高了应力-应变曲线的预测精度。
PDF(45)
为深入研究节理岩体在冲击作用下的裂纹扩展规律及动力响应特性,以节理开度、倾角、数量及节理至加载面距离为几何参数变量,采用自制落锤冲击装置开展试验,并利用LS-DYNA构建竖向组合节理、竖向和水平组合节理的落锤冲击数值模型,重点分析节理几何参数对节理岩体破坏模式、裂纹扩展路径及应力应变的影响,并基于线弹性断裂力学理论,确定了节理端部的应变分量与应力强度因子的关系。试验结果表明,节理开度由0.5mm增至0.9mm,最大冲击荷载由35.16kN降至22.07kN;节理倾角由30°增至60°时,最大冲击荷载由47.17kN降至29.57kN;节理数量由1条增至3条,最大冲击荷载由36.31kN降至23.69kN,三者呈下降趋势,而当节理距加载面从50mm增至90mm时,最大冲击荷载由38.19kN先增至41.75kN,后降为40.88kN,呈现先增后降的非线性关系。测点应变峰值则与节理开度、倾角、数量、节理距加载面均呈负相关。数值模拟结果表明,竖向节理数量越多,模型整体稳定性削弱越显著;在竖向和水平组合节理中,增大竖向节理开度可降低底部破坏程度,且当水平节理位置高于竖向节理时,模型更易失稳破坏。
PDF(53)
汞作为一种具有特殊理化性质的金属,其晶体结构及原子间相互作用在高压下会发生显著改变。然而,目前对汞在高压条件下的振动性质仍缺乏系统性实验研究,其高压相变机制仍需进一步探究。为此,依托低波数高压共聚焦拉曼光谱系统,结合金刚石对顶砧(DAC)高压原位测量技术与第一性原理计算方法,系统探究了汞在高压条件下的结构相变行为及振动模式演化规律。成功获得了汞在2种高压固态相中的拉曼振动信号,揭示了其振动频率随压力的变化特征,并据此计算了相关的热力学参数。研究结果有效填补了长期以来汞的实验数据空白,为系统阐明汞高压诱导相变的物理机制奠定了关键实验基础。
PDF(59)
高熵碳化物(high-entropy carbide, HEC)因其显著的化学无序与晶格畸变,展现出优异的强-韧协同特性,有望成为冲击防护与高温结构应用的前沿材料。然而,在高压、高应变率等极端服役条件下,其微结构演化与动态力学响应仍缺乏系统认识。为此,基于高精度机器学习势,以 (Zr0.2Hf0.2Ti0.2Nb0.2Ta0.2)C为研究对象,开展了沿 [0 0 1]、[0 1 ¯1] 和 [1 1 1] 3个典型晶向的准等熵压缩以及斜波加载分子动力学模拟。从晶向与加载路径角度,系统地揭示多重“高熵”效应如何影响高熵碳化物在原子尺度下的塑性变形机制。研究发现,引入多主元金属的高熵碳化物显著改善了陶瓷材料的塑性激活方式、滑移系竞争关系及局域变形模式。局域应力扰动与晶格畸变不仅强化了金属子晶格 Bain 型瞬态堆垛重排,提高了材料的承载能力和延展性;也促进了多滑移系协同激活,使剪切带由单向延伸转变为多向、网络化扩展。第一性原理计算还表明高熵碳化物中的碳空位形成能较单组分过渡金属碳化物显著降低,因此,在压缩过程中碳原子更易先发生大位移形成碳空位并参与剪切带成核。
PDF(66)
二维层状材料是一类由共价键或离子键强烈结合的原子平面,通过范德华力相互堆叠而形成的特殊材料体系。其独特的层间弱相互作用使材料的厚度能够实现精确调控,从而展现出丰富的维度依赖物理性质。本文以典型二维层状材料FePSe3为研究对象,利用机械剥离方法制备出不同厚度的薄层样品,并结合金刚石对顶砧技术,对FePSe3块体及薄层样品在高压条件下的电输运性质进行了系统研究,重点探讨压力效应和尺寸效应对其正常态电输运行为及超导相变特性的影响。实验结果表明,块体FePSe3样品展示出压力调制的超导电性,在15 GPa左右超导转变温度<italic>Tc</italic>出现最小值,同时霍尔系数<italic>R</italic>H也降至最低。与文献报道的体材料行为一致,暗示压力可能引发费米面重构。与块体FePSe3样品相比,薄层样品的超导态减弱,表现为<italic>Tc</italic>的降低,且<italic>R</italic>H随压力增加呈单调递减趋势。表明二维受限电子态抑制了费米面重构的发生。本研究为理解FePSe3的电子态演化机制提供了关键实验依据。
PDF(51)
为提升三角形波纹夹芯梁在低速冲击下的性能预测精度与设计效率,本研究提出了一种基于多任务学习(MTL)的数据驱动预测方法。使用基于实验验证的有限元模型构建样本数据集,并以此训练MTL模型,用于同时预测结构的比吸能(SEA)、上面板最大挠度(<italic>δ</italic>max)及初始峰值载荷(<italic>F</italic>max)。结果表明,该模型具有较高的预测精度,各输出响应的决定系数(R²)均不低于0.99,能够有效替代耗时的有限元仿真分析。进一步的参数敏感性分析表明,芯层胞元数量(<italic>n</italic>)与芯层壁厚(<italic>t</italic>c)对结构刚度的影响最为显著,其次为上面板厚度(<italic>t</italic>1)影响,而下面板厚度(<italic>t</italic>2)的影响最小,且芯层壁厚(<italic>t</italic>c)存在性能提升的饱和阈值。采用非支配排序遗传算法Ⅱ(NSGA-Ⅱ)分别针对变形规律、吸能性能及综合性能进行了多目标优化,获得了满足不同设计侧重点的最优构型。
PDF(51)
面向身管武器膛内高压工况下能量释放控制的需求,针对高装填密度与燃烧渐增性难以兼得的矛盾,提出了一种基于胶囊结构理念的内含球形药封端管状组合装药结构。该设计利用管状药壳与封端圆片构成缓燃“胶囊壳”,内部充填大比表面积离散球形药作为速燃“胶囊药剂”,通过外部壳体的物理阻隔与几何烧穿,形成一种先缓燃、后速燃的高渐增性燃烧作用模式。建立了包含形状函数与燃气生成猛度(Γ)的理论燃烧模型,量化分析了各组分几何参数对燃烧性能的影响。计算结果表明:该组合装药在燃烧过程中呈现出典型的“阶跃式”双峰特征;封端圆片与管状药壳的弧厚比(rp-k)是调控高压燃气介入内部燃烧相位的关键,决定了Γ突增的起始时刻;球形药与管壳的弧厚比(rq-k)直接制约燃烧渐增幅度,当 rq-k<0.5 时,高比表面积的球形药在高压场中先于管壳燃完,引发Γ的剧烈突跃,且rq-k越小,起始燃面越大,Γ峰值增益越显著;反之当 rq-k>0.5 时,管壳先于球形药燃完,导致在燃烧末期(Ψ>0.95)出现猛度的阶跃性突降。此外,充填密度的提升将进一步放大这种由几何相变诱发的增面效应。这种具有“胶囊”特征的组合装药理论上具有高燃烧渐增性的特点,为发射药组合装药的发展提供了新的思路。
PDF(48)
硬柱石(Lawsonite)是俯冲带洋壳中的关键含水矿物,其含水量可高达11.5 wt.%,体积分数可达50%,且有较宽的稳定区间。因此对硬柱石高压弹性性质的研究对认识俯冲带速度结构和深部水循环具有重要意义。本研究以天然硬柱石矿物粉末为初始材料,在7 GPa、1073 K的条件下热压2小时,得到了致密的多晶硬柱石。同时采用超声干涉法测量了硬柱石高达8 GPa的弹性波速和模量及其对压力的导数。研究发现,硬柱石的弹性波速和模量随压力的增加而增大,弹性模量及其压力导数为:KS0=120(1)GPa,G0=51(1)GPa,Ks'=5.7(1),G'=0.9(1)。利用硬柱石的弹性特性,结合前人研究结果建立硬柱石榴辉岩模型,表明硬柱石的存在可以为中等地温俯冲板片(如Nicaragua)内部在60-90公里的速度异常提供合理解释。
PDF(57)
采用 CALYPSO 结构预测方法结合第一性原理计算,系统研究了 Li-N-H 体系在 100-300 GPa 高压条件下的晶体结构稳定性、电子结构和超导性质。提出了6个热力学稳定或亚稳定的富锂氮氢化合物,包括 C2 Li2NH、P212121 Li2NH、I4/mmm Li3NH、Imm2 Li8NH、Cm Li9NH 以及 P2/c Li10NH。结果表明,氢元素在不同锂化程度下呈现出显著差异的化学角色演化:在低锂含量化合物中,H 原子倾向与 N 原子形成共价键,以达到稳定的满壳层电子构型;随着锂含量的增加,H 逐渐从配位成键状态转变为占据晶格间隙位点,并作为电子受体捕获多余的间隙电子,从而有效调控体系中间隙电子的数量、局域性与空间拓扑结构。相应地,C2 Li2NH、P212121 Li2NH 和 I4/mmm Li3NH 为绝缘性的非电子化合物,而 Imm2 Li8NH、Cm Li9NH 及 P2/c Li10NH 则表现出典型的金属性和电子化合物特征。其中,P2/c Li10NH 在 100 GPa 下具有约 4.8 K 的超导转变温度,其超导电性主要来源于 H p 轨道电子与 Li 原子主导的低频晶格振动之间的强电子-声子耦合。该工作揭示了 H 在高压 Li-N-H 体系中由共价配位向间隙电子捕获的双重功能机制,为高压条件下新型电子化合物及超导材料的理性设计提供了理论依据。
PDF(55)
通过融合随机理论与延性金属层裂相场模型,设置初始屈服强度服从4种随机分布以表征材料的缺陷随机分布,再利用显式动力学求解,实现了层裂损伤从渐进演化到失稳贯通过程的模拟。通过平板撞击实验和三角波加载实验对模拟结果进行了验证,揭示了材料屈服强度不均匀性与层裂强度及损伤数量面积的关系。研究结果表明,不论是延性金属材料的单层层裂还是多层层裂,其初始屈服强度标准差与层裂强度均呈现负相关机制;对于单层层裂,无论初始屈服强度采用何种分布,其层裂强度均服从正态分布。对于多层层裂,初始成核时损伤区数量随着标准差的增大而线性增大,损伤区大小均服从Weibull分布;而在同一初始随机分布下,损伤区数量随时间演化呈初始缓慢增长-随后加速直至饱和-饱和后再下降的趋势,对应了层裂损伤演化成核贯通的典型过程。
PDF(80)
混杂纤维混凝土(HFRC)通过多尺度纤维协同与分级耗能机制,在军事防护工程抗侵彻方面具有显著优势。系统综述HFRC抗侵彻性能的跨尺度设计机制与机器学习(ML)预测方法。研究表明,纤维跨尺度混杂遵循“微米抑制裂纹萌生-宏观控制裂纹扩展”的协同规律,实现刚 韧互补;纳米材料通过优化基体与界面,增强HFRC的抗冲击与抗剥落能力;纤维分布、取向与界面黏结等多尺度结构特征是调控HFRC侵彻损伤模式的核心因素。在预测方法上,ML通过特征工程、集成学习及物理信息神经网络(PINN)等途径,有效应对“细观-宏观表征鸿沟”与“小样本学习”挑战,其与传统数值仿真的融合,为快速性能评估与优化提供了新路径。构建了“跨尺度物理设计-ML预测”融合框架,为HFRC性能研究迈向可解释、高效率的“物理信息智能设计”提供了明确路径。
PDF(90)
瓦楞型Whipple防护结构的几何构型是影响其防护性能的重要因素,为优化瓦楞型Whipple防护结构在超高速撞击下的防护性能,提出了一种结合有限元-光滑粒子流体动力学(FEM-SPH)耦合算法与正交试验设计的综合优化方法。通过构建可靠的数值仿真模型,引入Z轴动量密度作为防护性能评价指标,系统研究瓦楞厚度、跨度与角度3个因素对防护效果的影响。正交试验结果表明,各因素影响程度依次为厚度>角度>跨度。进一步开展了双因素加密实验,并建立了二次多项式模型,获取了最优的几何参数组合,其防护性能较平板提升了33.72%。研究证实,优化后的瓦楞构型Whipple防护结构能够有效促进弹丸破碎与碎片云扩散,实现动量三维重分布,从而显著提升结构防护性能,为航天器防护设计提供理论依据与参数优化路径。
PDF(76)
为探究磷掺杂对金刚石晶体生长的影响,在5.5 GPa、1300 ℃的条件下,将Fe3P掺入FeNiCo-C体系中,采用温度梯度法沿(111)晶面合成了磷掺杂金刚石单晶。对合成的金刚石样品进行傅里叶变换红外光谱、拉曼光谱、光致发光光谱以及X射线光电子能谱测试。随着Fe3P添加量的上升,金刚石晶体颜色逐渐变浅,晶体结构由八面体向六-八面体转变。金刚石晶体中氮杂质含量随着Fe3P添加量的上升呈下降趋势,原因是Fe₃P的掺入改变了触媒特性,使触媒的氮溶解度增加,从而减少进入金刚石内部的氮原子数量。磷掺杂会使金刚石晶体内应力增大,产生晶格畸变,降低金刚石质量,这一结论可通过金刚石拉曼峰位偏移和半高宽变化得到证实。磷原子的掺入不利于金刚石晶体中NV-色心的形成。X射线光电子能谱测试结果证实了磷元素成功进入金刚石晶体内部。研究成果对完善磷掺杂金刚石晶体合成机理以及推动磷掺杂金刚石晶体的潜在应用提供了参考。
PDF(74)
含水炮孔预裂爆破中,水介质的不可压缩性与高波阻抗显著改变了爆炸能量的传递路径与破岩机制,传统基于空气介质的参数设计方法在含水地层中常出现超挖率高、保留岩体损伤过大等问题。以某磷矿富水边坡为背景,构建光滑粒子流体动力学与有限元方法(SPH-FEM)耦合的数值模型,对不同炮孔间距与不耦合系数条件下的应力波传播规律、岩体损伤响应及裂纹发育特征进行系统分析。研究结果表明:孔间应力波叠加效应对预裂裂隙能否实现有效贯通具有显著影响。当炮孔间距为1.4 m、不耦合系数为2.34时,裂纹扩展平均长度达49.48 cm,预裂爆破能够形成规整连续的贯通裂缝,并有效抑制孔壁周围的过度粉碎及次生裂纹发育。现场试验进一步验证了数值模拟结果的可靠性。优化参数条件下,含水炮孔预裂爆破的半孔率提高至85%,声波降低率较常规爆破下降18%,表明该参数在含水预裂爆破中具备良好的控损能力与成缝效果。研究成果可为复杂水文地质条件下的预裂爆破参数选取提供参考依据。
PDF(69)
Ce的4f电子长久以来就因其独特的离域机制,以及对原子结构、相变行为、磁性结构的影响而受到广泛的关注。通过改变前驱体(CeCl3、MgO粉末)化学配比的方式,在大腔体压机提供的高温高压(1873 K、5 GPa)条件下,通过对高压固相复分解反应(HSM)进行调控,合成了立方萤石结构的CeO2Cl0.07。利用金刚石对顶砧(DAC)、高压原位同步辐射X射线衍射、扫描电子显微镜、能谱仪、高压拉曼光谱对其进行表征,获得了压力-比容(P-V)曲线,并与CeO2进行比较,发现CeO2Cl0.07更易压缩,得到了高压拉曼声子光谱(F2g),发现非静水压下CeO2Cl0.07随压力变化关系在0~2 GPa区间以及15 GPa附近存在异常。分析认为,Cl元素的掺入带来氧空位,使得Ce3+浓度升高,进而引起4f电子离域现象所致。本研究开发了新型铈基化合物的高压合成途径,揭示了其在高压条件下的行为。
PDF(110)
本研究对拓扑半金属YbMnBi₂开展了高压下的电输运与拉曼光谱测量。电输运结果表明,其电阻-温度关系随压力增加发生显著演变,并在16.8 GPa以上出现负磁阻,至30.1 GPa时进一步观测到具有磁滞回线的反常霍尔效应。这些现象与对应压力下拉曼光谱的连续变化相结合,共同表明高压诱导了具有净磁矩的磁有序态的形成,并指向发生铁磁相变的可能性。本工作通过系统分析电阻-温度曲线形状、磁阻符号及霍尔行为的演变规律,揭示了压力对该体系磁序与拓扑电子态的协同调控机制,为其在自旋电子学中的应用探索提供了新视角。
PDF(75)
为了提升数据驱动模型在边坡稳定性分类任务中的预测精度,提出了一种融合新型鲸鱼迁徙优化算法(whale migrating algorithm, WMA)与支持向量机(SVM)的混合智能模型(WMA-SVM)。首先,构建了一个涵盖多种工程背景的异构边坡案例数据集。针对其显著的类别不平衡问题,采用合成少数类过采样技术(SMOTE)与局部异常因子(LOF)算法相结合的策略,生成了高质量平衡数据集。随后,利用经8个基准测试函数验证的具有优越寻优性能的WMA算法,对SVM的超参数进行自适应寻优。模型评估结果表明,WMA-SVM在各项性能指标上均显著优于对比模型。此外,基于置换特征重要性(permutation feature importance,PFI)算法分析得出,容重、边坡角和内摩擦角是影响该数据集分类结果的关键敏感性特征。最后,通过8组独立的工程案例测试,进一步验证了模型的泛化能力,结果显示,预测与实际状态高度吻合。研究结果为边坡稳定性的智能分析提供了一种具备较好泛化潜力的建模框架。
PDF(82)
为了研究航空发动机复合材料叶片在鸟撞事件中的响应与损伤行为,提出了一种使用元件级平板试样替代全尺寸风扇叶片的等效鸟撞试验方法,旨在通过元件级平板试验再现全尺寸叶片在鸟撞过程中出现的尾缘分层损伤。通过开展不同夹持方案下平板试样的鸟撞试验和数值仿真,系统分析了不同方案下平板试样的冲击响应特点及分层损伤的起始和扩展过程,进而提出了一种能够有效模拟叶片鸟撞过程中尾缘分层损伤的元件级等效试验方法,并确定了可诱导典型复合材料层合板产生单侧尾缘分层的基准冲击工况,包括冲击高度、冲击速度以及切鸟量(鸟弹撞击试件时有效撞击体积占鸟弹总体积的百分比)。此外,通过对比不同冲击工况下的试验与仿真结果,验证了数值模型的准确性。基于已经过试验验证的数值模型,针对试验参数(冲击高度、冲击速度及切鸟量)分别开展了敏感性分析,得出在试验可控的参数波动范围内,3个参数引起的复合材料平板关键冲击响应指标(平板上侧尾缘峰值位移、平板下侧尾缘峰值位移及平板上沿位移差)相对基准工况的变化幅度均小于5%。研究表明,所提出的等效试验方法可以通过复合材料平板试验模拟全尺寸叶片鸟撞时的局部位移响应和分层损伤模式,且试验结果具有良好的鲁棒性。
PDF(77)
为了更好地防控镁粉在富燃条件下的爆炸风险,利用爆炸抑爆综合试验装置,对镁粉在不同粒径及浓度等条件下的爆炸特性进行了研究,分析了固体惰化剂Mg(OH)2、Ca(OH)2、Ca(HCO3)2对镁粉的惰化效果,揭示了富燃条件下固体惰化剂对镁粉的惰化机理。结果表明:在17~74 μm范围内,镁粉的最大爆炸压力随粒径的增大而减小;而增大粉尘浓度却导致最大爆炸压力呈现先增后降的趋势,17 μm下的镁粉最佳爆炸浓度和最大爆炸压力分别为350 g/m³和0.716 MPa;3种惰化剂的加入均使镁粉的最大爆炸压力和最大压力上升速率有所下降,得到了3种惰化剂对镁粉有效惰化和完全惰化时的惰化比,其中,Mg(OH)2的惰化效果最优,到达有效惰化和完全惰化时的惰化比分别为170%和220%。通过分析Mg(OH)2的惰化机理发现:Mg(OH)2通过受热分解产生MgO隔离层,吸附到镁颗粒表面进而阻碍氧气接触来实现惰化;Ca(OH)2仅受热分解起到惰化效果;Ca(HCO3)2通过受热分解产生CO2增强惰化效果。所得结论为实现富燃条件下镁粉爆炸的有效惰化提供了重要参考。
PDF(85)
空间碎片问题是当今空间环境保护领域最紧迫的问题。目前的航天器防护结构多数为Whipple结构,但主体缓冲屏材料多用铝合金材料。基于AUTODYN软件的光滑粒子流体动力学(SPH)法,模拟研究了球形弹丸超高速撞击高熵合金防护结构,分析了不同工况下碎片云数量、质量和动量等特性,探讨了撞击速度以及结构厚度与弹丸直径之比(t/D)对高熵合金防护结构超高速撞击特性的影响。结果表明,在相同撞击条件下,高熵合金防护结构产生的碎片云特性显著区别于铝合金防护结构:碎片总量增加约 51.86%;低质量碎片数量增加约 79.56%,高质量碎片数量减少;沿撞击方向碎片云的最大动量低于铝合金结构的 75%(多种弹丸直径下均成立)。影响因素分析表明:碎片云膨胀程度主要受撞击速度控制(速度越大,膨胀越快),受t/D的影响较小;而危险碎片(大质量/高动能)的质量和动能则主要受t/D影响(比值越高,影响越大)。研究结果为高熵合金在新一代航天器防护结构中的工程应用提供了理论支持和参考。
PDF(75)
菱方相C60在二维材料及催化等领域有着重要应用潜力,然而高纯度、高质量的菱方相C60制备仍然难以实现。本研究在6 GPa、650 ℃的温压条件下成功合成了菱方相C60,利用X射线衍射、拉曼光谱、X射线光电子能谱及球差校正透射电子显微镜等分析手段,确认所合成样品为高纯的二维菱方相结构。探究了压力与温度(6-10 GPa,650-800 ℃)对C60聚合的影响,明确了菱方相与无序非晶碳簇之间的相变边界。变温拉曼光谱测试结果表明,该菱方相C60聚合物在约350 ℃以下保持稳定,超出此温度将发生解聚,恢复为原始面心立方结构的C60分子。本研究为高质量菱方相C60的合成提供了明确的工艺窗口,为其在功能材料领域的进一步应用奠定了实验基础。
PDF(80)
矿物的晶格热导率(κlatt)对地球内部的热流和温度分布有着重要的影响。方解石主要成分为碳酸钙(CaCO3),可以随俯冲进入地球深部,是地球深部中重要的碳来源。随着地球深度的变化,CaCO3伴随着相变和热分解的发生,其物理性质也会受到影响。本文采用第一性原理结合晶格动力学方法计算研究了方解石相变及热分解前后的热导率变化。计算结果表明,方解石I→方解石II相变导致热导率减小,而更高压力下的相变,热导率都有不同程度的增加。文石及后文石热导率随压力变化接近线性增加,其中后文石随压力变化更为明显。随着热分解的发生,产物CaO的热导率明显高于方解石的热导率,会加速局部区域的热传导。对相关热力学参数进行分析,发现声子群速度,非谐散射率共同决定了相变和分解导致的热导率变化。
PDF(74)
针对传统薄壁圆管与高吸能需求之间的矛盾,提出了一种内嵌不同正多边形的仿生分形多胞圆(bio-inspired fractal multi-cell circular, BFMC)管。基于生物结构启发与分形层级理论,构建了内嵌正四边形、正五边形及正六边形的BFMC管几何模型,并通过数值模拟系统研究了质量、分形维数及内嵌正多边形边数等关键参数对结构耐撞性能的影响,并与典型多胞管进行了对比分析。结果表明,在近似等质量条件下,BFMC管凭借分形层级与仿生构型能够显著提升比吸能和承载能力;其耐撞性能随质量增加而增强,随分形维数的增大呈先降后升的趋势,并随内嵌多边形边数的增加而增强,而峰值力受边数的影响较小。基于超折叠单元理论,建立了用于预测BFMC管平均压缩力的理论模型,并通过数值模拟验证了其准确性与适用范围。研究结果为高比吸能薄壁结构的设计提供了理论依据与结构构型途径。
PDF(79)
为了研究错位距离和弹径对两弹体序贯侵彻中第2发弹体速度的影响规律,建立了描述该侵彻过程中弹体能量损耗与速度变化的理论模型,并开展了验证试验和数值仿真模拟。通过对比理论计算、试验结果与数值仿真,分析了三者之间的一致性。结果表明:错位序贯侵彻会减缓第2发弹体的速度下降,有利于增加第2发弹体的侵彻深度,随着两弹体错位距离的增加,第1发弹体侵彻对减缓第2发弹体侵彻速度下降的影响幅度减弱,当错位距离大于临界错位距离时,将不产生影响;第1发弹体的弹径越大,第2发弹体受第1发弹体侵彻影响的临界错位距离越大;在两弹体以600 m/s的初速度侵彻1 m厚C40混凝土靶的工况下,直径50、80和100 mm弹体临界错位距离最大约为8倍、10倍和14倍弹径,第2发弹体速度变化的理论计算结果与试验结果的最大相对偏差约为7.1%,仿真结果与试验结果的最大相对偏差约为3.8%。
PDF(74)
为了进一步优化气泡帷幕的削波效率,设计了单管多排气泡孔水下爆炸冲击波衰减效果现场试验和气泡帷幕形态高速摄影观测,并利用AUTODYN软件,研究了气泡帷幕数值计算模型的等效厚度。结果表明:在相同的气流量条件下,气泡孔排数是影响削波效率的重要因素,当爆心距为12 m时,孔排数为1、2和3对应的削波效率分别为89.92%、97.25%和96.41%;在不同的爆心距下,2排孔气泡帷幕的削波效率均最佳,削波效率均大于95.00%。无论是气泡帷幕的厚度还是密集度,2排孔气泡帷幕对应的削波效率均最大,气泡帷幕厚度是确定削波效率的关键因素。利用实验与数值模拟相结合的方法建立的等效厚度拟合公式具有较高的可靠性,模拟模型具有较高的准确度。建议类似工程采取单管2排孔气泡帷幕实现便捷、高效和低成本削波。
PDF(84)
锶钽酸盐(Sr2Ta2O7)是一种空间群为正交Cmcm相的陶瓷,凭借其在多铁性材料领域的潜在应用前景,已成为近年来的研究热点。然而,静水压力对其复杂晶格结构的调控机制及相变行为尚未明确,这在一定程度上限制了对该材料“结构—性能”关系的深入理解。本研究利用原位高压拉曼光谱技术系统研究了高达30 GPa范围内正交Cmcm相Sr2Ta2O7的晶格动力学响应特性,这是该材料体系迄今报道的最高压力研究。结果表明:当压力达到5 GPa时,材料的拉曼振动模式出现显著变化,这一现象源于对称性破缺引发的相变,对应从公度相到非公度相的转变,与既往相关Sr2Ta2O7的研究结论一致;随着压力进一步升高至20 GPa,材料可能发生第二次相变,该相变过程为与晶格无序化密切相关的一级相变,但高压相的具体晶体结构仍有待未来进一步确认。拉曼光谱分析结果提示,该高压相的结构畸变可能遵循正交→单斜的转变路径。
PDF(81)
碳纤维增强塑料(CFRP)作为一种先进复合材料,在工程领域应用广泛。然而,针对超薄CFRP层压复合材料动态力学行为的研究较为有限。采用单向超薄预浸料和热压成型工艺,制备了单层厚度仅为0.1 mm的超薄CFRP层压复合材料,系统研究了0°、90°、0°/90°、45°与±45° 5种铺层角度试件的应变率效应。准静态压缩实验结果表明:45°铺层增强了塑性行为,但削弱了材料强度与模量;而90°铺层则有助于提高模量与强度,并减少塑性变形。动态冲击结果表明,90°铺层能够提升动态模量与动态强度,并降低动态屈服应变;45°铺层虽降低了动态屈服强度,但显著增强了动态模量与动态屈服应变对应变率的敏感性。相较于0°/90°铺层的传统CFRP层压复合材料(层厚0.295 mm,动态强度和模量分别为900 MPa和10.12 GPa),所制备的超薄CFRP复合材料在单位厚度内的纤维含量提升了66%,动态强度和模量分别提高了123%和926%。基于实验数据,进一步建立了超薄CFRP复合材料的本构模型,并给出了相应的本构参数,为预测材料在不同铺层方式和应变率下的力学行为提供了依据。
PDF(69)
为提高复杂地质条件下的爆破成型精度及围岩保护效果,本文基于数字激光动态焦散线实验系统,采用PMMA材料试件,开展了护壁爆破与护壁切槽耦合爆破的对比实验,系统研究了两种爆破模式下的裂纹扩展机制与力学响应特征。结果表明,护壁切槽耦合爆破中主裂纹沿预设切槽方向稳定扩展,展现出优异的定向控制效果;同时其裂纹尖端应力强度因子二次峰值明显高于单一护壁爆破,显示出更强的动态应力集中效应。护壁切槽耦合爆破不仅整体裂纹扩展速度更高、后期衰减缓慢,且体现出更强的持续性与稳定性;此外,该模式在减少护壁侧裂纹长度与数量方面表现出更优的岩体保护效果。研究表明,护壁切槽耦合爆破通过切槽引导与能量再集中机制显著优化了裂纹扩展行为,提升了爆破的定向性与能量利用效率。该成果可为岩体精准爆破设计及工程应用提供理论依据与技术支持。
PDF(71)
空穴膨胀理论常用来预测靶板对弹体的侵彻阻力。提出了一种陶瓷材料的球形空穴膨胀模型,通过引入剪胀-运动学关系,考虑了陶瓷在破碎区的剪胀效应。根据剪切强度是否达到最大值(平台),将破碎区进一步划分为线性破碎区(满足Mohr-Coulomb准则)和饱和破碎区(满足最大剪切强度)。首先,给出了计算空腔表面径向应力的方程;其次,对陶瓷在不同扩张速度下的空腔膨胀过程进行了数值模拟;最后,讨论了抗压强度、体积模量、密度、泊松比和抗拉强度等参数对空腔表面径向应力的影响。结果表明,模型预测的空腔径向应力、开裂区和破碎区界面速度与数值模拟结果吻合良好;抗压强度对提高空腔的径向应力起主导性作用,密度的影响随空腔膨胀速度的增加而增加。
PDF(77)
切顶卸压沿空留巷技术在煤矿开采中广泛应用,但其预裂爆破采用的多分段空气间隔装药结构,需为每段药柱配备单独雷管起爆,存在单孔雷管用量大、成本高、操作复杂及安全风险突出等问题。为解决这一工程瓶颈,提出将金属聚能射流冲击传爆技术应用于复合顶板预裂爆破,通过 LS-DYNA 数值模拟方法,系统开展药型罩结构优化、金属射流冲击传爆影响因素以及稳定传爆距离研究。结果表明:铝制药型罩的综合性能最优,当锥角为 60°、壁厚为 1 mm 时,可形成速度高、长度长且连续性良好的聚能射流;铜制药型罩因强度高、压垮能量阈值大,低威力装药条件下难以形成有效射流;铅制药型罩虽易驱动,但射流稳定性差、易断裂;当装药的长径比大于3时,有效装药量达到饱和,新增装药能量多通过径向膨胀与热耗散损失,射流的最高速度与稳定速度均趋于稳定;空气自由场中壁厚为1 mm、锥角为60°的铝制药型罩射流冲击传爆的可靠距离上限为 90 cm,超过此距离时,射流拉伸衰减导致压力不足,无法起爆乳化炸药;钢管等密闭约束可显著抑制爆轰产物径向膨胀,提升能量利用率,进而延长药型罩金属射流冲击传爆距离。
PDF(84)
Nb3Sn超导材料因其优异的超导性能,被广泛应用于粒子加速器的超导谐振腔、核聚变与高能物理领域的超导磁体装置中。在失超和快速励磁等极端工况下,超导材料常承受高应变率的动态载荷,进而引发复杂的电磁-热-力多场耦合效应,最终导致其超导临界性能发生不可逆退化。本研究基于分子动力学模拟的结果,以连续介质力学和超导物理理论为框架。研究了高应变率拉伸条件下Nb3Sn复合超导体的弹塑性力学行为、塑性功热耗散引起的绝热温升以及损伤演化对超导临界性能的影响。基于弹塑性变形解耦理论,将变形分解为弹性和塑性两部分,定量分析了Nb基体塑性功热耗散引起的温升演变规律,并基于密度泛函理论,分析了绝热温升与变形损伤对Nb3Sn复合超导体临界性能的影响。研究结果表明:低温高应变率拉伸条件下,铌基体的塑性变形主要由全位错滑移主导,而Nb3Sn涂层由于其A15晶体结构的本征脆性,发生脆性断裂。温升主要源于塑性功的热转化,随着塑性应变的累积,温度随之升高。力-热耦合效应显著加剧超导临界性能退化;变形损伤主要表现为非晶化和裂纹扩展,引发电子结构的不可逆转变,进而导致超导临界性能的退化。本研究有助于理解高应变率作用下Nb3Sn复合超导体的变形-温升-性能退化关联机制,对超导腔与磁体的优化设计具有理论指导意义。
PDF(66)
深空探测面临极端温度与复杂高速运行环境的挑战,对材料的低温抗冲击性能提出了更高要求。通过发展真空液氦环境下的低温霍普金森杆冲击实验装置,实现了材料在超低温条件下的动态加载,研究了2种轧制工艺的301不锈钢在低温(30~298 K)与高应变率(4000~5000 s-1)耦合作用下的动态力学响应。实验结果表明,2种材料的屈服强度均表现出显著的温度负相关与应变率正相关特性,单向轧制样品在77 K环境下呈现出反常的韧性增强现象。研究结果表明,单向轧制工艺诱导产生较高含量的马氏体相,从而赋予材料更高的强度。微观结构表征结果指出,宏观力学行为的异常源于变形机制的竞争,常温条件下试样主要呈现以韧窝为主导的韧性断裂机制,而低温条件下则转变为以准解理断裂为主导的脆性断裂模式。在此基础上,采用Johnson-Cook本构模型对其力学性能进行拟合,结果具有较好的一致性。本研究为极端低温冲击环境下金属材料的动态强韧化设计提供了重要的实验方法和理论支撑。
PDF(69)
针对深层/超深层油气勘探对高性能聚晶金刚石复合片(polycrystalline diamond compact,PDC)齿的迫切需求,通过正交试验法优化PDC齿的合成配方,在高压烧结(8.5 GPa,1750 ℃)条件下,成功制备出传统均匀混合型PDC齿(H-PDC)以及具有“细晶工作层/粗晶过渡层”梯度结构型PDC齿(G-PDC)。梯度结构有助于促进钴烧结助剂的均匀分布,抑制钴的聚集,增强层间的界面结合,并产生较高的残余压应力。G-PDC工作层的钴含量为9.16 wt.%,经酸浸脱钴后,钴含量降低至2.49 wt.%。性能测试表明:G-PDC的耐磨寿命达到920 车磨次数(passes),优于H-PDC(800 passes);G-PDC的平均冲击能为740 J,较H-PDC提升约107%;同时,梯度结构缓解了PDC齿的热失配问题,使热稳定温度提高约30 ℃。实验结果表明,高压烧结与梯度结构设计的协同作用会显著提升PDC齿的耐磨性、冲击韧性及热稳定性。研究结果为面向极端工况的下一代超硬复合材料开发提供了可行路径。
PDF(59)
为了探究棉籽油含量对现场混装乳胶基质的流变特性及抗振动性能的影响,制备了不同含量棉籽油的现场混装乳胶基质样品。采用旋转流变仪、HY-5A型回旋调速振动器、水溶法研究了现场混装乳胶基质的流变特性以及抗振动性能。结果表明:当棉籽油的质量分数不大于2.5%时,随着棉籽油质量分数的增大,现场混装乳胶基质的黏度逐渐增大,在现场混装车管道的温度环境下,乳胶基质的黏度均能满足泵送要求,弹性模量和内聚力逐渐变大后基本不变,抗振动性能先增大后变小;当棉籽油的质量分数为2.0%时,抗振动性能最佳。
PDF(76)
二维金刚石作为一种新型的原子级超薄碳基材料,不仅继承了块体金刚石的优异性能,又有望展现出因量子尺度效应带来的独特物性。当前,二维金刚石研究仍处于以理论探索为主的起步阶段,实验研究则集中于其可控制备与结构验证。受表界面效应及尺寸效应的多重影响,传统高压合成方法难以在纳米碳材料中直接实现由石墨烯中sp2向sp3杂化的高效稳定转化,这为二维金刚石研究带来了诸多亟待解决的关键科学问题。本文系统总结了近年来二维金刚石在结构特征、合成策略及物理化学性质等方面的理论与实验研究进展,并对二维金刚石未来的发展方向与潜在的应用场景进行了展望。
PDF(68)
采用第一性原理方法系统地研究了UH5在30 GPa内的热力学、力学、动力学稳定性以及电子性质。研究发现,实验合成的正交、六角、立方相均为磁性材料,自旋极化率分别达到82%、100%、100%,热力学稳定性依次降低。弹性与声子模拟表明,3个相均具备力学与动力学稳定性,化学键分析表明这主要源于晶格中普遍存在共价性较强的U-H相互作用。此外,预测了实验上截留至1 GPa的正交相在1200 K转变为H离子在U亚晶格间隙中快速扩散的超离子态,扩散系数达到1.2×10-4 cm2/s。
PDF(55)
为了研究鱼雷制导头段结构对水下聚能战斗部毁伤威力的影响,采用AUTODYN有限元分析软件,对聚能侵彻体受不同模拟头段结构影响下的毁伤性能进行了数值仿真,分析了不同模拟头段结构下冲击波绕射、靶后载荷传播和毁伤靶板的全过程。研究表明:侵彻体头部速度和后效靶扩孔半径随模拟头段总长度和模拟头段层数增大而整体呈上升趋势;在一定范围内,增加模拟头段层数可以有效地优化爆炸成型弹丸(explosively formed projectile,EFP)的成型形态,从而提升其后续侵彻能力;在不同模拟头段总长度条件下,存在一个最佳总长度使侵彻体保持较高头部速度的同时不发生颈缩断裂。
PDF(50)
为提升硬X射线探测效率,优化了微通道板对硬X射线响应效率的影响模型,在模型中考虑了微通道板所有材料参数以及结构参数的影响,并进一步考虑了微通道板基底材料原子壳层间相互串扰的影响。在此模型的基础上,分析了微通道板的基底材质、通道直径、通道间壁厚、通道板厚度等参数对其探测效率的影响。基于现有技术条件,给出了微通道板各参数的最佳优化值及相应的探测效率,结果表明,其对50~200 keV能段的硬X射线的探测效率可以达到45%以上。
PDF(62)
为了保证铜矿资源的高效回采,以含铜钠长岩试样为研究对象,使用分离式霍普金森压杆(SHPB)施加不同强度的冲击荷载,利用高速摄像系统记录裂纹扩展过程,并结合一维应力波传播理论和能量守恒定律,分析试样在不同冲击气压下的能量耗散规律;同时,基于有限-离散元(FDEM)耦合算法,建立含铜钠长岩冲击过程的数值模型。结果表明:入射能和应力峰值随着冲击气压的增大而增大,试样破碎程度也随之加剧;当入射能小于140 J时,随入射能的增加,能量耗散率逐渐增大;当入射能大于140 J时,能量耗散率随入射能的增加逐渐减小,能量耗散率在冲击气压为0.35 MPa时最大;在冲击过程中,拉伸破坏占主导作用,并在水平方向形成主优势区。新增裂纹面积和冲击总能量随着冲击荷载的增加而增大,冲击气压为0.30 MPa时,应变能比能量最小,在此气压下,剪切裂纹占比最小,说明0.30 MPa的冲击气压的破岩效率最高;基于FDEM构建的数值模型可以有效地预测在不同冲击荷载下含铜钠长岩的损伤破裂过程。
PDF(52)
为提高国内现役38 mm防暴枪用非致命动能弹的安全性,采用有限元-离散元法,对填充铅砂的38 mm球形动能弹丸冲击人体仿生靶标过程进行了数值模拟,利用刚性壁实验进行了建模方法和参数选取的间接验证,获得了弹丸冲击仿生靶标过程的形变过程、动能、速度、位移、能量传递率等变化数据。在此基础上,对不同弹体速度和壁厚进行了对比分析,提出了安全射击建议。结果表明:弹丸冲击仿生靶标时产生较大形变,弹丸形变至圆饼状,靶标产生圆形凹陷,两者形变均可在一定程度恢复;弹丸致伤威力随着速度的增加而增加,随着壁厚的增加而减小;当弹丸壁厚为5、7、9 mm时不造成腹部皮肤穿透损伤的最小射击安全距离分别122.40、64.62、31.26 m。
PDF(51)
巷道掘进中钻爆法的掏槽爆破效果直接影响爆破循环效率,而现有研究多忽略岩体内部节理等细观缺陷的影响。基于PFC 2D离散元方法,引入离散裂隙网络(DFN),构建了含不同密度节理的岩体模型,采用粒子膨胀法模拟掏槽爆破过程,系统分析了DFN对裂纹扩展、能量耗散及爆后块度的影响。在此基础上,优化炮孔布置方案,将原6孔布置简化为4孔菱形布置,并采用15 ms微差起爆,提高了炸药能量利用率,爆后效果与原方案相近。现场试验表明,优化方案有效节省了实际生产成本,减少了钻孔工作量。研究结果强调了考虑岩体节理缺陷对爆破参数优化的重要性,为岩巷高效掘进提供了理论依据和实践参考。
PDF(42)
XFEL装置是诊断微介观材料动态过程的旗舰装置。为了增强对XFEL实验物理的认识能力和装置的设计能力,利用HSWAP工作流管理平台开展了XFEL实验模拟平台的研究工作。HSWAP平台实现了XFEL平台的流程模型、组件模型和数据链接模型,形成初步的XFEL实验模拟平台,并可以方便地使用不同的组件模型创建各种可执行的仿真过程。针对XFEL实验中的XRD和PCI诊断技术开展了模拟研究,实现了分子动力学模拟与XRD模拟的结合以及近场动力学计算模拟与PCI模拟的结合。通过XFEL实验模拟平台的建立和应用,加深了对XFEL诊断能力和实验物理过程的认识。
PDF(58)
跨介质武器是目前军事领域的研究热点之一。基于雷诺时均N-S方程、VOF多相流模型、修正Realizable k-ε湍流模型,构建了三维数值仿真方法,对不同头型的卵形弹高速垂直入水过程中的空泡演化及运动特性展开研究,分析了头型对空泡演化及运动特征的影响规律。研究表明:数值模拟与实验观测数据在空泡形态及运动速度演化规律上呈现良好的一致性。卵形弹头部的几何形状显著影响入水空泡形成机理及弹体运动特性。普通卵形弹与双锥卵形弹的空泡形成于弹体肩部区域,而锥柱卵形弹的空泡于头部开始并快速包裹整个弹体。结合压力场分析表明:双锥卵形弹头部出现了低压区,导致弹体速度衰减减慢;锥柱卵形弹的头部形成典型高压区,导致弹体速度衰减加快。此外,相比其他两种弹体,锥柱卵形弹的轴向载荷增大一倍以上。
采用分子动力学方法,研究了含氦泡铜在两次稳态波加卸载作用下的微射流增长与损伤演化过程,对比了含氦泡与不含氦泡金属的损伤特征、激活应力阈值、微射流形态和速度分布以及不同区域氦泡的变形特征。结果表明:二次冲击后,氦泡膨胀的临界激活应力阈值低于孔洞形核的应力阈值,且与氦泡分布及氦泡数密度密切相关。低压首次冲击下,含氦泡金属比纯金属形成更显著的微射流;二次冲击下,氦泡使微射流更易断裂,且微射流头部最大速度更高,但微射流主体速度分布相当。二次冲击波对于已经经过首次冲击压缩、由于稀疏波作用发生轻微回弹但未恢复至初始状态的体氦泡几乎不起作用。二次冲击后,近表面已破裂飞出的氦泡壁也可能贴回气泡底部,使得部分氦原子被再次封存。二次冲击卸载后,被封存的氦泡会再次发生膨胀破裂,释放氦原子。在二次冲击作用下,氦泡塌缩机制与氦泡尺寸及冲击强度紧密关联。研究结果将为后续的辐照氦泡对金属微喷-微层裂耦合演化影响的跨尺度理论研究提供物理认识和理论依据。
采用密度泛函理论框架下的第一性原理计算与CALYPSO晶体结构预测方法相结合,系统探究了惰性元素氦(He)与碱土金属的化合物在高压条件下的结构稳定性。研究发现,在碱土金属中,锶(Sr)与 He 形成的化合物具有相对较低的能量。为此,对400 GPa下Sr2He的晶体结构进行了预测。电子定域函数和态密度分析表明,Sr与He原子之间不存在形成共价键的趋势。此外,Bader电荷分析显示,Sr原子与He原子之间存在离子键作用,电荷从He转移至Sr,从而为阐明Sr2He的成键机制提供了关键见解。研究结果揭示了Sr2He的晶体结构、成键性质及电子特性,为理解此类亚稳材料的稳定性和物理性质提供了理论支撑,并为其实验合成提供了重要指导。
PDF(51)
系统研究了在高压条件下,乙醇-氢气-甲烷三元预混燃料的层流燃烧和爆炸特性。采用定容燃烧系统,在初始温度为400 K、压力为0.1~0.4 MPa、当量比为0.7~1.4及乙醇掺比20%、50%、80%的工况下开展实验。结果表明:当量比为1.1时,燃烧不稳定性最强,且不稳定性强度随乙醇含量和压力升高而增强。层流燃烧速度随着压力和乙醇浓度升高而降低,与机理模拟结果的相对偏差小于7%。在爆炸特性方面,最大爆炸压力与初始压力呈线性关系,其斜率随乙醇掺比增加而升高;最大升压速率在当量比为1.1时达到峰值,最大值可达188 MPa/s,对应的爆燃指数为23.66 MPa•m/s,处于相对安全水平。不同乙醇掺比下的最优燃烧区间为:20%时,当量比为1.2~1.3,压力为0.1~0.3 MPa;50%时,当量比为1.1~1.2,压力约为0.3 MPa;80%时,当量比为1.0~1.1,压力约为0.1 MPa。动力学分析进一步表明,R1为主导链分支反应,是提升燃烧速率的关键步骤,机理模拟可准确捕捉自由基演化趋势,验证了反应动力学模型的合理性。研究结果揭示了乙醇掺比与压力共同作用下三元燃料燃烧和爆炸的规律性,为高效清洁燃料设计与燃烧室优化提供了参考。
PDF(86)
本研究通过平板冲击实验与微观表征技术,系统探究了温度对Invar36合金层裂行为的影响。实验利用一级轻气炮加载平台结合高温加热装置,测量了20℃至300℃范围内不同偏析方向样品的自由表面速度剖面及层裂强度变化规律。结果表明,Invar36合金的层裂强度随温度升高呈线性下降,高温显著弱化其动态抗拉性能。微观损伤分析显示,室温下孔洞沿元素偏析带成核并扩展,而高温时损伤集中在晶界处,高温削弱了偏析的约束作用,且热激活位错运动促进材料软化。研究揭示了温度对层裂强度与损伤机制的核心作用,为高温冲击环境下Invar36合金的抗失效设计提供了理论支撑。
高熵合金作为一种新型活性毁伤材料,近年来在活性毁伤领域受到广泛关注。高熵合金不仅具有高强度、高硬度、优异的塑性和能量释放特性,而且材料成分和性能参数可设计,可以满足不同应用场景下的材料需求。此外,高熵合金在加工成型、力学强度和冲击释能等方面也具有潜在的应用优势,特别是Ti-Zr基体系因具备侵彻-释能耦合效应成为研究热点,已有实验证实了高熵合金在活性毁伤领域的应用潜力。目前,活性高熵合金在弹体壳体、活性破片、药型罩、穿甲弹等领域具有广阔的应用前景。介绍了活性高熵合金的定义和特点,归纳了现有活性高熵合金体系,梳理和总结了活性高熵合金动态力学行为和冲击释能特性研究现状以及潜在应用领域,并对其在活性毁伤领域的未来发展方向进行了展望。
随着人们对含能结构材料力学性能及释能效果的综合要求不断提高,传统含能结构材料难以同时满足高强度及高释能水平的需求。为此,通过粉末冶金工艺,制备了一种新型Ti1.5ZrNbMo0.5W0.5高熵合金,系统研究了该合金的微观组织、力学性能、毁伤效能及能量释放机制。结果表明,Ti1.5ZrNbMo0.5W0.5合金具有高致密度、较小的晶粒尺寸和优异的准静态及动态压缩性能。在弹道枪实验中,尺寸为$\varnothing $8 mm×8.5 mm的Ti1.5ZrNbMo0.5W0.5合金破片在637、861和
金属铝(Al)作为常用的活性金属之一被广泛应用于活性材料体系中,但Al存在反应活性偏低制约体系能量释放的问题。为此,将铝铈合金引入反应体系中,利用稀土铈的高反应活性的特性强化铝的反应活性。为研究稀土基活性材料在冲击过载下的力学特性和点火性能,开展了Al2Ce/PTFE、Al/PTFE、Al2Ce/高氧酸铵(AP)、Al/AP 4种活性材料体系的制备和表征,通过分离式霍普金森压杆实验系统动态加载,测量了4种活性材料体系的动态应力-应变曲线、点火延迟、燃烧持续时间等性能;通过热分析测试,分析了不同含量活性金属对AP的热分解性能的影响。结果表明:4种活性材料存在未燃烧、燃烧和爆燃3种冲击点火形态;Al2Ce/PTFE和Al/PTFE材料的点火性能较差;Al2Ce/AP体系的极限强度和临界失效应变较高,且冲击点火形态为爆燃,点火延迟和持续燃烧时间均低于Al/AP体系;Ce元素的引入加速了AP的分解,并使Al2Ce/AP体系的焓值大幅提高,能量释放更集中。Ce元素可以有效地提高金属铝的反应活性,其高反应活性的特性使活性体系材料的反应进程加速,并显著强化活性材料体系在冲击作用下的能量释放。综上所述,稀土铝合金材料因具有高反应活性优势,对于研制铝基冲击反应材料具有重要意义。
利用分子动力学模拟研究了单个铝纳米球(单重态)与初始呈I型构型的2个铝纳米球聚集体(双重态)碰撞的动力学过程。根据初始撞击速度的不同,纳米球体会产生反弹、黏附、聚集和熔融4种碰撞结果。当撞击速度极低时,纳米球体间的排斥力使其无接触反弹,且反弹临界速度随纳米球体直径的增大而降低。随着撞击速度增大,纳米球体因相互黏附形成新键而发生烧结。通过共邻分析、位错分析和均方位移等方法,定量表征了单重态-双重态碰撞过程中的相变和原子扩散现象,从而揭示了烧结机制的本质。通过监测不同直径单重态的温度变化,最终确定了单重态熔融的临界撞击速度。
粉末压制技术是制备高聚物黏结炸药(polymer bonded explosives,PBX)的常用手段,其工艺参数对成型PBX材料的微观结构和力学性能具有重要影响。系统地探讨了制备工艺参数对成型药柱微细观结构及其压缩力学性能的影响。首先,采用不同的压制参数,包括压制速率、孔隙率、温度和颗粒级配,制备了6种圆柱形PBX样品,通过扫描电子显微镜和计算机断层扫描获取了样品的初始微细观结构信息。然后,在宽应变率范围内(
为探究裂纹及其间隙对2,4-二硝基苯甲醚(DNAN)基含铝炸药机械热点形成后反应传播特性的影响规律,制备了含不同初始裂纹的炸药药柱,采用基于发射药燃烧加载方式的炸药点火试验装置,模拟了炸药的反应传播过程,获取了加载过程和炸药反应过程的压力变化曲线以及试验后的炸药形貌特征,结合数值模拟,分析了不同预制裂纹的炸药药柱在相同药量发射药燃烧加载下的应力场分布特征。结果表明:无裂纹或无间隙“一”字裂纹工况下,药柱残骸完整,加载压力达到峰值后迅速下降,未发生反应,热点区域位于底部;含1 mm间隙裂纹工况下,药柱发生断裂并出现局部低速反应,压力衰减过程缓慢。其中,“一”字裂纹工况的热点区域转移至侧表面,而“十”字裂纹工况形成侧表面与底部的双重热点区域,反应程度进一步提升。结果表明,预制裂纹可改变应力分布并扩展热点区域,进而显著影响炸药的反应进程。
针对PBX-9502粉末与502胶按一定比例混合的低密度炸药,基于BKW程序,采用理论分析方法,对其爆轰性能和状态方程(equation of state,EOS)进行了研究。采用基团贡献法,计算了Kel-F(PBX-9502黏结剂)和氰基丙烯酸乙酯(502胶主要成分)的生成热,确定了18种含F、Cl元素的产物气体的标准熵温度系数和余容,在BKW程序框架下,针对5种配比、4种密度状态给出了爆轰产物的CJ爆速和爆压,并根据计算所得CJ等熵线拟合出相应的JWL状态方程参数。结果表明,爆速、爆压与初始密度正相关,而与502胶含量负相关。所得JWL状态方程参数可供通用爆轰计算软件使用,以实现装置爆轰性能评估,为实际应用中502胶配比和混合装药密度选择提供了理论依据,相关方法也可直接推广至其他配方炸药(硫、铝)的爆轰参数研究中,具有重要的工程应用价值。
为研究氮化硼(BN)含量对现场混装乳化炸药爆炸性能的影响,通过透射电镜和光学显微镜表征、铁板实验测试、空中爆炸测试、探针法和铅柱压缩法,观测了炸药的微观形貌,测定了含BN现场混装乳化炸药的热感度、冲击波参数、爆速及猛度,结合理论计算,系统研究了BN含量对炸药微观结构、热感度和爆炸性能的影响。测试结果表明,BN的加入未显著影响内相液滴的稳定性。在240 ℃下,炸药样品的爆发延滞期从114.28 s(空白样品)延长至173.95 s(含1.2% h-BN)。随着BN的质量分数从零增至1.6%,爆速、猛度、峰值超压、比冲量均呈现先增后减的变化趋势:爆速由
多孔硝酸铵因其多孔隙结构常被用于特定作业,但其运输成本较高。为此,以离子表面活性剂PST为添加剂,通过喷雾造粒法制备了多孔隙改性硝酸铵,研究了不同质量分数(0~0.4%)的PST对硝酸铵孔隙结构、吸油率、热稳定性及爆炸性能的影响。结果表明:随着PST含量的增加,硝酸铵由致密颗粒逐步转变为具有明显连通孔隙的多孔结构,热稳定性基本保持不变,基体化学组成未发生本质改变,但吸附水降低。改性后样品与油相的结合能力提高,所配装药的爆速由未改性时的“未正常起爆”提升至
为提高含能材料爆炸能量的输出总量和功率,通过金属丝电爆炸产生的等离子体驱动含能材料环四亚甲基四硝胺(HMX)起爆,实现电能与化学能的耦合释放。通过搭建的电-化耦合爆炸实验系统,在常温常压空气中测量了爆炸过程中的电压、电流曲线,将电-化耦合爆炸划分为金属丝相变、电流暂停、等离子体放电和振荡放电4个典型阶段。研究表明,不同材质金属的主要能量沉积发生在不同阶段:镍和铜等凭借中等沸点及高电阻温度系数在金属丝相变和电流暂停阶段实现了高效的相变能量沉积;在等离子体放电阶段,铝因氧化层破裂发生爆发式汽化,并凭借低电离能形成高导等离子体,沉积能量显著跃升;钨通过液态显热蓄积和电阻急剧上升,在等离子体放电阶段的沉积能量占比超过80%。研究还发现,电流暂停现象受到金属材质(如电阻温度系数、沸点及汽化潜热等)的影响,其中,铜表现出最长的电流暂停时间,而钨则未出现该现象。研究结果揭示了金属材质对能量沉积过程的影响机制,为提升含能材料的能量输出总量和功率提供了实验依据与技术支撑。
针对Lee-Tarver点火增长反应速率方程参数多且不易标定的问题,在三项式结构的基础上,引入半周期三角函数对模型进行优化。新速率方程优化了点火项的连续性,将增长项和完成项的形状因子最大数值限制为1,减弱了比例系数和形状因子的参数补偿,消除了三项式的反应度极限,将反应速率方程参数由15个降至10个,提高了参数标定的效率。基于LS-DYNA对改进的点火增长模型进行二次开发,对比计算了Lee-Tarver模型和优化模型的冲击起爆仿真结果,炸药内部压力和反应度高度一致,验证了模型开发的正确性。基于炸药驱动金属板试验结果,应用LS-OPT标定了优化的点火增长模型参数,并统计了反应速率方程参数的敏感度,提炼出了关键参数,可为进一步提高参数标定效率提供参考。仿真结果与炸药驱动金属板试验结果的相对误差小于3%,验证了标定参数的准确性。应用改进的点火增长模型,结合子弹/破片撞击弹药的安全性试验,研究了子弹/破片撞击下弹药的冲击起爆响应特性。子弹撞击弹药后66 μs内炸药内部峰值超压达到14.5 GPa(爆压的48.3%),表明炸药未发生爆轰反应;破片撞击条件下,炸药内部峰值超压仅为0.79 GPa,近撞击点的反应度大于其他区域,最大反应度仅为0.01,炸药未起爆。优化模型的仿真结果与试验测试结果的一致性较好,验证了优化开发的点火增长模型的工程应用性。



阅读全文






