Design and Crashworthiness Analysis of New Bionic Honeycomb Structure
-
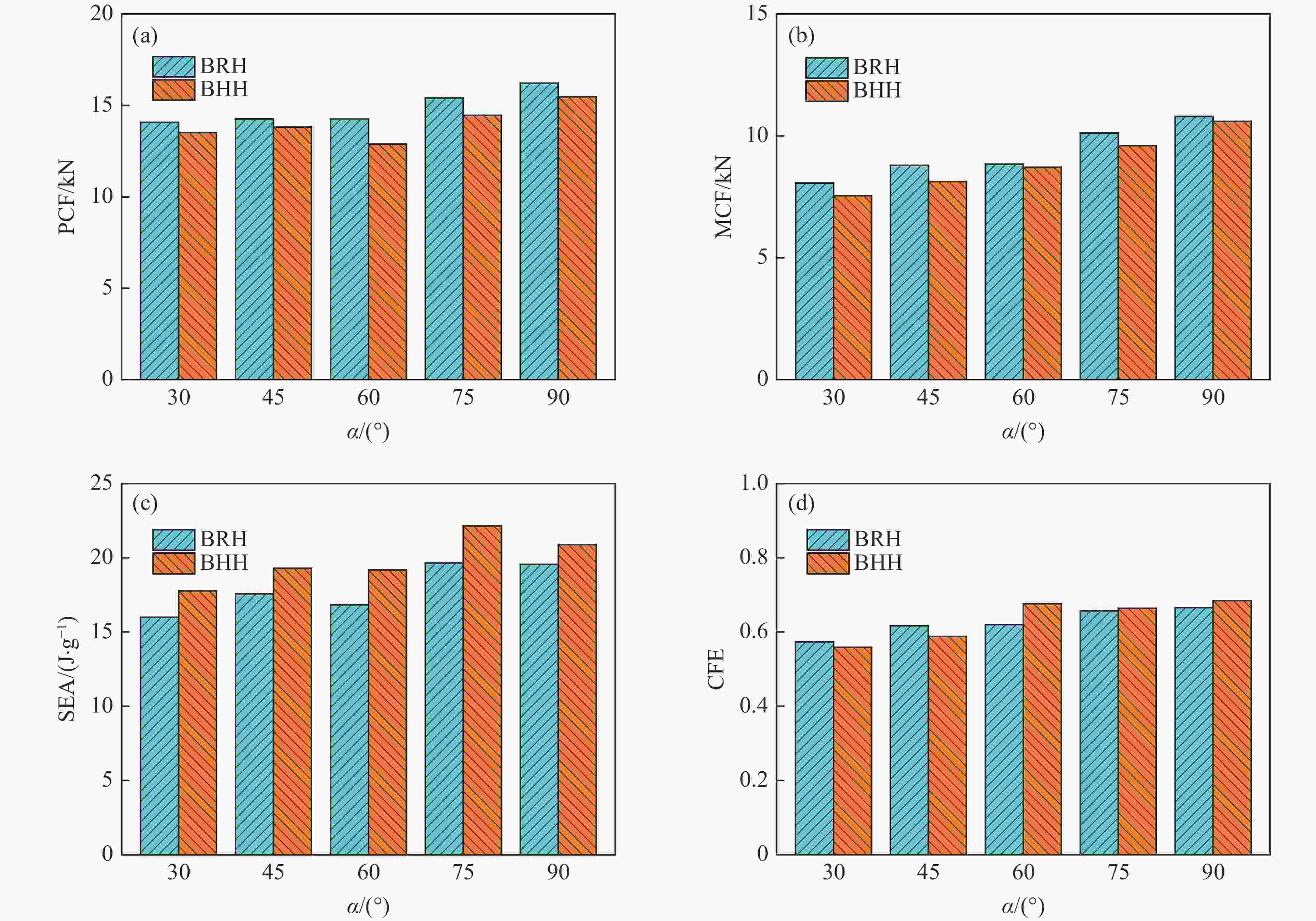
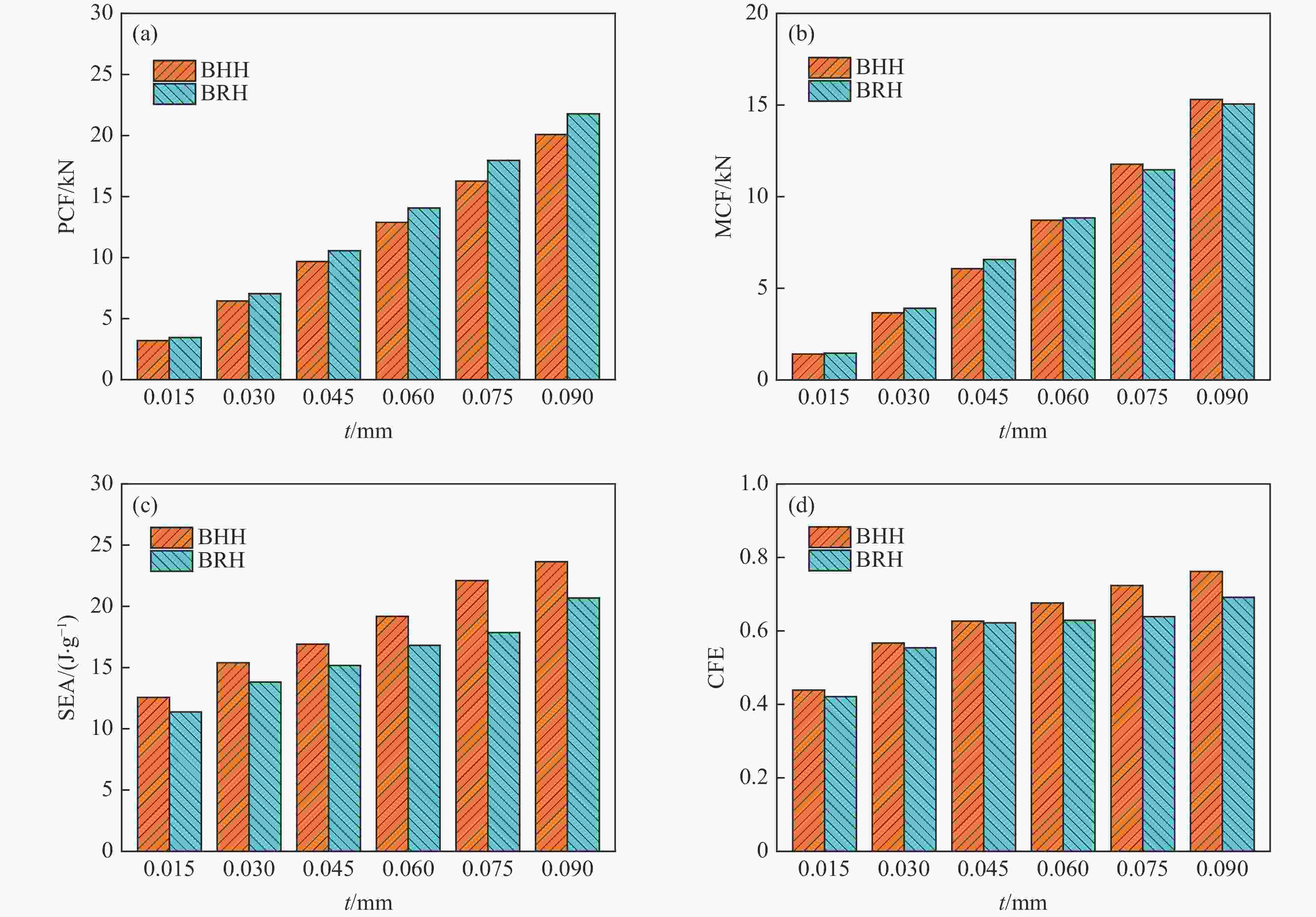
摘要: 受自然界毛竹微观结构的启发,在传统圆管与六边形管的基础上引入内管及双菱形肋骨,通过拓扑衍生方法设计了两种新型仿生蜂窝结构。在此基础上利用有限元软件ABAQUS对新型仿生蜂窝的耐撞性进行数值模拟,研究了蜂窝单胞构型、蜂窝壁厚、双菱形肋骨夹角对仿生蜂窝耐撞性能的影响。此外,基于超折叠单元理论,建立了仿生蜂窝结构的理论分析模型。结果表明:仿生蜂窝的面外压缩耐撞性能优于传统圆形蜂窝和传统六边形蜂窝。新型仿生六边形蜂窝的比吸能相比传统六边形蜂窝提高51.18%,压缩力效率提高53.14%。仿生蜂窝结构的平均压缩力理论预测结果与数值模拟结果吻合,两者间的误差均在10%以内。单胞构型为六边形的仿生蜂窝的耐撞性能优于圆形仿生蜂窝。适当增加仿生蜂窝壁厚或增大双菱形肋骨夹角,均有利于提高结构的耐撞性能。Abstract: Inspired by the microstructures of bamboo in nature, two new bionic honeycomb structures were designed based on topological derivation method by introducing inner tube and double diamond ribs on the basis of traditional round tube and hexagonal tube. The performances of the bionic honeycomb structures and the traditional honeycomb structures under quasi-static compression are compared, and the theoretical analysis model of the bionic honeycomb structures is established based on the simplified super folding element theory. On this basis, ABAQUS finite element software is used to simulate the crashworthiness of the new bionic honeycombs. The influences of the single cell configuration, the wall thickness and the angle of the double diamond ribs of the honeycomb on the crashworthiness of the bionic honeycombs are studied. The results show that the crashworthiness of the bionic honeycombs is better than that of the traditional circular honeycomb and the traditional hexagonal honeycomb. Compared with the traditional hexagonal honeycomb, the specific energy absorption and compression force efficiency of the new bionic hexagonal honeycomb are increased by 51.18% and 53.14%, respectively. The theoretical predictions on the average compression forces of the bionic honeycomb structures are consistent with the numerical simulation results, and the errors are less than 10%. The crashworthiness of the hexagonal bionic honeycomb is better than that of the circular bionic honeycomb. Moreover, the crashworthiness of the bionic honeycomb structure can be improved by increasing the wall thickness appropriately, or by increasing the angle of the double diamond ribs.
-
图 6 简化超折叠单元模式[20]:(a)拉伸单元,(b)弯曲塑性铰线,(c)基本折叠单元凸缘完全压缩
Figure 6. Scheme of simplified super folding element: (a) extensional element, (b) bending hinge lines, (c) full compression of flange (basic folding element)
表 1 传统蜂窝与仿生蜂窝的结构尺寸
Table 1. Structure sizes of traditional honeycombs and bionic honeycombs
Honeycomb type RH HH BRH BHH Cross section shape 



Single cell 



Single cell size D=10 mm D=10 mm D=10 mm,
d=5 mm,
a = 0.58 mm,
b = 0.87 mm,
$\alpha $ = 60°D=10 mm,
d=5 mm,
a = 0.58 mm,
b = 0.87 mm,
$\alpha $ = 60°表 2 数值模拟与理论预测结果对比
Table 2. Comparison of numerical simulation and theory
Structure type t/mm M/g pmd/kN Error/% Sim. Theory BRH 0.015 1.66 1.46 1.42 −2.74 BRH 0.030 3.31 3.91 4.02 2.81 BRH 0.045 4.97 6.57 5.99 −8.82 BRH 0.060 6.62 8.84 9.02 2.04 BRH 0.075 8.28 11.47 11.91 3.84 BRH 0.090 9.93 15.05 15.66 4.05 BHH 0.015 1.46 1.41 1.44 2.13 BHH 0.030 2.92 3.66 3.59 −1.91 BHH 0.045 4.38 6.07 6.12 0.82 BHH 0.060 5.84 8.72 8.69 −0.34 BHH 0.075 7.30 11.77 12.15 3.23 BHH 0.090 8.75 15.31 15.97 4.31 -
[1] AKTAY L, JOHNSON A F, KRÖPLIN B H. Numerical modelling of honeycomb core crush behaviour [J]. Engineering Fracture Mechanics, 2008, 75(9): 2616–2630. doi: 10.1016/j.engfracmech.2007.03.008 [2] LI Z J, YANG Q S, FANG R, et al. Crushing performances of Kirigami modified honeycomb structure in three axial directions [J]. Thin-Walled Structures, 2021, 160: 107365. doi: 10.1016/j.tws.2020.107365 [3] ASHAB A, RUAN D, LU G X, et al. Combined compression-shear behavior of aluminum honeycombs [J]. Key Engineering Materials, 2014, 626: 127–132. doi: 10.4028/www.scientific.net/KEM.626.127 [4] XU S Q, BEYNON J H, RUAN D, et al. Experimental study of the out-of-plane dynamic compression of hexagonal honeycombs [J]. Composite Structures, 2012, 94(8): 2326–2336. doi: 10.1016/j.compstruct.2012.02.024 [5] MOUSANEZHAD D, GHOSH R, AJDARI A, et al. Impact resistance and energy absorption of regular and functionally graded hexagonal honeycombs with cell wall material strain hardening [J]. International Journal of Mechanical Sciences, 2014, 89: 413–422. doi: 10.1016/j.ijmecsci.2014.10.012 [6] 夏元明, 张威, 崔天宁, 等. 金属多级类蜂窝的压溃行为研究 [J]. 力学学报, 2019, 51(3): 873–883. doi: 10.6052/0459-1879-18-434XIA Y M, ZHANG W, CUI T N, et al. Investigation on crushing behavior of metal honeycomb-like hierarchical structures [J]. Chinese Journal of Theoretical and Applied Mechanics, 2019, 51(3): 873–883. doi: 10.6052/0459-1879-18-434 [7] 王海任, 李世强, 刘志芳, 等. 王莲仿生梯度蜂窝的面外压缩行为 [J]. 高压物理学报, 2020, 34(6): 064204. doi: 10.11858/gywlxb.20200562WANG H R, LI S Q, LIU Z F, et al. Out-of-plane compression performance of gradient honeycomb inspired by royal water lily [J]. Chinese Journal of High Pressure Physics, 2020, 34(6): 064204. doi: 10.11858/gywlxb.20200562 [8] 樊喜刚, 尹西岳, 陶勇, 等. 梯度蜂窝面外动态压缩力学行为与吸能特性研究 [J]. 固体力学学报, 2015, 36(2): 114–122.FAN X G, YIN X Y, TAO Y, et al. Mechanical behavior and energy absorption of graded honeycomb materials under out-of-plane dynamic compression [J]. Chinese Journal of Solid Mechanics, 2015, 36(2): 114–122. [9] XIANG J W, DU J X. Energy absorption characteristics of bio-inspired honeycomb structure under axial impact loading [J]. Materials Science and Engineering: A, 2017, 696: 283–289. doi: 10.1016/j.msea.2017.04.044 [10] HE Q, WANG Y H, GU H, et al. Dynamic crushing analysis of a circular honeycomb with leaf vein branched characteristic [J]. Mechanics of Materials, 2021, 153: 103566. doi: 10.1016/j.mechmat.2020.103566 [11] YANG X F, SUN Y X, YANG J L, et al. Out-of-plane crashworthiness analysis of bio-inspired aluminum honeycomb patterned with horseshoe mesostructure [J]. Thin-Walled Structures, 2018, 125: 1–11. doi: 10.1016/j.tws.2018.01.014 [12] HE Q, FENG J, CHEN Y J, et al. Mechanical properties of spider-web hierarchical honeycombs subjected to out-of-plane impact loading [J]. Journal of Sandwich Structures and Materials, 2020, 22(3): 771–796. [13] YANG X F, XI X L, PAN Q F, et al. In-plane dynamic crushing of a novel circular-celled honeycomb nested with petal-shaped mesostructure [J]. Composite Structures, 2019, 226: 111219. doi: 10.1016/j.compstruct.2019.111219 [14] ZHANG D H, FEI Q G, ZHANG P W. In-plane dynamic crushing behavior and energy absorption of honeycombs with a novel type of multi-cells [J]. Thin-Walled Structures, 2017, 117: 199–210. doi: 10.1016/j.tws.2017.03.028 [15] ZHANG Y, LU M H, WANG C H, et al. Out-of-plane crashworthiness of bio-inspired self-similar regular hierarchical honeycombs [J]. Composite Structures, 2016, 144: 1–13. doi: 10.1016/j.compstruct.2016.02.014 [16] YIN H F, HUANG X F, SCARPA F, et al. In-plane crashworthiness of bio-inspired hierarchical honeycombs [J]. Composite Structures, 2018, 192: 516–527. doi: 10.1016/j.compstruct.2018.03.050 [17] QIAO J X, CHEN C Q. In-plane crushing of a hierarchical honeycomb [J]. International Journal of Solids and Structures, 2016, 85/86: 57–66. doi: 10.1016/j.ijsolstr.2016.02.003 [18] ZHANG X, ZHANG H, WEN Z Z. Experimental and numerical studies on the crush resistance of aluminum honeycombs with various cell configurations [J]. International Journal of Impact Engineering, 2014, 66: 48–59. doi: 10.1016/j.ijimpeng.2013.12.009 [19] CHEN B C, ZOU M, LIU G M, et al. Experimental study on energy absorption of bionic tubes inspired by bamboo structures under axial crushing [J]. International Journal of Impact Engineering, 2018, 115: 48–57. doi: 10.1016/j.ijimpeng.2018.01.005 [20] WIERZBICKI T, ABRAMOWICZ W. On the crushing mechanics of thin-walled structures [J]. Journal of Applied Mechanics, 1983, 50(4a): 727–734. doi: 10.1115/1.3167137 [21] ZHANG X, ZHANG H. Axial crushing of circular multi-cell columns [J]. International Journal of Impact Engineering, 2014, 65: 110–125. doi: 10.1016/j.ijimpeng.2013.12.002 [22] TRAN T, HOU S J, HAN X, et al. Crushing analysis and numerical optimization of angle element structures under axial impact loading [J]. Composite Structures, 2015, 119: 422–435. doi: 10.1016/j.compstruct.2014.09.019 [23] ZHANG Y, XU X, WANG J, et al. Crushing analysis for novel bio-inspired hierarchical circular structures subjected to axial load [J]. International Journal of Mechanical Sciences, 2018, 140: 407–431. doi: 10.1016/j.ijmecsci.2018.03.015 -

下载: