2022年 第36卷 第1期
2022, 36(1): 012201.
doi: 10.11858/gywlxb.20210789
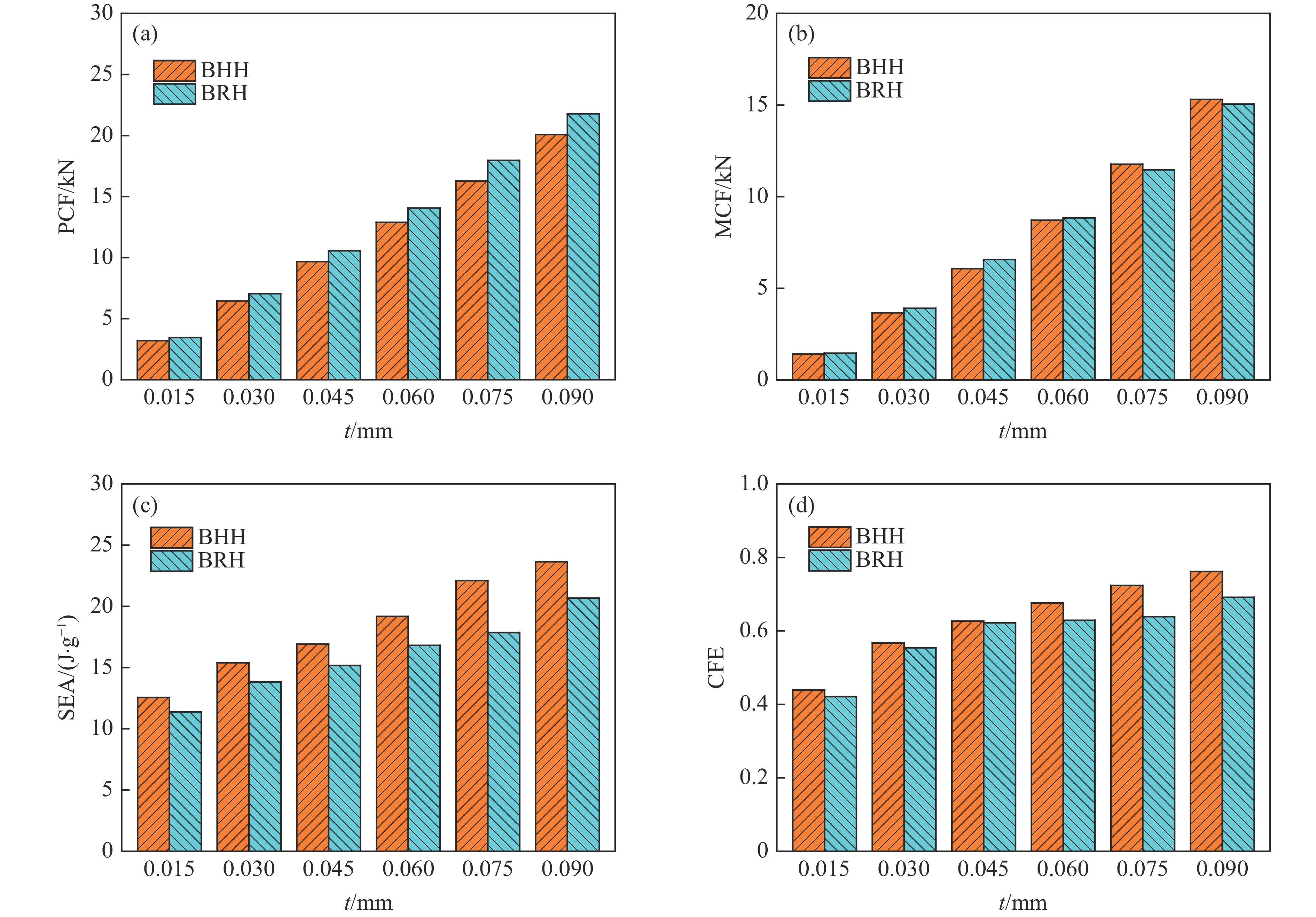
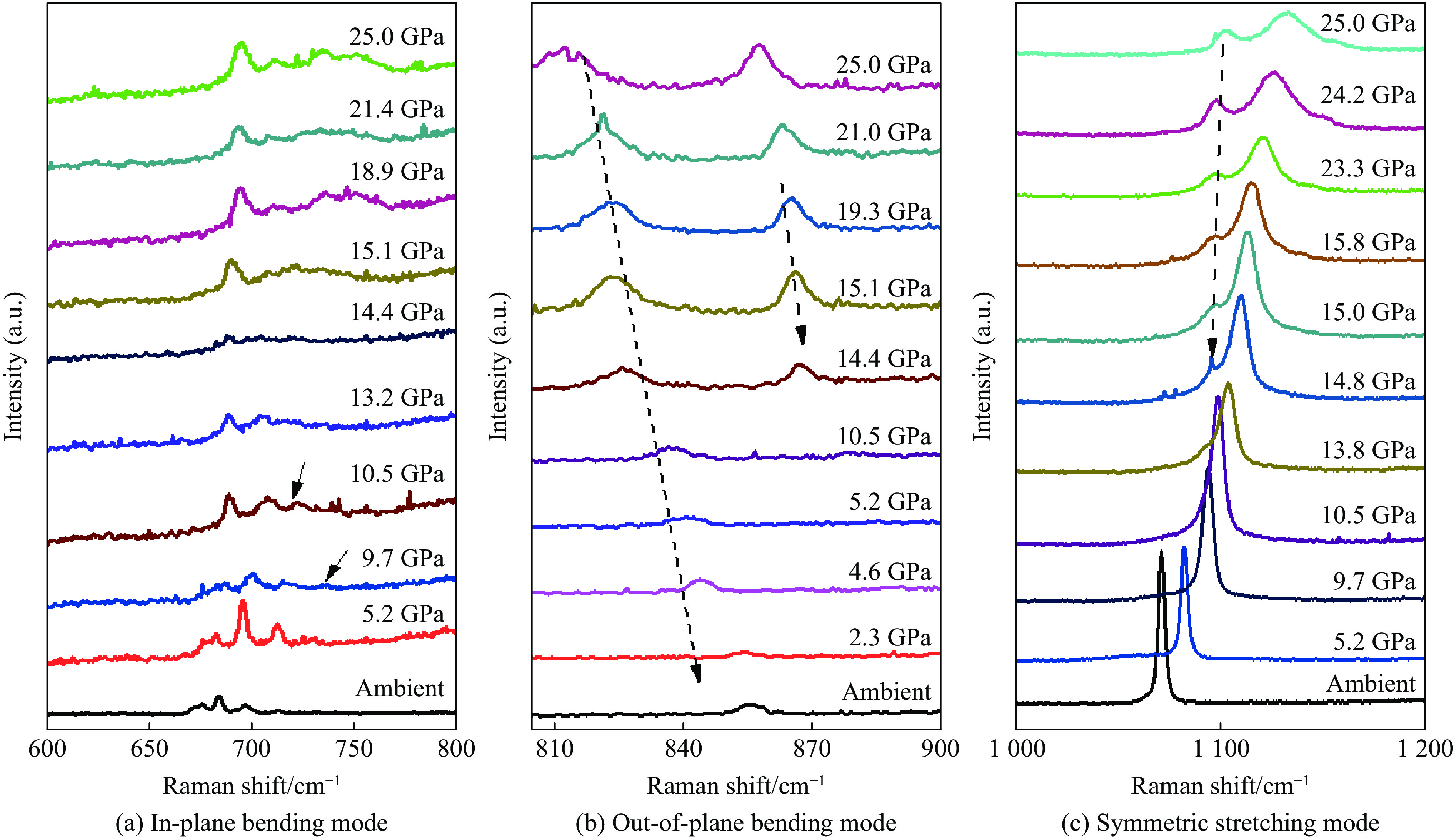
摘要:
2022, 36(1): 013301.
doi: 10.11858/gywlxb.20210802
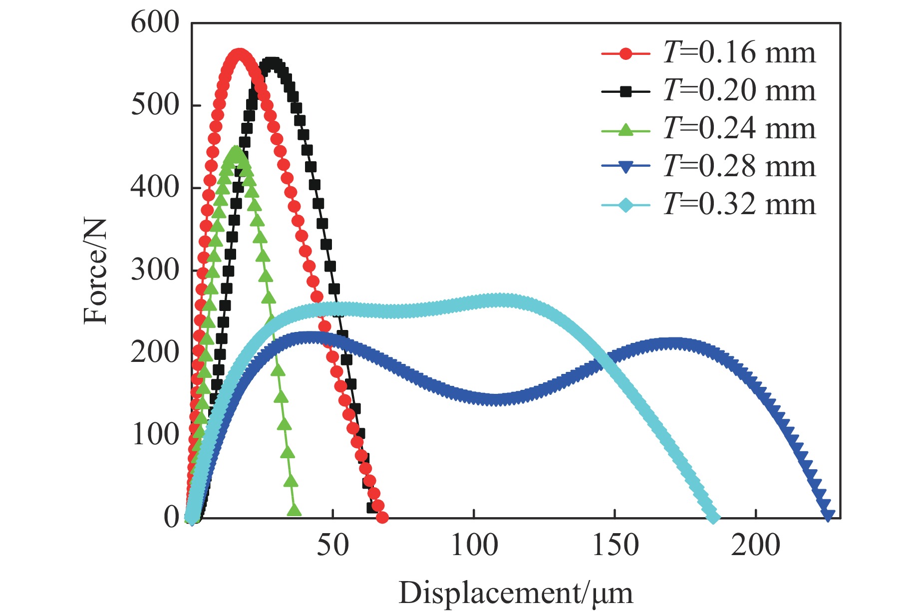
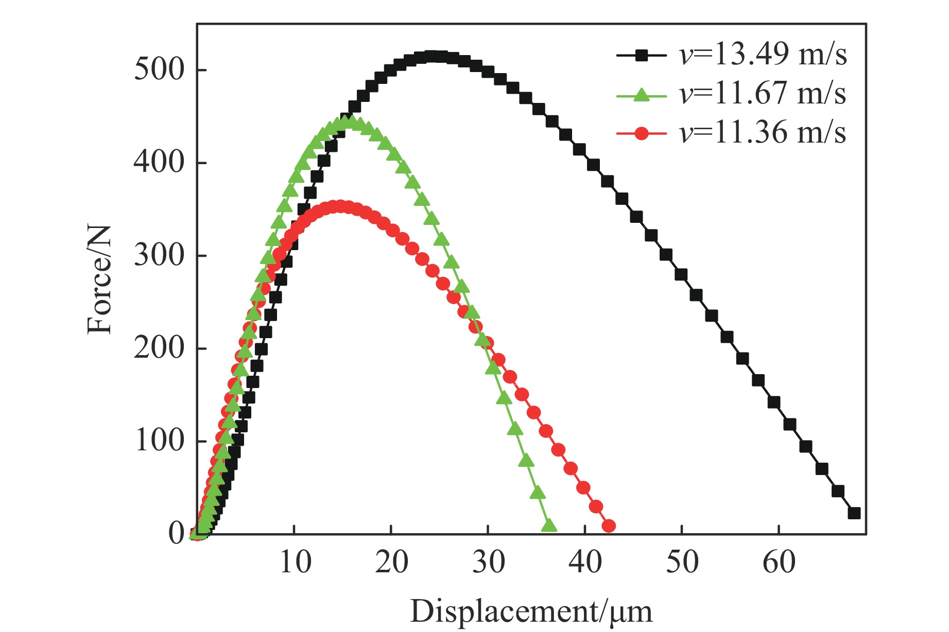
摘要:
2022, 36(1): 014101.
doi: 10.11858/gywlxb.20210776
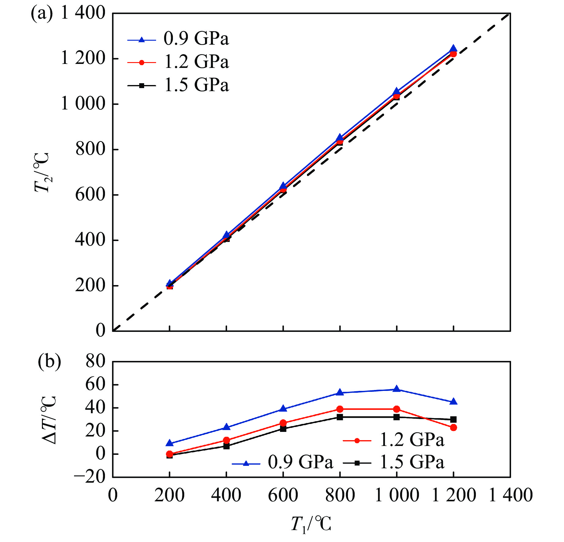
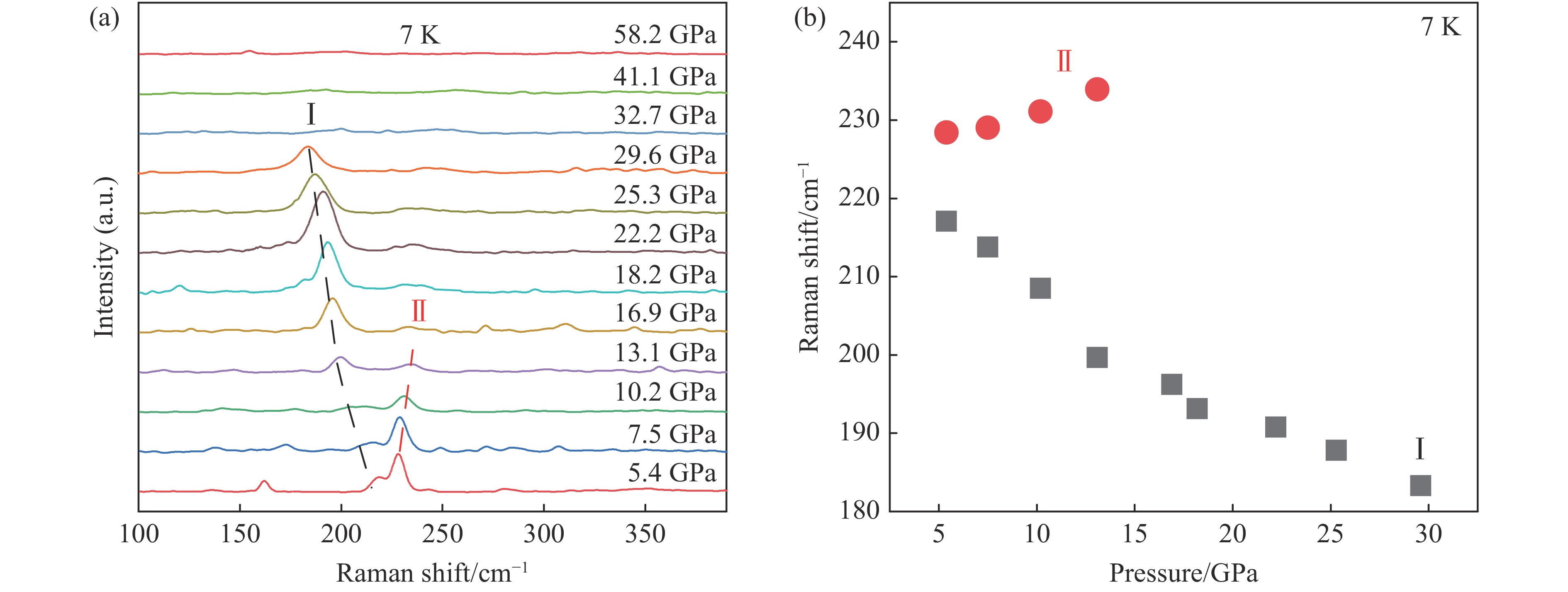
摘要:
2022, 36(1): 014102.
doi: 10.11858/gywlxb.20210806
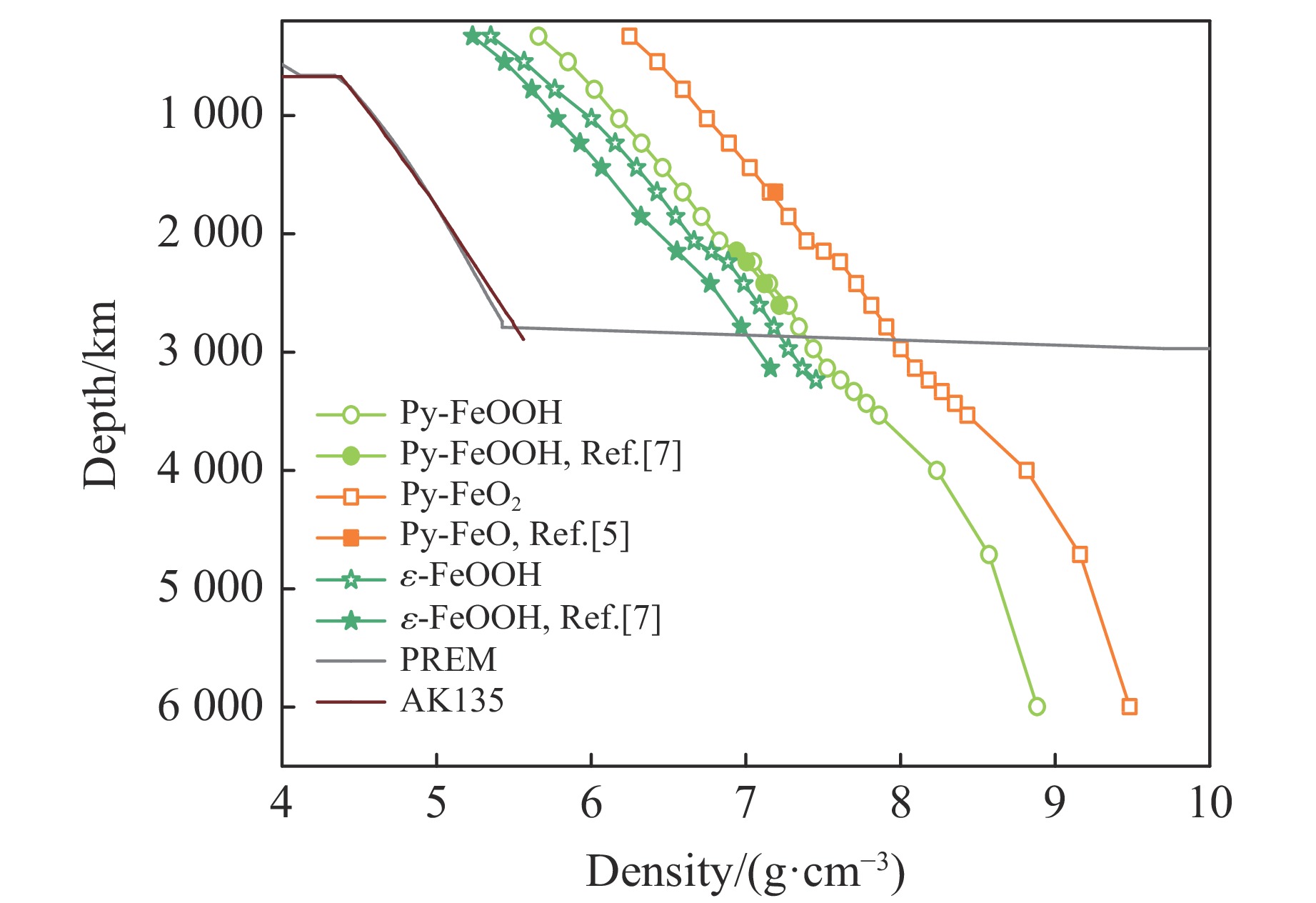
摘要:
2022, 36(1): 014103.
doi: 10.11858/gywlxb.20210877
摘要:
2022, 36(1): 015301.
doi: 10.11858/gywlxb.20210804
摘要:

阅读全文
PDF
引证文献















