Ground State Study of Quantum Material GaTa4Se8
-
摘要: 量子材料GaTa4Se8(GTS)不仅展现出绝缘体到金属相变、Jeff量子态以及拓扑超导等多种有趣的物理性质,而且还是电阻开关和存储介质材料,一直以来备受关注。当前科学家们对其绝缘基态的结构仍存在争议,基态结构的不确定阻碍了对其各种物理性质的深入理解。GaTa4Se8的绝缘基态长期被认为具有立方对称结构(空间群
$ F\bar{4}3m $ ),其电子能隙是由自旋轨道耦合效应和电子关联共同作用形成的Mott型能隙。最近第一性原理计算表明,立方结构的声子谱存在虚频而不稳定,并预测立方对称存在结构畸变会形成更稳定的三方结构($ R3m $ )或四方结构($ F\bar{4}{2}_{1}m $ )。为此,本研究通过压力调节该材料的电子能隙,结合Raman光谱、X射线衍射、电阻测量等多种实验表征手段,对比实验得到的数据与第一性原理计算结果,进一步探索GaTa4Se8的基态结构。研究表明三方对称结构($ R3m $ )更符合实验观察结果。Abstract: The quantum material GaTa4Se8 has attracted a substantial amount of attention because it exhibits a variety of interesting physical properties, such as metallization, Jeff quantum state, and topological superconductivity, and moreover, it is a medium for resistive switch and electric storage. However, controversies still exist on its insulating ground state, which hinders from understanding its various physical properties. The insulating ground state of GaTa4Se8 has been considered over a long period of time as a cubic symmetric structure with space group$ F\bar{4}3m $ , and as a Mott-type energy gap driven by the combination of the spin-orbit coupling and the electronic correlation interaction. However, recent first-principles phonon calculations have shown that the cubic structure is mechanically unstable due to the presence of imaginary frequencies, and have predicted to be stabilized into the trigonal structure ($ R3m $ ) or the tetragonal structure ($ F\bar{4}{2}_{1}m $ ) through lattice distortion. In order to further investigate the ground state structure of GaTa4Se8, here we combine multiple experimental techniques such as Raman spectroscopy, X-ray diffraction, and resistance measurement to adjust its energy gap by pressure, and compare the experimental results with first-principles calculations. Our results show that the trigonal symmetric structure ($ R3m $ ) is more consistent with our experimental observations. -
图 1 GaTa4Se8的晶体结构(a)与其立方结构在分别考虑自旋轨道耦合(SOC)效应以及John-Teller效应下的能级分裂示意图(b)(从图1(a)可以看出,Ta4Se4和GaSe4形成交替排列结构。图1(b)中间是立方结构Ta4Se4配位场的能级分裂示意图;图1(b)左边是立方结构的Ta4Se4团簇考虑自旋轨道耦合效应的能级图,其中t2分裂为四重简并的Jeff=3/2轨道以及二重简并的Jeff=1/2轨道,电子占据了更低的Jeff=3/2轨道;图1(b)右边是三方结构的Ta4Se4团簇在John-Teller效应下的能级图,这里t2分裂为二重简并的反键轨道
$a_1^* $ 以及四重简并的反键轨道e*,电子占据了更低的$a_1^* $ 轨道)Figure 1. (a) Crystal structure of GaTa4Se8 forming a rock-salt type alternating arrangement; (b) schematic diagram of the splitting of the energy level of cubic symmetric structure of GaTa4Se8 (Fig. 1(a) shows the alternating arrangement of clusters Ta4Se4 and GaSe4. Fig.1(b) middle: energy level split diagram of cubic Ta4Se4 ligand field; Fig. 1(b) left: energy level diagram of the cubic structure of the Ta4Se4 cluster considering the spin-orbit coupling effect, t2 splits into the quadruple-degenerated Jeff=3/2 orbital and the dual-degenerated Jeff=1/2 orbital, with the electrons occupying the lower Jeff=3/2 orbital; Fig. 1(b) right: energy level diagram of the trigonal structure of the Ta4Se4 cluster under the John-Teller effect, with t2 splitting into the dual-degenerated anti-bonding orbital
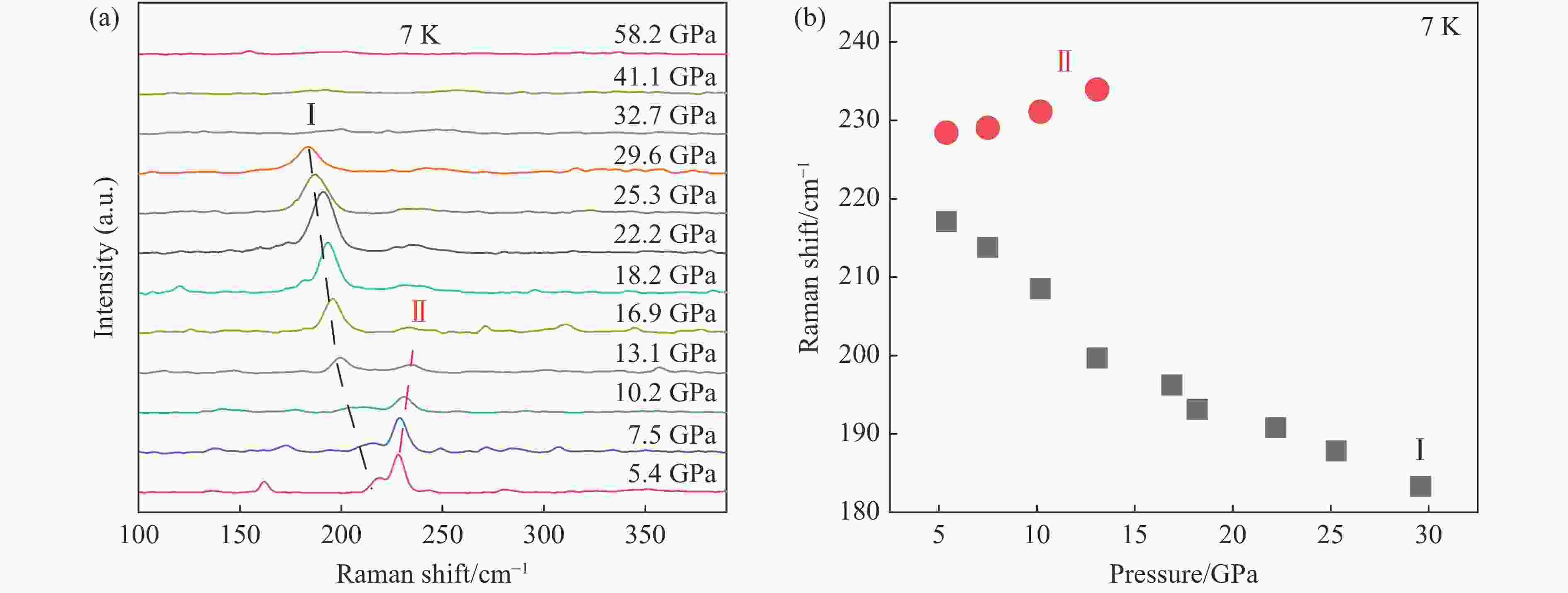
$a_1^* $ and the quadruple-degenerated anti-bonding orbital e*, with the electron occupying the lower$a_1^* $ orbital.)图 2 GaTa4Se8在7 K低温下的高压Raman谱(a)以及Raman特征频率随压力的变化(b)(图2(a)中峰Ⅰ随着压力增大出现软化,预示着其低温下基态结构极不稳定;峰Ⅱ强度的逐渐减弱以及消失表明其结构对称性转变。图2 (b)中峰Ⅰ随着压力增加逐渐软化,而峰Ⅱ随着压力增加出现常规的硬化并在13.1 GPa消失)
Figure 2. (a) High-pressure Raman spectra of GaTa4Se8 at low temperature (7 K); (b) Raman characteristic frequency of GaTa4Se8 varies with the pressures (In Fig.2(a) peak Ⅰ softens when the pressure increases, which predicts its ground state structure mechanically unstable at low temperature; the intensity of peak Ⅱ gradually weakens and disappears, that indicates the change in the structural symmetry. In Fig. 2(b) peak Ⅰ gradually softens with the increasing pressures, while peak Ⅱ shows the regular hardening and the disappearance after 13.1 GPa. )
图 3 300/7 K下压力从 0.8/5.0 GPa到60.7/68.4 GPa范围内GTS的电阻测量结果(当温度从室温降到7 K时,压力增加了5~7 GPa,图中显示了GTS在22.0/29.6 GPa压力下GTS经历的绝缘体到金属的相变)
Figure 3. Resistance results of GTS at the pressures ranging from 0.8/5.0 GPa to 60.7/68.4 GPa under 300/7 K (When the temperature decreases from room temperature to 7 K, the pressure increases 5−7 GPa, these figures demonstrate GTS experiences an insulator to metal transition around 22.0/29.6 GPa.)
图 4 GaTa4Se8的三方结构(R3m)(a)和四方结构(
$F\bar{4}{2}_{1}m$ )(b)在不考虑电子关联能U的情况下计算得到的高压下的电子态密度结果;(c) 电阻实验拟合的能隙(黑线),三方结构(R3m)理论计算能隙归一化后的宽度(蓝线)以及三方结构(R3m)Fermi面附近的能带宽度(红线)随压力的变化;(d)电阻实验拟合的能隙(黑线)和四方结构($F\bar{4}{2}_{1}m$ )理论计算能隙(蓝线)归一化后的宽度随压力的变化Figure 4. (a) Calculated results of the electronic density of states under high pressure for the GaTa4Se8 trigonal structure (R3m) (a) and the tetragonal structure (
$F\bar{4}{2}_{1}m$ ) (b) without considering the electron correlation energy U; (c) the energy gaps fitted by the resistance experiment (black line), the theoretically calculated energy gaps after normalization (blue line) and the energy bandwidths (red line) near the Fermi surface at different pressures for the trigonal structure (R3m); (d) the comparative results of energy gap fitted by the resistance experiments (black line) and the theoretical calculation results of the normalized energy gap (blue line) of the tetragonal structure ($F\bar{4}{2}_{1}m$ ) at different pressures图 5 (a) 三方结构(R3m)GaTa4Se8的高压Raman光谱计算结果(随着压力的增加,85 cm−1附近的Raman峰I随着a的减小(压力增加)逐渐软化,(b)计算得到的三方结构R3m GaTa4Se8的能带展宽与计算的Raman峰偏移量的线性关系,(c)计算得到的三方结构R3m GaTa4Se8的能带展宽与实验测得的Raman峰偏移量的线性关系
Figure 5. (a) Calculated high-pressure Raman spectra of trigonal structure (R3m) of GaTa4Se8 (The Raman peak calculated near 85 cm−1 gradually softens with the parameter a decreasing (pressure increasing).); (b) the bandwidth broadening of GaTa4Se8 calculated for the R3m structure shows a linear relationship with the calculated Raman shift; (c) the bandwidth broadening of GaTa4Se8 calculated for the R3m structure exhibits a linear relation with the experimentally measured Raman shift
-
[1] ABD-ELMEGUID M M, NI B, KHOMSKII D I, et al. Transition from Mott insulator to superconductor in GaNb4Se8 and GaTa4Se8 under high pressure [J]. Physical Review Letters, 2004, 93(12): 126403. doi: 10.1103/PhysRevLett.93.126403 [2] POCHA R, JOHRENDT D, NI B F, et al. Crystal structures, electronic properties, and pressure-induced superconductivity of the tetrahedral cluster compounds GaNb4S8, GaNb4Se8, and GaTa4Se8 [J]. Journal of the American Chemical Society, 2005, 127(24): 8732–8740. doi: 10.1021/ja050243x [3] VAJU C, CARIO L, CORRAZE B, et al. Electric-pulse-driven electronic phase separation, insulator-metal transition, and possible superconductivity in a Mott insulator [J]. Advanced Materials, 2008, 20(14): 2760–2765. doi: 10.1002/adma.200702967 [4] GUIOT V, JANOD E, CORRAZE B, et al. Control of the electronic properties and resistive switching in the new series of Mott insulators GaTa4Se8–yTey (0 ≤y≤ 6.5) [J]. Chemistry of Materials, 2011, 23(10): 2611–2618. doi: 10.1021/cm200266n [5] CAMJAYI A, WEHT R, ROZENBERG M J. Localised wannier orbital basis for the Mott insulators GaV4S8 and GaTa4Se8 [J]. Europhysics Letters, 2012, 100(5): 57004. doi: 10.1209/0295-5075/100/57004 [6] GUIOT V, CARIO L, JANOD E, et al. Avalanche breakdown in GaTa4Se8-xTex narrow-gap Mott insulators [J]. Nature Communications, 2013, 4(1): 1722. doi: 10.1038/ncomms2735 [7] TA PHUOC V, VAJU C, CORRAZE B, et al. Optical conductivity measurements of GaTa4Se8 under high pressure: evidence of a bandwidth-controlled insulator-to-metal Mott transition [J]. Physical Review Letters, 2013, 110(3): 037401. doi: 10.1103/PhysRevLett.110.037401 [8] DUBOST V, CREN T, VAJU C, et al. Resistive switching at the nanoscale in the Mott insulator compound GaTa4Se8 [J]. Nano Letters, 2013, 13(8): 3648–3653. doi: 10.1021/nl401510p [9] CAMJAYI A, ACHA C, WEHT R, et al. First-order insulator-to-metal Mott transition in the paramagnetic 3D system GaTa4Se8 [J]. Physical Review Letters, 2014, 113(8): 086404. doi: 10.1103/PhysRevLett.113.086404 [10] JEONG M Y, CHANG S H, KIM B H, et al. Direct experimental observation of the molecular Jeff = 3/2 ground state in the lacunar spinel GaTa4Se8 [J]. Nature Communications, 2017, 8(1): 782. doi: 10.1038/s41467-017-00841-9 [11] PARK M J, SIM G, JEONG M Y, et al. Pressure-induced topological superconductivity in the spin-orbit Mott insulator GaTa4Se8 [J]. NPJ Quantum Materials, 2020, 5(1): 41. doi: 10.1038/s41535-019-0206-8 [12] JEONG M Y, CHANG S H, LEE H J, et al. Jeff = 3/2 metallic phase and unconventional superconductivity in GaTa4Se8 [J]. Physical Review B, 2021, 103(8): L081112. doi: 10.1103/PhysRevB.103.L081112 [13] INOUE I H, ROZENBERG M J. Taming the Mott transition for a novel Mott transistor [J]. Advanced Functional Materials, 2008, 18(16): 2289–2292. doi: 10.1002/adfm.200800558 [14] CARIO L, VAJU C, CORRAZE B, et al. Electric-field-induced resistive switching in a family of Mott insulators: towards a new class of RRAM memories [J]. Advanced Materials, 2010, 22(45): 5193–5197. doi: 10.1002/adma.201002521 [15] STOLIAR P, CARIO L, JANOD E, et al. Universal electric-field-driven resistive transition in narrow-gap Mott insulators [J]. Advanced Materials, 2013, 25(23): 3222–3226. doi: 10.1002/adma.201301113 [16] DUBOST V, CREN T, VAJU C, et al. Electric-field-assisted nanostructuring of a Mott insulator [J]. Advanced Functional Materials, 2009, 19(17): 2800–2804. doi: 10.1002/adfm.200900208 [17] KIM H S, IM J, HAN M J, et al. Spin-orbital entangled molecular Jeff states in lacunar spinel compounds [J]. Nature Communications, 2014, 5(1): 3988. doi: 10.1038/ncomms4988 [18] GEIRHOS K, RESCHKE S, GHARA S, et al. Optical, dielectric, and magnetoelectric properties of ferroelectric and antiferroelectric lacunar spinels [J]. Physica Status Solidi B, 2021: 2100260. [19] POCHA R, JOHRENDT D, PÖTTGEN R. Electronic and structural instabilities in GaV4S8 and GaMo4S8 [J]. Chemistry of Materials, 2000, 12(10): 2882–2887. doi: 10.1021/cm001099b [20] ZHANG S, ZHANG T T, DENG H S, et al. Crystal and electronic structure of GaTa4Se8 from first-principles calculations [J]. Physical Review B, 2020, 102(21): 214114. doi: 10.1103/PhysRevB.102.214114 [21] CHEN X J. Exploring high-temperature superconductivity in hard matter close to structural instability [J]. Matter and Radiation at Extremes, 2020, 5(6): 068102. doi: 10.1063/5.0033143 [22] SHEN G Y, MAO H K. High-pressure studies with X-rays using diamond anvil cells [J]. Reports on Progress in Physics, 2017, 80(1): 016101. doi: 10.1088/1361-6633/80/1/016101 [23] CHEN X H, LOU H B, ZENG Z D, et al. Structural transitions of 4∶1 methanol-ethanol mixture and silicone oil under high pressure [J]. Matter and Radiation at Extremes, 2021, 6(3): 038402. doi: 10.1063/5.0044893 [24] PRESCHER C, PRAKAPENKA V B. DIOPTAS: a program for reduction of two-dimensional X-ray diffraction data and data exploration [J]. High Pressure Research, 2015, 35(3): 223–230. doi: 10.1080/08957959.2015.1059835 [25] ALTOMARE A, CORRIERO N, CUOCCI C, et al. EXPO software for solving crystal structures by powder diffraction data: methods and application [J]. Crystal Research and Technology, 2015, 50(910): 737–742. doi: 10.1002/crat.201500024 [26] DENG H S, ZHANG J B, JEONG M Y, et al. Metallization of quantum material GaTa4Se8 at high pressure [J]. Journal of Physical Chemistry Letters, 2021, 12(23): 5601–5607. doi: 10.1021/acs.jpclett.1c01069 [27] JAYARAMAN A. Diamond anvil cell and high-pressure physical investigations [J]. Reviews of Modern Physics, 1983, 55(1): 65–108. doi: 10.1103/RevModPhys.55.65 [28] HLINKA J, BORODAVKA F, RAFALOVSKYI I, et al. Lattice modes and the Jahn-Teller ferroelectric transition of GaV4S8 [J]. Physcal Review B, 2016, 94(6): 060104. doi: 10.1103/PhysRevB.94.060104 [29] IMADA M, FUJIMORI A, TOKURA Y. Metal-insulator transitions [J]. Reviews of Modern Physics, 1998, 70(4): 1039–1263. doi: 10.1103/RevModPhys.70.1039 [30] WEBER W H, MERLIN R. Raman scattering in materials science [M]. Berlin: Springer Science and Business Media, 2013. -











下载:



