2024年 第38卷 第5期
2024, 38(5): 050101.
doi: 10.11858/gywlxb.20230768
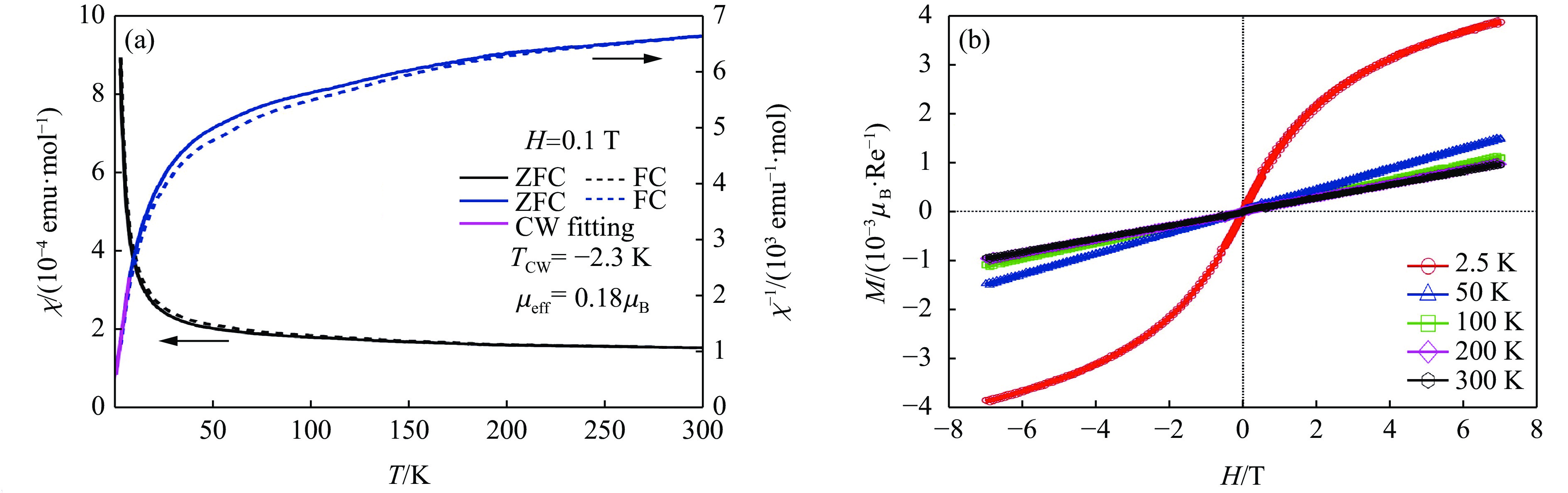
摘要:
2024, 38(5): 050103.
doi: 10.11858/gywlxb.20240753
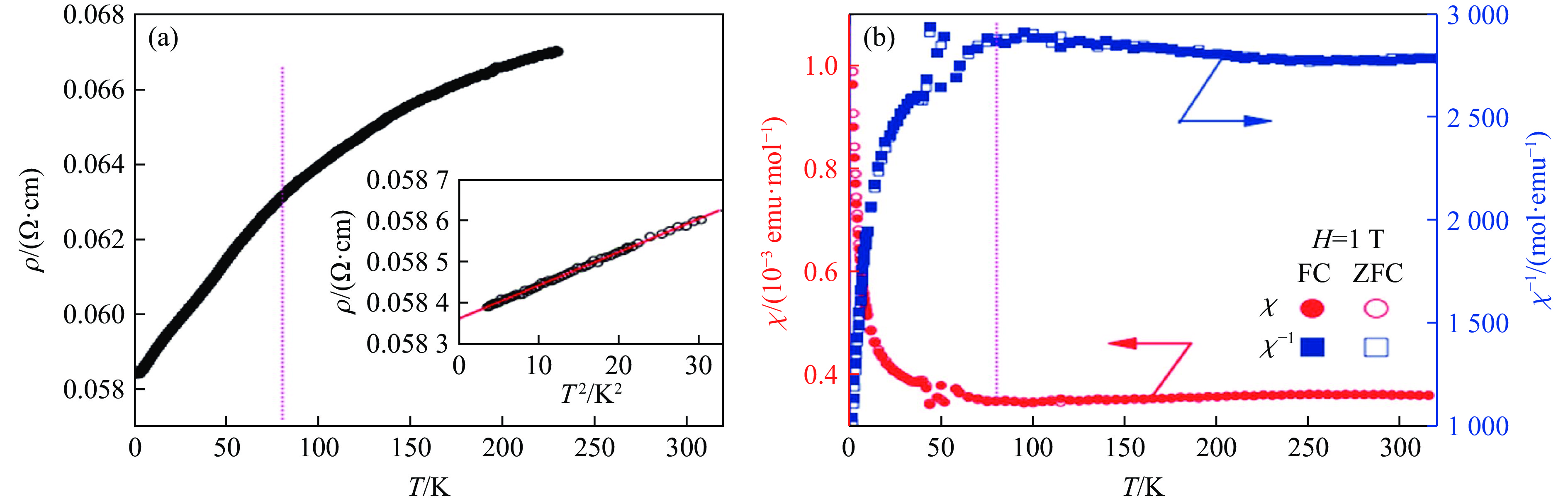
摘要:
2024, 38(5): 050107.
doi: 10.11858/gywlxb.20230822
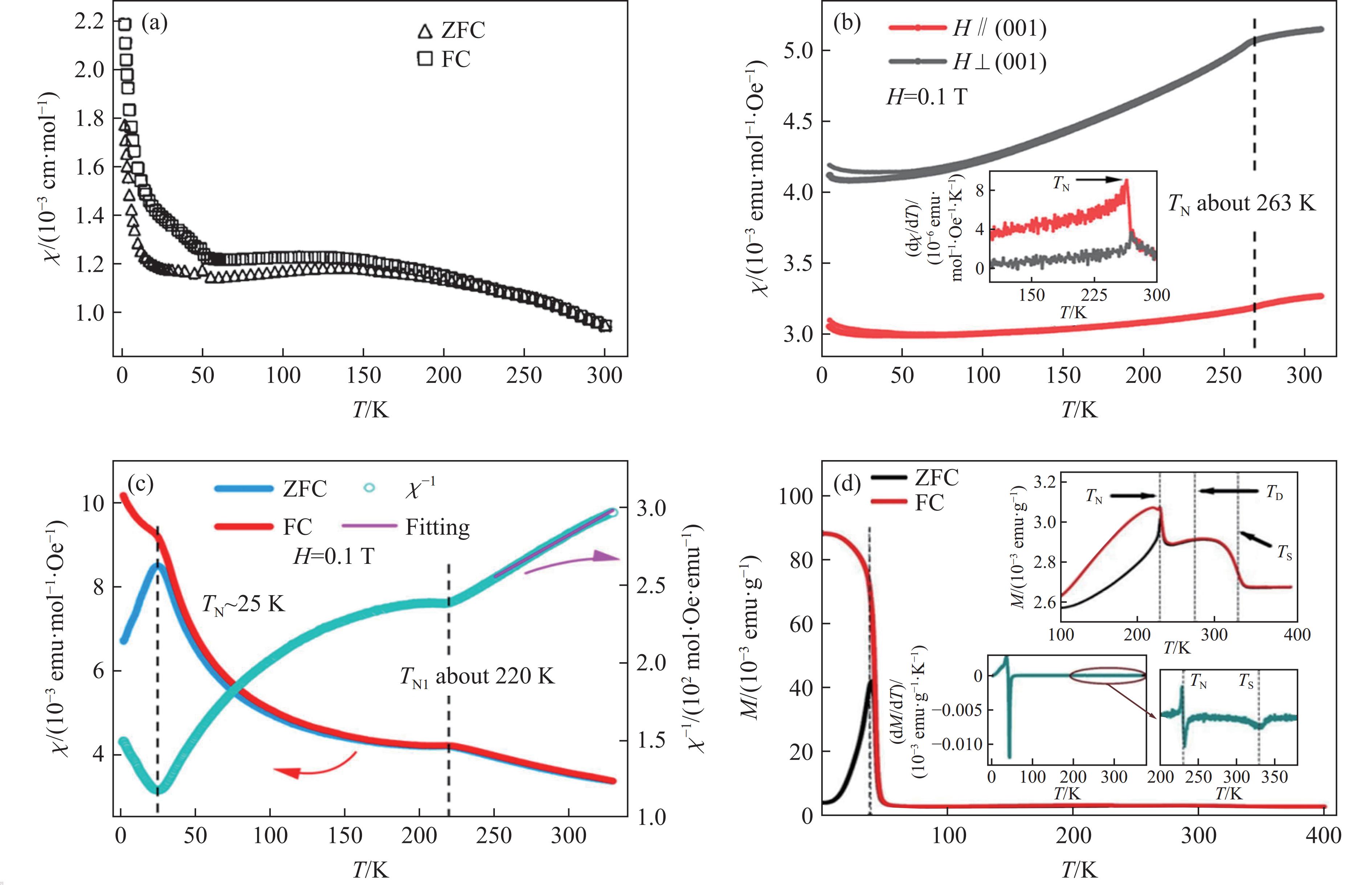
摘要:
2024, 38(5): 052201.
doi: 10.11858/gywlxb.20240752
摘要:
2024, 38(5): 054101.
doi: 10.11858/gywlxb.20240757
摘要:
2024, 38(5): 054102.
doi: 10.11858/gywlxb.20240783
摘要:
2024, 38(5): 054103.
doi: 10.11858/gywlxb.20240732
摘要:
2024, 38(5): 054104.
doi: 10.11858/gywlxb.20240799
摘要:

PDF
引证文献
阅读全文














