Pressure and Temperature Calibrations of End-Loaded Piston-Cylinder 19 mm Outer Diameter Sample Assembly
-
摘要: 在高温高压实验中,样品所处位置的压强、温度及样品腔温度分布情况对实验结果分析十分重要,因此使用高温高压实验装置前需对所用组装进行压强和温度标定。针对双向活塞圆筒装置19 mm外径样品组装,进行了压强与温度标定。利用氯化钠(NaCl)在高压下的熔化曲线对压强进行标定,当下油缸油压出现大幅度下降时,样品腔内的NaCl发生熔化,将此时热电偶测量的温度与文献报道的NaCl在高压下的熔化曲线进行比较,确定样品腔内的实际压强。压强标定结果显示,实际压强与目标压强满足线性关系。采用双热电偶法对19 mm外径样品组装样品腔的中部和上部进行测温,发现样品腔中心温度高于样品腔上部温度,温度梯度随温度升高而增大,随压强升高而减小。在二次加压升温时,样品腔内的温度梯度高于第一次加压升温实验测量结果。所得压强和温度标定结果对今后使用19 mm外径样品组装开展高温高压实验研究具有参考价值和指导意义。Abstract: In the high-temperature and high-pressure experiments, it is essential to know the pressure and temperature of sample as well as the temperature distribution inside sample chamber. Therefore, it is necessary to calibrate the pressure and temperature of the experimental assembly before using the high-temperature and high-pressure experimental device. Here we carried out the pressure and temperature calibrations experiments on 19 mm outer diameter sample assembly of the end-loaded piston-cylinder apparatus. We calibrated the pressure of sample chamber by using the melting curve of sodium chloride (NaCl) under high pressure. When the oil pressure of the oil cylinder drops significantly, the NaCl in the sample chamber melts; according to the temperature measured by the thermocouple at this time and the comparison of the melting curve of NaCl under high pressure published by the predecessors, the real pressure in the sample chamber was determined. The pressure calibration results show that there is a linear relationship between the real pressure and the nominal pressure. The double thermocouple method was used to measure the temperature in the center and upper part of the 19 mm outer diameter sample assembly chamber. It was found that the temperature in the center of the sample chamber was higher than the temperature in the upper part of the sample chamber. In addition, the temperature gradient in the sample chamber increases with increasing temperature and decreases with increasing pressure. The temperature gradient in the sample chamber during the second stage pressurization and heating is higher than the temperature gradient in the sample chamber of the first stage pressurization and heating experiment. The pressure and temperature calibration results obtained in this study are of reference value and guiding significance for future high-temperature and high-pressure experimental study using 19 mm outer diameter sample assembly.
-
Key words:
- end-loaded piston-cylinder /
- pressure /
- temperature /
- calibration
-
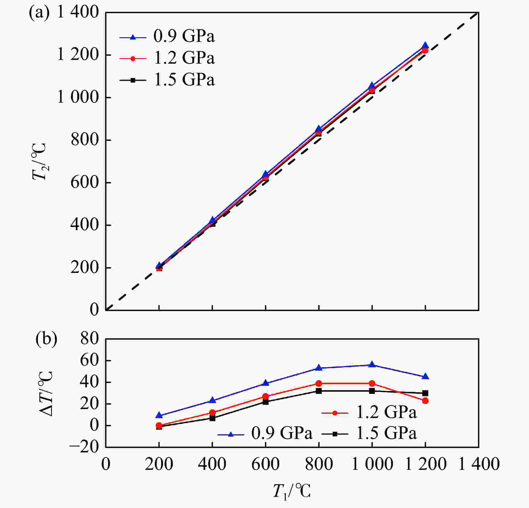
图 5 (a)样品腔上部温度(T1)和样品腔中心温度(T2);(b)样品腔中心与上部的温度差值(ΔT)(首次升压至目标压强的温度标定结果)
Figure 5. (a) Temperature above the sample chamber (T1) and temperature in the center of the sample chamber (T2); (b) temperature difference between the center and the upper part of the sample chamber (ΔT) (temperature calibration results of the first stage to the nominal pressure)
表 1 压强标定实验方案
Table 1. Pressure calibration experiment scheme
No. pN/GPa pL/psi pU/psi TN/℃ t/min P1 1.5 1 692 4 078 1 200 40 P2 1.2 1 354 3 262 1 100 40 P3 0.9 1 015 2 447 1 050 40 表 2 温度标定实验方案
Table 2. Temperature calibration experiment scheme
pN/GPa Temperature/℃ First program Second program Third program Fourth program Fifth program Sixth program 1.5 200 400 600 800 1 000 1 200 1.2 200 400 600 800 1 000 1 200 0.9 200 400 600 800 1 000 1 200 -
[1] 夏莹. QUICKpress活塞圆筒装置的压力、温度标定及玄武岩体系中锆石溶解度的初步研究 [D]. 北京: 中国科学院大学, 2013.XIA Y. Temperature and pressure calibrations for a QUICKpress piston-cylinder apparatus and preliminary study on zircon saturation in basalt [D]. Beijing: University of Chinese Academy of Sciences, 2013. [2] BRADLEY C C. High pressure methods in solid state research [M]. London: Butterworths, 1969. [3] MANGHNANI M H, AKIMOTO Y S. High-pressure research: applications in geophysics [M]. New York: Academic Press, 1977: 573–583. [4] 谢鸿森. 地球深部物质科学导论 [M]. 北京: 科学出版社, 1997XIE H S. Introduction to deep Earth material science [M]. Beijing: Science Press, 1997. [5] TINGLE T N, GREEN H W, YOUNG T E, et al. Improvements to griggs-type apparatus for mechanical testing at high pressures and temperatures [J]. Pure and Applied Geophysics, 1993, 141: 523–543. doi: 10.1007/BF00998344 [6] RYBACKI E, RENNER J, KONRAD K, et al. A servohydraulically-controlled deformation apparatus for rock deformation under conditions of ultra-high pressure metamorphism [J]. Pure and Applied Geophysics, 1998, 152: 579–606. doi: 10.1007/s000240050168 [7] 韩亮, 周永胜, 何昌荣, 等. 3 GPa熔融盐固体介质高温高压三轴压力容器的围压标定 [J]. 高压物理学报, 2011, 25(3): 213–220. doi: 10.11858/gywlxb.2011.03.004HAN L, ZHOU Y S, HE C R, et al. Confined pressure calibration for 3 GPa molten salt medium triaxial pressure vessel under high pressure and temperature [J]. Chinese Journal of High Pressure Physics, 2011, 25(3): 213–220. doi: 10.11858/gywlxb.2011.03.004 [8] LI Z, LI J. Melting curve of NaCl to 20 GPa from electrical measurements of capacitive current [J]. American Mineralogist, 2015, 100(8/9): 1892–1898. doi: 10.2138/am-2015-5248 [9] 夏莹, 丁兴, 宋茂双, 等. 活塞圆筒装置压力盘样品组装的温度测定和热结构分析 [J]. 高压物理学报, 2014, 28(3): 262–272. doi: 10.11858/gywlxb.2014.03.002XIA Y, DING X, SONG M S, et al. Temperature determination and thermal structure analysis on the pressure assembly of a piston-cylinder apparatus [J]. Chinese Journal of High Pressure Physics, 2014, 28(3): 262–272. doi: 10.11858/gywlxb.2014.03.002 [10] PICKERING J M, SCHWAB B E, JOHNSTON A D. Off-center hot spots: double thermocouple determination of the thermal gradient in a 1.27 cm (1/2 in.) CaF2 piston-cylinder furnace assembly [J]. American Mineralogist, 1998, 83(3/4): 228–235. [11] 韩亮, 周永胜, 何昌荣, 等. 3 GPa熔融盐固体介质高温高压三轴压力容器的温度标定 [J]. 高压物理学报, 2009, 23(6): 407–414. doi: 10.3969/j.issn.1000-5773.2009.06.002HAN L, ZHOU Y S, HE C R, et al. Temperature calibration for 3 GPa molten salt medium triaxial pressure vessel [J]. Chinese Journal of High Pressure Physics, 2009, 23(6): 407–414. doi: 10.3969/j.issn.1000-5773.2009.06.002 [12] WATSON E, WARK D, PRICE J, et al. Mapping the thermal structure of solid-media pressure assemblies [J]. Contributions to Mineralogy and Petrology, 2002, 142(6): 640–652. doi: 10.1007/s00410-001-0327-4 [13] NICKEL K G, BREY G. Subsolidus orthopyroxene-clinopyroxene systematics in the system CaO-MgO-SiO2 to 60 kb: a re-evaluation of the regular solution model [J]. Contributions to Mineralogy and Petrology, 1984, 87(1): 35–42. doi: 10.1007/BF00371400 [14] SCHILLING F, WUNDER B. Temperature distribution in piston-cylinder assemblies: numerical simulations and laboratory experiments [J]. European Journal of Mineralogy, 2004, 16(1): 7–14. doi: 10.1127/0935-1221/2004/0016-0007 [15] KAWASHIMA Y, YAGI T. Temperature distribution in a cylindrical furnace for high-pressure use [J]. Review of Scientific Instruments, 1988, 59(7): 1186–1188. doi: 10.1063/1.1139747 [16] 丁兴. 俯冲工厂与大陆地壳的形成演化: 来自部分指示性元素活动性及高温高压实验的制约[D]. 广州: 中国科学院, 2009.DING X. Subduction factory and formation of the continental crust: constraints from mobilities of indicative elements and high pressure experiment [D]. Guangzhou: Chinese Academy of Science, 2009. [17] AKELLA J, VAIDYA S, KENNEDY G C. Melting of sodium chloride at pressures to 65 kbar [J]. Physical Review B, 1969, 2(10): 4306–4306. [18] MASOTTA M, FREDA C, PAUL T A, et al. Low pressure experiments in piston cylinder apparatus: calibration of newly designed 25 mm furnace assemblies to P = 150 MPa [J]. Chemical Geology, 2012, 312/313: 74–79. doi: 10.1016/j.chemgeo.2012.04.011 -

下载: