High Pressure High Temperature Synthesis and Physical Properties of Transition Metal Perovskites
-
摘要: 过渡金属钙钛矿材料由于具有灵活多变的晶体结构和丰富多样的物理性质,在信息、能源和催化等领域具有广阔的应用前景。然而,在常规条件下合成的过渡金属钙钛矿种类有限。高压作为一种独特的实验手段,能够显著调控材料的原子间距和元素构型,在合成新型钙钛矿材料方面具有较大优势,通过改变电子结构可引发铁电、磁性、超导、金属-绝缘体转变、电荷转移及电荷歧化等新奇的物理性质。本文回顾了极端高压材料制备技术和高压原位测量技术,并对这2项技术在几类过渡金属钙钛矿合成与物性调控方面的应用进行了展望。Abstract: Transition metal perovskite materials hold broad prospects for applications in fields such as information technology, energy, and catalysis due to their flexible and diverse crystal structures and rich variety of physical properties. However, the types of transition metal perovskite materials synthesized under conventional conditions are limited. High pressure, as a unique experimental approach, can significantly manipulate atomic distances and elemental configurations in materials. This method offers substantial advantages in synthesizing novel perovskite materials and can induce novel physical properties such as ferroelectricity, magnetism, superconductivity, metal-insulator transition, charge transfer and charge disproportionation by altering electronic structures. In this paper, the preparation of extreme high-pressure materials and high-pressure in-situ measurement techniques, as well as their applications in the synthesis and physical properties control of several types of transition metal perovskite materials are reviewed.
-
图 1 高压高温合成装置:(a) 活塞圆筒型压机[25],( b) 六面顶压机[29] ,(c) Kawai型二级增压装置[36](F为外部压力),(d) Walker型二级增压装置[37] (U为活塞压力),(e) DIA型二级增压装置[38]
Figure 1. High-pressure and high-temperature apparatus: (a) piston-cylinder press[25]; (b) cubic press[29]; (c) Kawai-type muti-anvil module[36] (F being outer force); (d) Walker-type muti-anvil module[37] (U being piston pressure); (c) DIA-type muti-anvil module[38]
图 2 高压原位测量装置:(a) 活塞圆筒压腔[42] ,(b) 立方体压腔[45],(c) 用于电学测量的金刚石对顶砧[47],(d) 用于单晶X射线衍射测量的金刚石对顶砧[47]
Figure 2. In-situ high-pressure measurement devices: (a) piston-cylinder cell[42]; (b) cubic anvil cell [45]; (c) diamond anvil cell for electrical measurements[47]; (d) diamond anvil cell for single crystal X-ray diffraction measurements[47]
图 3
1000 t Walker型二级增压装置及校压结果:(a) 6.0 mm切角二级压砧ZnTe的压力-电阻曲线, (b) 2.5 mm切角二级压砧GaAs的压力-电阻曲线,(c) 6.0 mm切角二级压砧校压结果,(d) 2.5 mm切角二级压砧校压结果Figure 3. Pressure calibration of
1000 t Walker-type apparatus: (a) ZnTe resistivity-pressure curve using 6.0 mm edge lengthsecond stage anvil; (b) GaAs resistivity-pressure curve using 2.5 mm edge length second stage anvil; (c) pressure calibration result using 6.0 mm edge length second stage anvil; (d) pressure calibration result using 2.5 mm edge length second stage anvil图 6 (a) PbVO3的结构畸变和轨道杂化[70],(b) PbCrO3的复杂晶体结构[71] (其中,黄球为Pb离子,其大小表示填充率高低;紫球为Cr离子;红球为O离子 ),(c) PbMnO3的电荷歧化[75]
Figure 6. (a) Structural distortion and orbital hybridization of PbVO3[70]; (b) complex crystal structure of PbCrO3[71] (Yellow ball is Pb ions, the size of which indicates the filling ratio; purple ball is Cr ions and red ball is O ions.); (c) charge disproportionation of PbMnO3[75]
图 8 (a) ARuO3体系晶体结构示意图[85],(b) ARuO3体系粉末X射线衍射精修结果[85],(c) BaRuO3的物性测试结果[85],(d) Ca/Ba掺杂的SrRuO3体系的结构和物性总结[85](TG为Griffiths相温度,O代表正交结构,T代表四方结构,C代表立方结构)
Figure 8. (a) Crystal structure of ARuO3 system[85] ; (b) powder XRD refinement result of ARuO3 system[85]; (c) physical properties of BaRuO3[85]; (d) summary of crystal structure and physical properties of Ca/Ba doped SrRuO3 system[85] (TG is Griffiths phase temperature, O stands for orthorhombic structure, T stands for tetragonal structure and C stands for cubic structure.)
图 9 (a) BaIrO3随着压力升高发生的结构转变[91],(b) 不同结构的BaIrO3的物性演变[91],(c) BaIrO3的电阻率及磁化率随温度的变化曲线[91],(d) 不同结构BaIrO3和BaRuO3的磁性[91]
Figure 9. (a) Structural transition of BaIrO3 with increasing pressure[91]; (b) evolution of physical properties of BaIrO3 with various structures[91]; (c) temperature dependent resistivity and magnetic susceptibility of BaIrO3[91]; (d) magnetic susceptibility of BaIrO3 and BaRuO3 polytypes[91]
图 10 (a) NaBF3(B = Mg, Co, Ni, Zn)体系八面体倾角Φ随压力的变化[97] ,(b) NaCoF3的原位高压XRD谱,(c) NaNiF3的原位高压XRD结果[97](a、b、c为晶格常数)
Figure 10. (a) Pressure dependent of octahedral tilt angle Φ of NaBF3 (B = Mg, Co, Ni, Zn) system[97]; (b) in-situ high pressure XRD patterns of NaCoF3; (c) in-situ high pressure XRD results of NaNiF3[97] (a, b, and c are lattice constants.)
图 12 ACu3Fe4O12体系的新奇物性:(a) CaCu3Fe4O12在高压下的复杂价态和物性转变[111],(b) SrCu3Fe4O12的新奇离子价态[115],(c) LaCu3Fe4O12的巨大负热膨胀系数[116]
Figure 12. Novel physical properties of ACu3Fe4O12 system: (a) complex transition of valence state and physical properties of CaCu3Fe4O12 with increasing pressure[111]; (b) strange ironic valence state in LaCu3Fe4O12[115]; (c) giant negative thermal expansion coefficient of SrCu3Fe4O12[116]
-
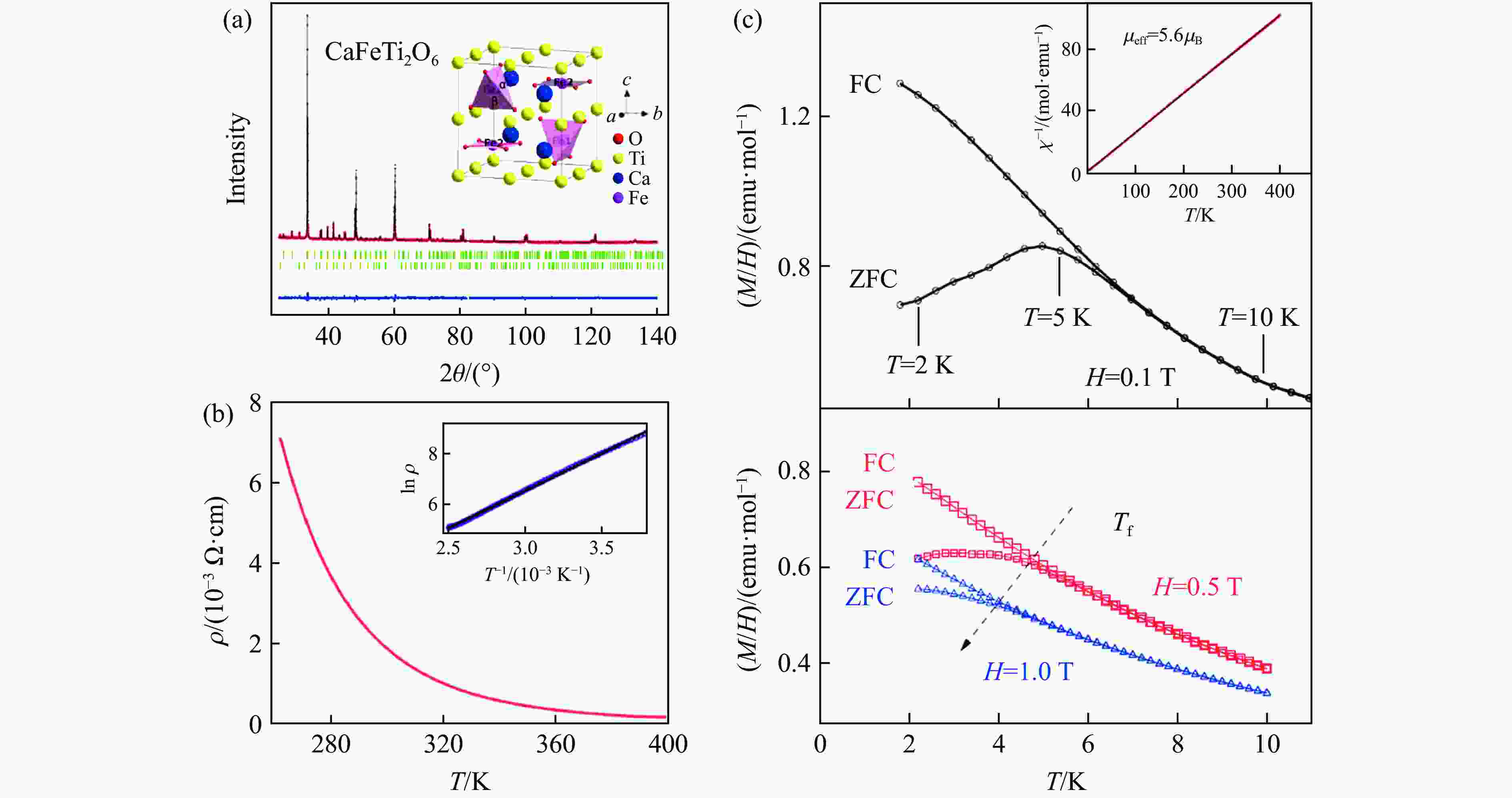
[1] YASHIMA M, ALI R. Structural phase transition and octahedral tilting in the calcium titanate perovskite CaTiO3 [J]. Solid State Ionics, 2009, 180(2/3): 120–126. [2] YANG Y, SUN Y B, JIANG Y S. Structure and photocatalytic property of perovskite and perovskite-related compounds [J]. Materials Chemistry and Physics, 2006, 96(2/3): 234–239. [3] KAY H F, BAILEY P C. Structure and properties of CaTiO3 [J]. Acta Crystallographica, 1957, 10(3): 219–226. doi: 10.1107/S0365110X57000675 [4] ALI R, YASHIMA M. Space group and crystal structure of the perovskite CaTiO3 from 296 to 1 720 K [J]. Journal of Solid State Chemistry, 2005, 178(9): 2867–2872. doi: 10.1016/j.jssc.2005.06.027 [5] PHUNG N, FÉLIX R, MEGGIOLARO D, et al. The doping mechanism of halide perovskite unveiled by alkaline earth metals [J]. Journal of the American Chemical Society, 2020, 142(5): 2364–2374. doi: 10.1021/jacs.9b11637 [6] PAZOKI M, JACOBSSON T J, HAGFELDT A, et al. Effect of metal cation replacement on the electronic structure of metalorganic halide perovskites: replacement of lead with alkaline-earth metals [J]. Physical Review B, 2016, 93(14): 144105. doi: 10.1103/PhysRevB.93.144105 [7] DIMESSO L, DAS C, MAYER T, et al. Investigation of earth-alkaline (EA=Mg, Ca, Sr) containing methylammonium tin iodide perovskite systems [J]. Journal of Materials Science, 2018, 53(1): 356–368. doi: 10.1007/s10853-017-1545-0 [8] BROUS J, FANKUCHEN I, BANKS E. Rare earth titanates with a perovskite structure [J]. Acta Crystallographica, 1953, 6(1): 67–70. doi: 10.1107/S0365110X53000156 [9] YUAN L, HUANG K K, WANG S, et al. Crystal shape tailoring in perovskite structure rare-earth ferrites REFeO3 (RE=La, Pr, Sm, Dy, Er, and Y) and shape-dependent magnetic properties of YFeO3 [J]. Crystal Growth & Design, 2016, 16(11): 6522–6530. [10] SARKAR A, DJENADIC R, WANG D, et al. Rare earth and transition metal based entropy stabilised perovskite type oxides [J]. Journal of the European Ceramic Society, 2018, 38(5): 2318–2327. [11] ARIMA T, TOKURA Y, TORRANCE J B. Variation of optical gaps in perovskite-type 3d transition-metal oxides [J]. Physical Review B, 1993, 48(23): 17006–17009. doi: 10.1103/PhysRevB.48.17006 [12] TERAKURA K. Magnetism, orbital ordering and lattice distortion in perovskite transition-metal oxides [J]. Progress in Materials Science, 2007, 52(2/3): 388–400. [13] YAKEL H L. On the structures of some compounds of the perovskite type [J]. Acta Crystallographica, 1955, 8(7): 394–398. doi: 10.1107/S0365110X55001291 [14] SNAITH H J. Present status and future prospects of perovskite photovoltaics [J]. Nature Materials, 2018, 17(5): 372–376. doi: 10.1038/s41563-018-0071-z [15] ZHU H W, TEALE S, LINTANGPRADIPTO M N, et al. Long-term operating stability in perovskite photovoltaics [J]. Nature Reviews Materials, 2023, 8(9): 569–586. doi: 10.1038/s41578-023-00582-w [16] TAILOR N K, ABDI-JALEBI M, GUPTA V, et al. Recent progress in morphology optimization in perovskite solar cell [J]. Journal of Materials Chemistry A, 2020, 8(41): 21356–21386. doi: 10.1039/D0TA00143K [17] MOHAMAD NOH M F, TEH C H, DAIK R, et al. The architecture of the electron transport layer for a perovskite solar cell [J]. Journal of Materials Chemistry C, 2018, 6(4): 682–712. [18] IM J H, LUO J S, FRANCKEVIČIUS M, et al. Nanowire perovskite solar cell [J]. Nano Letters, 2015, 15(3): 2120–2126. doi: 10.1021/acs.nanolett.5b00046 [19] BIAN Z F, WANG Z G, JIANG B, et al. A review on perovskite catalysts for reforming of methane to hydrogen production [J]. Renewable and Sustainable Energy Reviews, 2020, 134: 110291. [20] LI H H, YU J Y, GONG Y S, et al. Perovskite catalysts with different dimensionalities for environmental and energy applications: a review [J]. Separation and Purification Technology, 2023, 307: 122716. doi: 10.1016/j.seppur.2022.122716 [21] MISONO M. Recent progress in the practical applications of heteropolyacid and perovskite catalysts: catalytic technology for the sustainable society [J]. Catalysis Today, 2009, 144(3/4): 285–291. [22] ZHANG C, SUN D, SHENG C X, et al. Magnetic field effects in hybrid perovskite devices [J]. Nature Physics, 2015, 11(5): 427–434. doi: 10.1038/nphys3277 [23] LEI Y S, CHEN Y M, ZHANG R Q, et al. A fabrication process for flexible single-crystal perovskite devices [J]. Nature, 2020, 583(7818): 790–795. doi: 10.1038/s41586-020-2526-z [24] STRANKS S D, HOYE R L Z, DI D W, et al. The physics of light emission in halide perovskite devices [J]. Advanced Materials, 2019, 31(47): 1803336. [25] MIRWALD P W, GETTING I C, KENNEDY G C. Low-friction cell for piston-cylinder high-pressure apparatus [J]. Journal of Geophysical Research, 1975, 80(11): 1519–1525. doi: 10.1029/JB080i011p01519 [26] KENDALL D P, DEMBOWSKI P V, DAVIDSON T E. New device for generating ultra-high pressure [J]. Review of Scientific Instruments, 1975, 46(5): 629–632. doi: 10.1063/1.1134277 [27] DOBSON D P, MECKLENBURGH J, ALFE D, et al. A new belt-type apparatus for neutron-based rheological measurements at gigapascal pressures [J]. High Pressure Research, 2005, 25(2): 107–118. doi: 10.1080/08957950500143500 [28] HALL H T. Ultrahigh-pressure research: at ultrahigh pressures new and sometimes unexpected chemical and physical events occur [J]. Science, 1958, 128(3322): 445–449. doi: 10.1126/science.128.3322.445 [29] LIU X, CHEN J L, TANG J J, et al. A large volume cubic press with a pressure-generating capability up to about 10 GPa [J]. High Pressure Research, 2012, 32(2): 239–254. [30] LIEBERMANN R C. Multi-anvil, high pressure apparatus: a half-century of development and progress [J]. High Pressure Research, 2011, 31(4): 493–532. doi: 10.1080/08957959.2011.618698 [31] AZUMA M, HOJO H, OKA K, et al. Functional transition metal perovskite oxides with 6s2 lone pair activity stabilized by high-pressure synthesis [J]. Annual Review of Materials Research, 2021, 51: 329–349. doi: 10.1146/annurev-matsci-080819-011831 [32] BELIK A A, YI W. High-pressure synthesis, crystal chemistry and physics of perovskites with small cations at the A site [J]. Journal of Physics: Condensed Matter, 2014, 26(16): 163201. doi: 10.1088/0953-8984/26/16/163201 [33] GUIGNARD J, PRAKASAM M, LARGETEAU A. A review of binderless polycrystalline diamonds: focus on the high-pressure-high-temperature sintering process [J]. Materials, 2022, 15(6): 2198. doi: 10.3390/ma15062198 [34] LYSAKOVSKYI V V, NOVIKOV N V, IVAKHNENKO S A, et al. Growth of structurally perfect diamond single crystals at high pressures and temperatures. review [J]. Journal of Superhard Materials, 2018, 40(5): 315–324. doi: 10.3103/S1063457618050039 [35] LE GODEC Y, COURAC A, SOLOZHENKO V L. High-pressure synthesis of superhard and ultrahard materials [J]. Journal of Applied Physics, 2019, 126(15): 151102. doi: 10.1063/1.5111321 [36] SHATSKIY A, KATSURA T, LITASOV K D, et al. High pressure generation using scaled-up Kawai-cell [J]. Physics of the Earth and Planetary Interiors, 2011, 189(1/2): 92–108. [37] WALKER D. Lubrication, gasketing, and precision in multianvil experiments [J]. American Mineralogist, 1991, 76(7/8): 1092–1100. [38] WANG Y B, DURHAM W B, GETTING I C, et al. The deformation-DIA: a new apparatus for high temperature triaxial deformation to pressures up to 15 GPa [J]. Review of Scientific Instruments, 2003, 74(6): 3002–3011. doi: 10.1063/1.1570948 [39] TANGE Y, IRIFUNE T, FUNAKOSHI K I. Pressure generation to 80 GPa using multianvil apparatus with sintered diamond anvils [J]. High Pressure Research, 2008, 28(3): 245–254. doi: 10.1080/08957950802208936 [40] ISHII T, YAMAZAKI D, TSUJINO N, et al. Pressure generation to 65 GPa in a Kawai-type multi-anvil apparatus with tungsten carbide anvils [J]. High Pressure Research, 2017, 37(4): 507–515. doi: 10.1080/08957959.2017.1375491 [41] ISHII T, LIU Z D, KATSURA T. A breakthrough in pressure generation by a Kawai-type multi-anvil apparatus with tungsten carbide anvils [J]. Engineering, 2019, 5(3): 434–440. doi: 10.1016/j.eng.2019.01.013 [42] WALKER I R. Nonmagnetic piston–cylinder pressure cell for use at 35 kbar and above [J]. Review of Scientific Instruments, 1999, 70(8): 3402–3412. doi: 10.1063/1.1149927 [43] KOYAMA-NAKAZAWA K, KOEDA M, HEDO M, et al. In situ pressure calibration for piston cylinder cells via ruby fluorescence with fiber optics [J]. Review of Scientific Instruments, 2007, 78(6): 066109. doi: 10.1063/1.2749451 [44] NAUMOV P, GUPTA R, BARTKOWIAK M, et al. Optical setup for a piston-cylinder pressure cell: a two-volume approach [J]. Physical Review Applied, 2022, 17(2): 024065. doi: 10.1103/PhysRevApplied.17.024065 [45] MORI N, TAKAHASHI H, TAKESHITA N. Low-temperature and high-pressure apparatus developed at ISSP, University of Tokyo [J]. High Pressure Research, 2004, 24(1): 225–232. [46] CHENG J G, WANG B S, SUN J P, et al. Cubic anvil cell apparatus for high-pressure and low-temperature physical property measurements [J]. Chinese Physics B, 2018, 27(7): 077403. doi: 10.1088/1674-1056/27/7/077403 [47] JAYARAMAN A. Diamond anvil cell and high-pressure physical investigations [J]. Reviews of Modern Physics, 1983, 55(1): 65–108. doi: 10.1103/RevModPhys.55.65 [48] O’BANNON III E F, JENEI Z, CYNN H, et al. Contributed review: culet diameter and the achievable pressure of a diamond anvil cell: implications for the upper pressure limit of a diamond anvil cell [J]. Review of Scientific Instruments, 2018, 89(11): 111501. [49] SHEN G Y, MAO H K. High-pressure studies with X-rays using diamond anvil cells [J]. Reports on Progress in Physics, 2017, 80(1): 016101. doi: 10.1088/1361-6633/80/1/016101 [50] MACHAVARIANI G Y, PASTERNAK M P, HEARNE G R, et al. A multipurpose miniature piston-cylinder diamond-anvil cell for pressures beyond 100 GPa [J]. Review of Scientific Instruments, 1998, 69(3): 1423–1425. doi: 10.1063/1.1148775 [51] GE Y F, YOU C, WANG X L, et al. Pressure calibration method of 28 GPa for large-volume press [J]. Chinese Journal of High Pressure Physics, 2024, 38(3): 030201. [52] MEGAW H D, DARLINGTON C N W. Geometrical and structural relations in the rhombohedral perovskites [J]. Acta Crystallographica Section A, 1975, 31(2): 161–173. doi: 10.1107/S0567739475000332 [53] WOODWARD P M. Octahedral tilting in perovskites. Ⅰ. geometrical considerations [J]. Acta Crystallographica Section B, 1997, 53(1): 32–43. doi: 10.1107/S0108768196010713 [54] ZHANG H, LI N, LI K Y, et al. Structural stability and formability of ABO3-type perovskite compounds [J]. Acta Crystallographica Section B, 2007, 63(6): 812–818. doi: 10.1107/S0108768107046174 [55] ISLAM M A, RONDINELLI J M, SPANIER J E. Normal mode determination of perovskite crystal structures with octahedral rotations: theory and applications [J]. Journal of Physics: Condensed Matter, 2013, 25(17): 175902. doi: 10.1088/0953-8984/25/17/175902 [56] TIDROW S C. Mapping comparison of goldschmidt’s tolerance factor with perovskite structural conditions [J]. Ferroelectrics, 2014, 470(1): 13–27. doi: 10.1080/00150193.2014.922372 [57] RAWAL R, MCQUEEN A J, GILLIE L J, et al. Influence of octahedral tilting on the microwave dielectric properties of A3LaNb3O12 hexagonal perovskites (A=Ba, Sr) [J]. Applied Physics Letters, 2009, 94(19): 192904. doi: 10.1063/1.3129867 [58] SUN H L, HUO M W, HU X W, et al. Signatures of superconductivity near 80 K in a nickelate under high pressure [J]. Nature, 2023, 621(7979): 493–498. doi: 10.1038/s41586-023-06408-7 [59] YANG J G, SUN H L, HU X W, et al. Orbital-dependent electron correlation in double-layer nickelate La3Ni2O7 [J]. Nature Communications, 2024, 15(1): 4373. doi: 10.1038/s41467-024-48701-7 [60] DONG Z H, HUO M W, LI J, et al. Visualization of oxygen vacancies and self-doped ligand holes in La3Ni2O7− δ [J]. Nature, 2024, 630(8018): 847–852. doi: 10.1038/s41586-024-07482-1 [61] WANG X Y, TIAN H, LI X, et al. Pressure-induced topological phase transition and large rashba effect in halide double perovskite [J]. The Journal of Physical Chemistry Letters, 2024, 15(5): 1477–1483. doi: 10.1021/acs.jpclett.3c03432 [62] ZHANG H B, HUANG H Q, HAULE K, et al. Quantum anomalous Hall phase in (001) double-perovskite monolayers via intersite spin-orbit coupling [J]. Physical Review B, 2014, 90(16): 165143. doi: 10.1103/PhysRevB.90.165143 [63] ZHANG X W, ABDALLA L B, LIU Q H, et al. The enabling electronic motif for topological insulation in ABO3 perovskites [J]. Advanced Functional Materials, 2017, 27(37): 1701266. doi: 10.1002/adfm.201701266 [64] BHATTI H S, HUSSAIN S T, KHAN F A, et al. Synthesis and induced multiferroicity of perovskite PbTiO3: a review [J]. Applied Surface Science, 2016, 367: 291–306. doi: 10.1016/j.apsusc.2016.01.164 [65] COHEN R E, KRAKAUER H. Electronic structure studies of the differences in ferroelectric behavior of BaTiO3 and PbTiO3 [J]. Ferroelectrics, 1992, 136(1): 65–83. [66] BHIDE V G, DESHMUKH K G, HEGDE M S. Ferroelectric properties of PbTiO3 [J]. Physica, 1962, 28(9): 871–876. doi: 10.1016/0031-8914(62)90075-7 [67] SHPANCHENKO R V, CHERNAYA V V, TSIRLIN A A, et al. Synthesis, structure, and properties of new perovskite PbVO3 [J]. Chemistry of Materials, 2004, 16(17): 3267–3273. doi: 10.1021/cm049310x [68] YAMAMOTO H, IMAI T, SAKAI Y, et al. Colossal negative thermal expansion in electron-doped PbVO3 perovskites [J]. Angewandte Chemie International Edition, 2018, 57(27): 8170–8173. [69] OKA K, YAMAUCHI T, KANUNGO S, et al. Experimental and theoretical studies of the metallic conductivity in cubic PbVO3 under high pressure [J]. Journal of the Physical Society of Japan, 2018, 87(2): 024801. [70] OKA K, YAMADA I, AZUMA M, et al. Magnetic ground-state of perovskite PbVO3 with large tetragonal distortion [J]. Inorganic Chemistry, 2008, 47(16): 7355–7359. [71] ARÉVALO-LÓPEZ Á M, ALARIO-FRANCO M Á. On the structure and microstructure of “PbCrO3” [J]. Journal of Solid State Chemistry, 2007, 180(11): 3271–3279. doi: 10.1016/j.jssc.2007.09.017 [72] XIAO W S, TAN D Y, XIONG X L, et al. Large volume collapse observed in the phase transition in cubic PbCrO3 perovskite [J]. Proceedings of the National Academy of Sciences of the United States of America, 2010, 107(32): 14026–14029. [73] AREVALO-LOPEZ A M, DOS SANTOS-GARCIA A J, ALARIO-FRANCO M A. Antiferromagnetism and spin reorientation in “PbCrO3” [J]. Inorganic Chemistry, 2009, 48(12): 5434–5438. doi: 10.1021/ic900423w [74] ZHAO J F, HAW S C, WANG X, et al. Stability of the Pb divalent state in insulating and metallic PbCrO3 [J]. Physical Review B, 2023, 107(2): 024107. [75] LI X, HU Z W, CHO Y, et al. Charge disproportionation and complex magnetism in a PbMnO3 perovskite synthesized under high pressure [J]. Chemistry of Materials, 2021, 33(1): 92–101. doi: 10.1021/acs.chemmater.0c02706 [76] TSUCHIYA T, SAITO H, YOSHIDA M, et al. High-pressure synthesis of a novel PbFeO3 [J]. MRS Online Proceedings Library, 2006, 988(1): 9880916. [77] YE X B, ZHAO J F, DAS H, et al. Observation of novel charge ordering and spin reorientation in perovskite oxide PbFeO3 [J]. Nature Communications, 2021, 12(1): 1917. doi: 10.1038/s41467-021-22064-9 [78] SAKAI Y, YANG J Y, YU R Z, et al. A-site and B-site charge orderings in an s-d level controlled perovskite oxide PbCoO3 [J]. Journal of the American Chemical Society, 2017, 139(12): 4574–4581. doi: 10.1021/jacs.7b01851 [79] LIU Z H, SAKAI Y, YANG J Y, et al. Sequential spin state transition and intermetallic charge transfer in PbCoO3 [J]. Journal of the American Chemical Society, 2020, 142(12): 5731–5741. doi: 10.1021/jacs.9b13508 [80] HARIKI A, AHN K H, KUNEŠ J. Valence skipping, internal doping, and site-selective Mott transition in PbCoO3 under pressure [J]. Physical Review B, 2021, 104(23): 235101. doi: 10.1103/PhysRevB.104.235101 [81] LOU F, LUO W, FENG J S, et al. Genetic algorithm prediction of pressure-induced multiferroicity in the perovskite PbCoO3 [J]. Physical Review B, 2019, 99(20): 205104. doi: 10.1103/PhysRevB.99.205104 [82] INAGUMA Y, TANAKA K, TSUCHIYA T, et al. Synthesis, structural transformation, thermal stability, valence state, and magnetic and electronic properties of PbNiO3 with perovskite- and LiNbO3-type structures [J]. Journal of the American Chemical Society, 2011, 133(42): 16920–16929. doi: 10.1021/ja206247j [83] HAO X F, STROPPA A, BARONE P, et al. Structural and ferroelectric transitions in magnetic nickelate PbNiO3 [J]. New Journal of Physics, 2014, 16(1): 015030. doi: 10.1088/1367-2630/16/1/015030 [84] WANG W D, WANG S M, HE D W, et al. Pressure induced phase transition of PbNiO3 from LiNbO3-type to perovskite [J]. Solid State Communications, 2014, 196: 8–12. doi: 10.1016/j.ssc.2014.06.022 [85] JIN C Q, ZHOU J S, GOODENOUGH J B, et al. High-pressure synthesis of the cubic perovskite BaRuO3 and evolution of ferromagnetism in ARuO3 (A=Ca, Sr, Ba) ruthenates [J]. Proceedings of the National Academy of Sciences of the United States of America, 2008, 105(20): 7115–7119. [86] ZHOU J S, MATSUBAYASHI K, UWATOKO Y, et al. Critical behavior of the ferromagnetic perovskite BaRuO3 [J]. Physical Review Letters, 2008, 101(7): 077206. doi: 10.1103/PhysRevLett.101.077206 [87] JENG H T, LIN S H, HSUE C S. Orbital ordering and Jahn-Teller distortion in perovskite ruthenate SrRuO3 [J]. Physical Review Letters, 2006, 97(6): 067002. doi: 10.1103/PhysRevLett.97.067002 [88] ZHONG G H, LI Y L, LIU Z, et al. Ground state properties of perovskite and post-perovskite CaRuO3: ferromagnetism reduction [J]. Solid State Sciences, 2010, 12(12): 2003–2009. doi: 10.1016/j.solidstatesciences.2010.08.017 [89] KOJITANI H, SHIRAKO Y, AKAOGI M. Post-perovskite phase transition in CaRuO3 [J]. Physics of the Earth and Planetary Interiors, 2007, 165(3/4): 127–134. [90] CHENG J G, ALONSO J A, SUARD E, et al. A new perovskite polytype in the high-pressure sequence of BaIrO3 [J]. Journal of the American Chemical Society, 2009, 131(21): 7461–7469. doi: 10.1021/ja901829e [91] CHENG J G, ISHII T, KOJITANI H, et al. High-pressure synthesis of the BaIrO3 perovskite: a Pauli paramagnetic metal with a Fermi liquid ground state [J]. Physical Review B, 2013, 88(20): 205114. doi: 10.1103/PhysRevB.88.205114 [92] KOC H, MAMEDOV A M, OZBAY E. Electronic structure of conventional slater type antiferromagnetic insulators: AIrO3 (A=Sr, Ba) perovskites [J]. Journal of Physics: Conference Series, 2022, 2315: 012033. doi: 10.1088/1742-6596/2315/1/012033 [93] ZHAO J G, YANG L X, YU Y, et al. High-pressure synthesis of orthorhombic SrIrO3 perovskite and its positive magnetoresistance [J]. Journal of Applied Physics, 2008, 103(10): 103706. doi: 10.1063/1.2908879 [94] DOBSON D P, HUNT S A, LINDSAY-SCOTT A, et al. Towards better analogues for MgSiO3 post-perovskite: NaCoF3 and NaNiF3, two new recoverable fluoride post-perovskites [J]. Physics of the Earth and Planetary Interiors, 2011, 189(3/4): 171–175. [95] SHIRAKO Y, SHI Y G, AIMI A, et al. High-pressure stability relations, crystal structures, and physical properties of perovskite and post-perovskite of NaNiF3 [J]. Journal of Solid State Chemistry, 2012, 191: 167–174. doi: 10.1016/j.jssc.2012.03.004 [96] LINDSAY-SCOTT A, DOBSON D, NESTOLA F, et al. Time-of-flight neutron powder diffraction with milligram samples: the crystal structures of NaCoF3 and NaNiF3 post-perovskites [J]. Journal of Applied Crystallography, 2014, 47(6): 1939–1947. doi: 10.1107/S1600576714021803 [97] YUSA H, SHIRAKO Y, AKAOGI M, et al. Perovskite-to-postperovskite transitions in NaNiF3 and NaCoF3 and disproportionation of NaCoF3 postperovskite under high pressure and high temperature [J]. Inorganic Chemistry, 2012, 51(12): 6559–6566. doi: 10.1021/ic300118d [98] GARCIA-CASTRO A C, SPALDIN N A, ROMERO A H, et al. Geometric ferroelectricity in fluoroperovskites [J]. Physical Review B, 2014, 89(10): 104107. doi: 10.1103/PhysRevB.89.104107 [99] AKAOGI M, SHIRAKO Y, KOJITANI H, et al. High-pressure transitions in NaZnF3 and NaMnF3 perovskites, and crystal-chemical characteristics of perovskite-postperovskite transitions in ABX3 fluorides and oxides [J]. Physics of the Earth and Planetary Interiors, 2014, 228: 160–169. doi: 10.1016/j.pepi.2013.09.001 [100] FUCHS S, DEY T, ASLAN-CANSEVER G, et al. Unraveling the nature of magnetism of the 5d4 double perovskite Ba2YIrO6 [J]. Physical Review Letters, 2018, 120(23): 237204. doi: 10.1103/PhysRevLett.120.237204 [101] PRAMANICK A, DMOWSKI W, EGAMI T, et al. Stabilization of polar nanoregions in Pb-free ferroelectrics [J]. Physical Review Letters, 2018, 120(20): 207603. doi: 10.1103/PhysRevLett.120.207603 [102] YADA H, IJIRI Y, UEMURA H, et al. Enhancement of photoinduced charge-order melting via anisotropy control by double-pulse excitation in perovskite manganites: Pr0.6Ca0.4MnO3 [J]. Physical Review Letters, 2016, 116(7): 076402. doi: 10.1103/PhysRevLett.116.076402 [103] LI X, XU W M, MCGUIRE M A, et al. Spin freezing into a disordered state in CaFeTi2O6 synthesized under high pressure [J]. Physical Review B, 2018, 98(6): 064201. doi: 10.1103/PhysRevB.98.064201 [104] LEINENWEBER K, PARISE J. High-pressure synthesis and crystal structure of CaFeTi2O6, a new perovskite structure type [J]. Journal of Solid State Chemistry, 1995, 114(1): 277–281. doi: 10.1006/jssc.1995.1040 [105] KOBAYASHI K I, KIMURA T, SAWADA H, et al. Room-temperature magnetoresistance in an oxide material with an ordered double-perovskite structure [J]. Nature, 1998, 395(6703): 677–680. doi: 10.1038/27167 [106] MENEGHINI C, RAY S, LISCIO F, et al. Nature of “Disorder” in the ordered double perovskite Sr2FeMoO6 [J]. Physical Review Letters, 2009, 103(4): 046403. doi: 10.1103/PhysRevLett.103.046403 [107] RAY S, KUMAR A, SARMA D D, et al. Electronic and magnetic structures of Sr2FeMoO6 [J]. Physical Review Letters, 2001, 87(9): 097204. doi: 10.1103/PhysRevLett.87.097204 [108] RETUERTO M, MARTÍNEZ-LOPE M J, GARCÍA-HERNÁNDEZ M, et al. High-pressure synthesis of the double perovskite Sr2FeMoO6: increment of the cationic ordering and enhanced magnetic properties [J]. Journal of Physics: Condensed Matter, 2009, 21(18): 186003. doi: 10.1088/0953-8984/21/18/186003 [109] LENG K, TANG Q K, WU Z W, et al. Double perovskite Sr2FeReO6 oxides: structural, dielectric, magnetic, electrical, and optical properties [J]. Journal of the American Ceramic Society, 2022, 105(6): 4097–4107. doi: 10.1111/jace.18367 [110] RETUERTO M, MARTÍNEZ-LOPE M J, GARCÍA-HERNÁNDEZ M, et al. Curie temperature enhancement in partially disordered Sr2FeReO6 double perovskites [J]. Materials Research Bulletin, 2009, 44(6): 1261–1264. doi: 10.1016/j.materresbull.2009.01.018 [111] KAWAKAMI T, SEKIYA Y, MIMURA A, et al. Two-step suppression of charge disproportionation in CaCu3Fe4O12 under high pressure [J]. Journal of the Physical Society of Japan, 2016, 85(3): 034716. doi: 10.7566/JPSJ.85.034716 [112] HAO X F, XU Y H, GAO F M, et al. Charge disproportionation in CaCu3Fe4O12 [J]. Physical Review B, 2009, 79(11): 113101. doi: 10.1103/PhysRevB.79.113101 [113] YAMADA I, MURAKAMI M, HAYASHI N, et al. Inverse charge transfer in the quadruple perovskite CaCu3Fe4O12 [J]. Inorganic Chemistry, 2016, 55(4): 1715–1719. doi: 10.1021/acs.inorgchem.5b02623 [114] BUITRAGO I R, VENTURA C I, ALLUB R. Phase diagram description of the CaCu3Fe4O12 double perovskite [J]. Journal of Applied Physics, 2018, 124(4): 045103. doi: 10.1063/1.5032206 [115] LONG Y W, HAYASHI N, SAITO T, et al. Temperature-induced A-B intersite charge transfer in an A-site-ordered LaCu3Fe4O12 perovskite [J]. Nature, 2009, 458(7234): 60–63. doi: 10.1038/nature07816 [116] YAMADA I, TSUCHIDA K, OHGUSHI K, et al. Giant negative thermal expansion in the iron perovskite SrCu3Fe4O12 [J]. Angewandte Chemie International Edition, 2011, 50(29): 6579–6582. doi: 10.1002/anie.201102228 [117] YAMADA I, SHIRO K, ETANI H, et al. Valence transitions in negative thermal expansion material SrCu3Fe4O12 [J]. Inorganic Chemistry, 2014, 53(19): 10563–10569. doi: 10.1021/ic501665c [118] YAMADA I, SHIRO K, OKA K, et al. Direct observation of negative thermal expansion in SrCu3Fe4O12 [J]. Journal of the Ceramic Society of Japan, 2013, 121(1418): 912–914. doi: 10.2109/jcersj2.121.912 [119] KAWAKAMI T, MIMURA A, ISHII M, et al. Pressure-induced intersite charge transfer in SrCu3Fe4O12 [J]. Journal of the Physical Society of Japan, 2019, 88(6): 064704. doi: 10.7566/JPSJ.88.064704 [120] HOMES C C, VOGT T, SHAPIRO S M, et al. Optical response of high-dielectric-constant perovskite-related oxide [J]. Science, 2001, 293(5530): 673–676. doi: 10.1126/science.1061655 [121] KOITZSCH A, BLUMBERG G, GOZAR A, et al. Antiferromagnetism in CaCu3Ti4O12 studied by magnetic Raman spectroscopy [J]. Physical Review B, 2002, 65(5): 052406. doi: 10.1103/PhysRevB.65.052406 [122] YAN D Z, WANG J X, XIANG J W, et al. A flexoelectricity-enabled ultrahigh piezoelectric effect of a polymeric composite foam as a strain-gradient electric generator [J]. Science Advances, 2023, 9(2): eadc8845. doi: 10.1126/sciadv.adc8845 [123] MORI D, SHIMOI M, KATO Y, et al. High-pressure synthesis, structure, dielectric and magnetic properties for SrCu3Ti4O12 [J]. Ferroelectrics, 2011, 414(1): 180–189. doi: 10.1080/00150193.2011.577336 -

下载: