Study on Failure Mode and Energy Evolution of Fractured Rock Body under Triaxial Compression
-
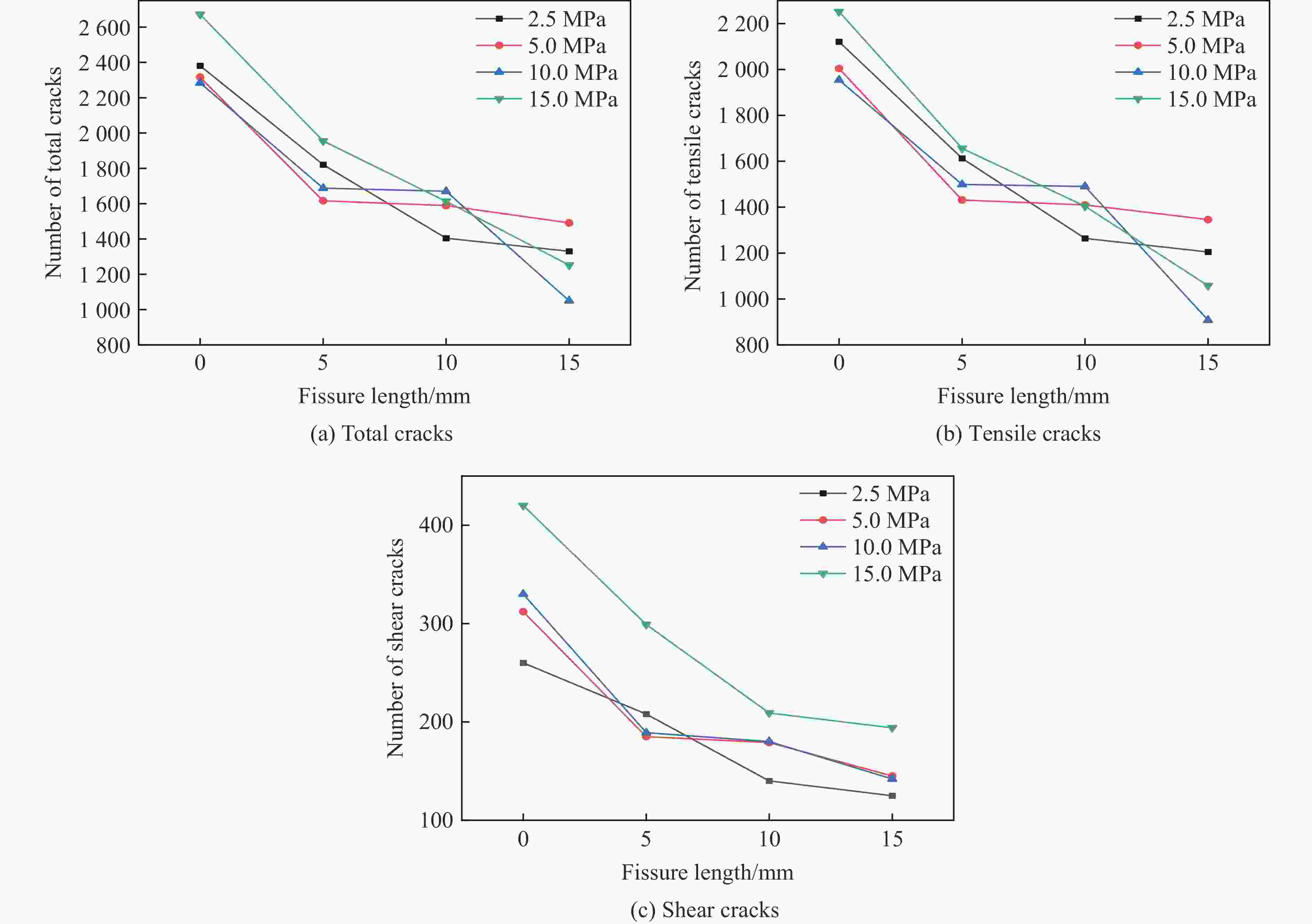
摘要: 为研究不同围压条件下含不同长度单裂隙岩体的裂纹扩展特征和能量演化规律,基于室内三轴压缩试验结果标定细观参数,开展了PFC2D颗粒流数值模拟试验。结果表明:拉伸裂纹先于剪切裂纹产生,两者呈指数增长,裂隙长度减小和围压增大使拉伸裂纹和剪切裂纹快速增长时间滞后;最终破坏时,随裂隙长度增加,拉伸裂纹和剪切裂纹减少。应力集中于裂隙两端,裂纹周围存在应力集中现象。相同围压下,裂隙长度增加,岩样破坏时块体数减少。岩体破坏本质为能量储存、耗散与释放的过程,在加载过程中,岩体能量转化被分为4个阶段。裂隙长度增加削弱岩样储存应变能的能力,总能量减少,围压增强岩样储存应变能的能力。岩样破坏时,耗散能大于应变能,随裂隙增长,耗散能减少。Abstract: To study the crack extension characteristics and energy evolution law of the rock body with different lengths of single fissure under different confining pressures, the mesoscopic parameters were calibrated by use of the indoor triaxial compression test, and the numerical simulation test of PFC2D particle flow was carried out. The results show that tensile cracks are generated before shear cracks, and both of them grow exponentially; the decrease of the fissure length and the increase of the confining pressure restrain the rapid growth of tensile and shear cracks; when the final failure occurs, the tensile and shear cracks decrease with the increase of the fissure length. The stress is concentrated at both ends of the crack, and there is stress concentration around the crack. Under the same confining pressure, the number of failure blocks of the rock sample decreases with the increment of fissure length. The nature of rock failure is the process of energy storage, dissipation and release, and the rock energy transformation is divided into four stages during the loading process. The increase in fissure length weakens the ability of the rock samples to store strain energy, the total energy decreases, and the confining pressure enhances the ability of the rock samples to store strain energy. The dissipated energy is greater than the strain energy when the rock sample fails, and the dissipated energy decreases with the fissure growth.
-
表 1 岩石PFC模型细观参数
Table 1. Mesoscopic parameters of the rock PFC model
Minimum radius of particles/mm Ratio of maximum to minimum of radius Density of the particle/
(kg·m−3)Friction coefficient Bond friction angle/(º) 0.3 1.5 2 950 0.17 40 Parallel bonding stiffness ratio Particle stiffness ratio Effective modulus of bonding/GPa Tangential bond strength/MPa Normal bond strength/MPa 1.1 1.1 11 76.6 69.6 Method Deviatoric stress/MPa Elastic modulus/MPa Indoor test[16] 144.782 17.147 Numerical simulation 144.670 17.109 Error/% 0.077 0.222 表 3 不同裂隙长度的岩样在不同围压下的接触力链演化过程
Table 3. Evolution of contact force chain of rock samples under different confining pressures and fissure lengths
L/mm Confining pressure/MPa Pre-peak period Peak value Post-peak period 0 5.0 


10.0 


5 5.0 


10.0 


10 5.0 


10.0 


表 4 不同裂隙长度岩样的峰值点能量指标
Table 4. Indexes of peak point energy of rock samples with different fissure lengths
L/mm Confining pressure/MPa Total energy/kJ Dissipated energy Energy/kJ Proportion/% 0 2.5 288.67 9.54 3.30 5.0 324.79 10.41 3.21 10.0 415.48 14.47 3.48 15.0 474.29 21.31 4.49 5 2.5 248.58 8.24 3.31 5.0 281.97 9.11 3.23 10.0 348.54 12.51 3.59 15.0 355.56 12.34 3.47 10 2.5 172.37 4.89 2.84 5.0 205.55 7.32 3.56 10.0 279.90 9.16 3.27 15.0 293.19 10.24 3.49 15 2.5 153.98 5.86 3.8 5.0 169.91 5.02 2.95 10.0 215.02 7.95 3.70 15.0 240.84 10.34 4.29 -
[1] 李泓颖, 刘晓辉, 郑钰, 等. 深埋锦屏大理岩渐进破坏过程中的特征能量分析 [J]. 岩石力学与工程学报, 2022, 41(Suppl 2): 3229–3239.LI H Y, LIU X H, ZHENG Y, et al. Analysis of characteristic energy during the progressive failure of deep-buried marble in Jinping [J]. Chinese Journal of Rock Mechanics and Engineering, 2022, 41(Suppl 2): 3229–3239. [2] 刘鹏飞, 范俊奇, 郭佳奇, 等. 三轴应力下花岗岩加载破坏的能量演化和损伤特征 [J]. 高压物理学报, 2021, 35(2): 024102. doi: 10.11858/gywlxb.20200622LIU P F, FAN J Q, GUO J Q, et al. Damage and energy evolution characteristics of granite under triaxial stress [J]. Chinese Journal of High Pressure Physics, 2021, 35(2): 024102. doi: 10.11858/gywlxb.20200622 [3] LI E B, GAO L, JIANG X Q, et al. Analysis of dynamic compression property and energy dissipation of salt rock under three-dimensional pressure [J]. Environmental Earth Sciences, 2019, 78(14): 388. doi: 10.1007/s12665-019-8389-7 [4] DU X H, XUE J H, SHI Y, et al. Triaxial mechanical behaviour and energy conversion characteristics of deep coal bodies under confining pressure [J]. Energy, 2023, 266: 126443. doi: 10.1016/j.energy.2022.126443 [5] 刘之喜, 孟祥瑞, 赵光明, 等. 真三轴压缩下砂岩的能量和损伤分析 [J]. 岩石力学与工程学报, 2023, 42(2): 327–341.LIU Z X, MENG X R, ZHAO G M, et al. Energy and damage analysis of sandstone under true triaxial compression [J]. Chinese Journal of Rock Mechanics and Engineering, 2023, 42(2): 327–341. [6] ZHANG Y, FENG X T, ZHANG X W, et al. Strain energy evolution characteristics and mechanisms of hard rocks under true triaxial compression [J]. Engineering Geology, 2019, 260: 105222. doi: 10.1016/j.enggeo.2019.105222 [7] 王星辰, 王志亮, 黄佑鹏, 等. 预制裂隙岩样宏细观力学行为颗粒流数值模拟 [J]. 水文地质工程地质, 2021, 48(4): 86–92.WANG X C, WANG Z L, HUANG Y P, et al. Particle flow simulation of macro- and meso-mechanical behavior of the prefabricated fractured rock sample [J]. Hydrogeology & Engineering Geology, 2021, 48(4): 86–92. [8] 方前程, 周科平, 刘学服. 不同围压下断续节理岩体破坏机制的颗粒流分析 [J]. 中南大学学报(自然科学版), 2014, 45(10): 3536–3543.FANG Q C, ZHOU K P, LIU X F. Failure mechanism of discontinuous joint rock mass under different confining pressures based on particle flow code [J]. Journal of Central South University (Science and Technology), 2014, 45(10): 3536–3543. [9] 黄明智, 李新平, 王刚, 等. 三轴压缩条件下单裂隙花岗岩破坏特性研究 [J]. 地下空间与工程学报, 2022, 18(4): 1208–1218.HUANG M Z, LI X P, WANG G, et al. Study on the failure characteristics of single-fissured granite under triaxial compression condition [J]. Chinese Journal of Underground Space and Engineering, 2022, 18(4): 1208–1218. [10] SONG L B, WANG G, WANG X K, et al. The influence of joint inclination and opening width on fracture characteristics of granite under triaxial compression [J]. International Journal of Geomechanics, 2022, 22(5): 04022031. doi: 10.1061/(ASCE)GM.1943-5622.0002372 [11] 陈鹏宇, 孔莹, 余宏明. 岩石单轴压缩PFC2D模型细观参数标定研究 [J]. 地下空间与工程学报, 2018, 14(5): 1240–1249.CHEN P Y, KONG Y, YU H M. Research on the calibration method of microparameters of a uniaxial compression PFC2D model for rock [J]. Chinese Journal of Underground Space and Engineering, 2018, 14(5): 1240–1249. [12] 张亮, 王桂林, 雷瑞德, 等. 单轴压缩下不同长度单裂隙岩体能量损伤演化机制 [J]. 中国公路学报, 2021, 34(1): 24–34. doi: 10.3969/j.issn.1001-7372.2021.01.003ZHANG L, WANG G L, LEI R D, et al. Energy damage evolution mechanism of single jointed rock mass with different lengths under uniaxial compression [J]. China Journal of Highway and Transport, 2021, 34(1): 24–34. doi: 10.3969/j.issn.1001-7372.2021.01.003 [13] 周杰, 汪永雄, 周元辅. 基于颗粒流的砂岩三轴破裂演化宏-细观机理 [J]. 煤炭学报, 2017, 42(Suppl 1): 76–82.ZHOU J, WANG Y X, ZHOU Y F. Macro-micro evolution mechanism on sandstone failure in triaxial compression test based on PFC2D [J]. Journal of China Coal Society, 2017, 42(Suppl 1): 76–82. [14] 龙恩林, 陈俊智. 花岗岩颗粒流模型循环压缩作用下能量特征分析 [J]. 中国安全生产科学技术, 2019, 15(10): 95–100. doi: 10.11731/j.issn.1673-193x.2019.10.015LONG E L, CHEN J Z. Analysis on energy characteristics of granite particle flow model under cyclic compression [J]. Journal of Safety Science and Technology, 2019, 15(10): 95–100. doi: 10.11731/j.issn.1673-193x.2019.10.015 [15] 李晓锋, 李海波, 夏祥, 等. 类节理岩石直剪试验力学特性的数值模拟研究 [J]. 岩土力学, 2016, 37(2): 583–591.LI X F, LI H B, XIA X, et al. Numerical simulation of mechanical characteristics of jointed rock in direct shear test [J]. Rock and Soil Mechanics, 2016, 37(2): 583–591. [16] 刘剑. 闪长岩加卸荷失稳破裂前兆信息研究 [D]. 昆明: 昆明理工大学, 2022.LIU J. Study on the precursor information of diorite plus unloading instability rupture [D]. Kunming: Kunming University of Science and Technology, 2022. [17] CHEN Z Q, HE C, MA G Y, et al. Energy damage evolution mechanism of rock and its application to brittleness evaluation [J]. Rock Mechanics and Rock Engineering, 2019, 52(4): 1265–1274. doi: 10.1007/s00603-018-1681-0 [18] WANG Q S, CHEN J X, GUO J Q, et al. Acoustic emission characteristics and energy mechanism in karst limestone failure under uniaxial and triaxial compression [J]. Bulletin of Engineering Geology and the Environment, 2019, 78(3): 1427–1442. doi: 10.1007/s10064-017-1189-y [19] YANG S Q, LIU X R, JING H W. Experimental investigation on fracture coalescence behavior of red sandstone containing two unparallel fissures under uniaxial compression [J]. International Journal of Rock Mechanics and Mining Sciences, 2013, 63: 82–92. doi: 10.1016/j.ijrmms.2013.06.008 [20] ZHANG X P, JIANG Y J, WANG G, et al. Mechanism of shear deformation, failure and energy dissipation of artificial rock joint in terms of physical and numerical consideration [J]. Geosciences Journal, 2019, 23(3): 519–529. doi: 10.1007/s12303-018-0043-y [21] FENG Q, JIN J C, ZHANG S, et al. Study on a damage model and uniaxial compression simulation method of frozen-thawed rock [J]. Rock Mechanics and Rock Engineering, 2022, 55(1): 187–211. doi: 10.1007/s00603-021-02645-2 [22] 张志镇, 高峰. 受载岩石能量演化的围压效应研究 [J]. 岩石力学与工程学报, 2015, 34(1): 1–11.ZHANG Z Z, GAO F. Confining pressure effect on rock energy [J]. Chinese Journal of Rock Mechanics and Engineering, 2015, 34(1): 1–11. -

下载: