High Pressure Raman Spectroscopic Study of PbCO3 in Different Pressure Transmitting Medium
-
摘要: 为研究PbCO3在高压下的稳定性,利用金刚石对顶砧技术,采用NaCl固体、甲醇-乙醇-水混合液体(16∶3∶1)和甲醇-乙醇混合液体(4∶1)做传压介质,开展了PbCO3的高压拉曼实验,最高压强分别达到24.5、25.0和67.0 GPa。研究发现,PbCO3在10、15和30 GPa左右发生相变,在静水压强条件下
${\rm{CO}}_3^{2-} $ 基团的ν2-外弯曲振动模出现了软化现象。通过对比得到不同传压介质中PbCO3的Grüneisen参数γ,发现相变机制略有不同,并且压强对晶格振动的影响比${\rm{CO}}_3^{2-} $ 基团的影响大,这是由Pb2+―O键的键长较大造成的。在所研究的压强范围内,PbCO3没有发生分解或非晶化,30.0 GPa以上出现的PbCO3-Ⅳ相直至67.0 GPa都很稳定。Abstract: Using diamond anvil cell (DAC) technique and Raman spectroscopy, we have studied the stability of PbCO3 at high pressure. Solid NaCl, mixture of methanol-ethanol-water (16∶3∶1) and methanol-ethanol (4∶1) were used as pressure transmitting medium. The highest pressure in this study reached up to 24.5, 25.0 and 67.0 GPa, respectively. It is found that PbCO3 undergoes three phase transitions at around 10, 15 and 30 GPa, respectively. In addition, the softening of the out of bending vibration mode belonging to${\rm{CO}}_3^{2-} $ group was observed. By comparison with the Grüneisen parameters ($\gamma $ ) of PbCO3 in different pressure-transfer media, the phase transition mechanism is slightly different, and the influence of pressure on lattice vibration is greater than that of${\rm{CO}}_3^{2-} $ group, which is attributed to the larger distance of the Pb2+—O bond. PbCO3 did not decompose or amorphized in the pressure range of 67.0 GPa, the highest pressure reached in this study. The observed PbCO3-Ⅳ phase above 30.0 GPa is stable up to 67.0 GPa.-
Key words:
- PbCO3 /
- Raman spectroscopy /
- pressure-transmitting medium /
- high pressure /
- phase transformation
-
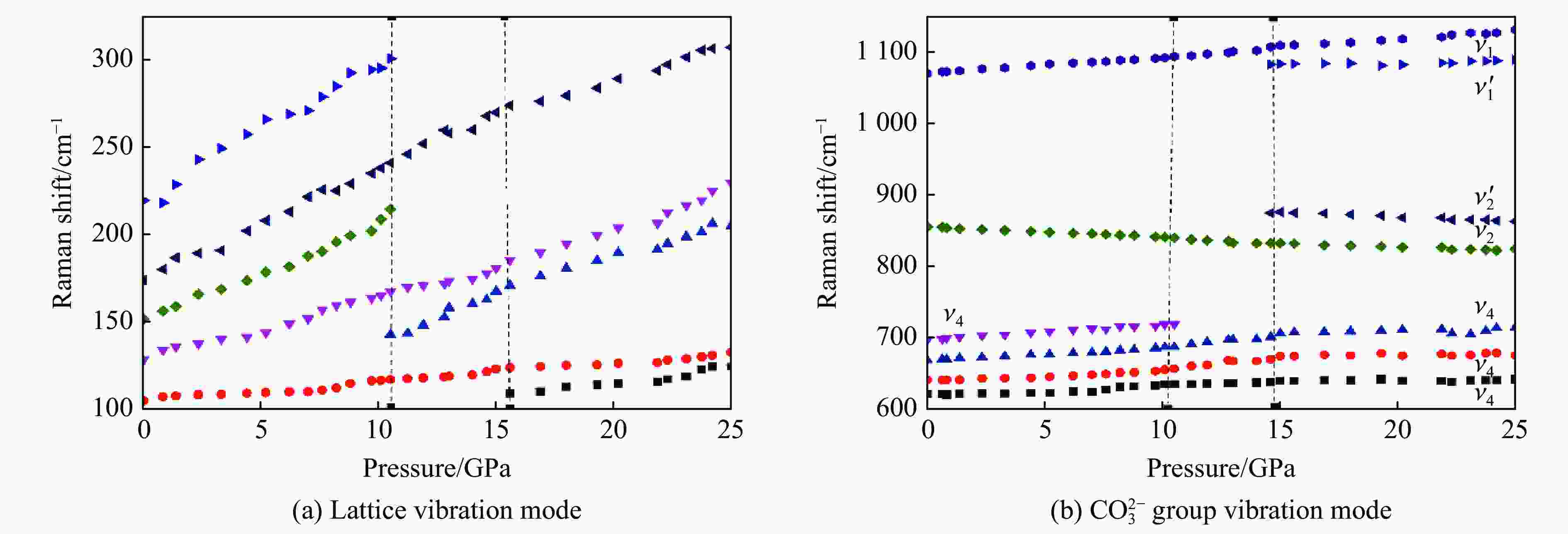
图 3 采用NaCl固体做传压介质时PbCO3的拉曼峰位移与压强之间的关系(ν1、ν2和ν4分别对应对称拉伸振动模、外弯曲振动模和内弯曲振动模)
Figure 3. Pressure-induced mode shifts of PbCO3 undergoes the solid NaCl pressure transmitting medium (ν1, ν2 and ν4 are symmetric stretching vibration, out-of-plane bending vibration, and in-plane bending vibration, respectively.)
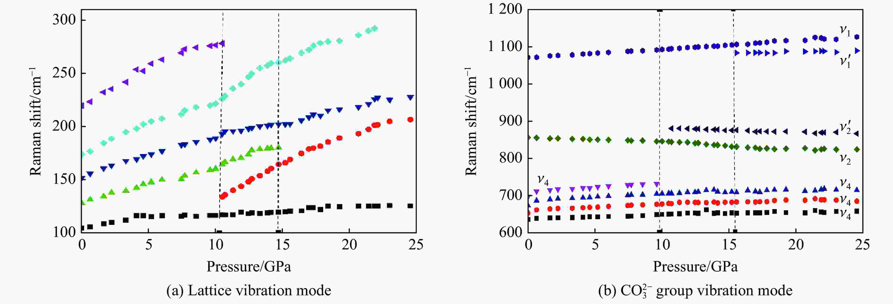
图 5 采用甲醇-乙醇-水混合液体作为传压介质时PbCO3的拉曼峰位移与压强之间的关系(ν1、ν2和ν4分别对应对称拉伸振动模、外弯曲振动模和内弯曲振动模)
Figure 5. Pressure-induced mode shifts of PbCO3 undergoes the mixture of MEW pressure transmitting medium (ν1, ν2 and ν4 are symmetric stretching vibration, out-of-plane bending vibrations, and in-plane bending vibration, respectively.)
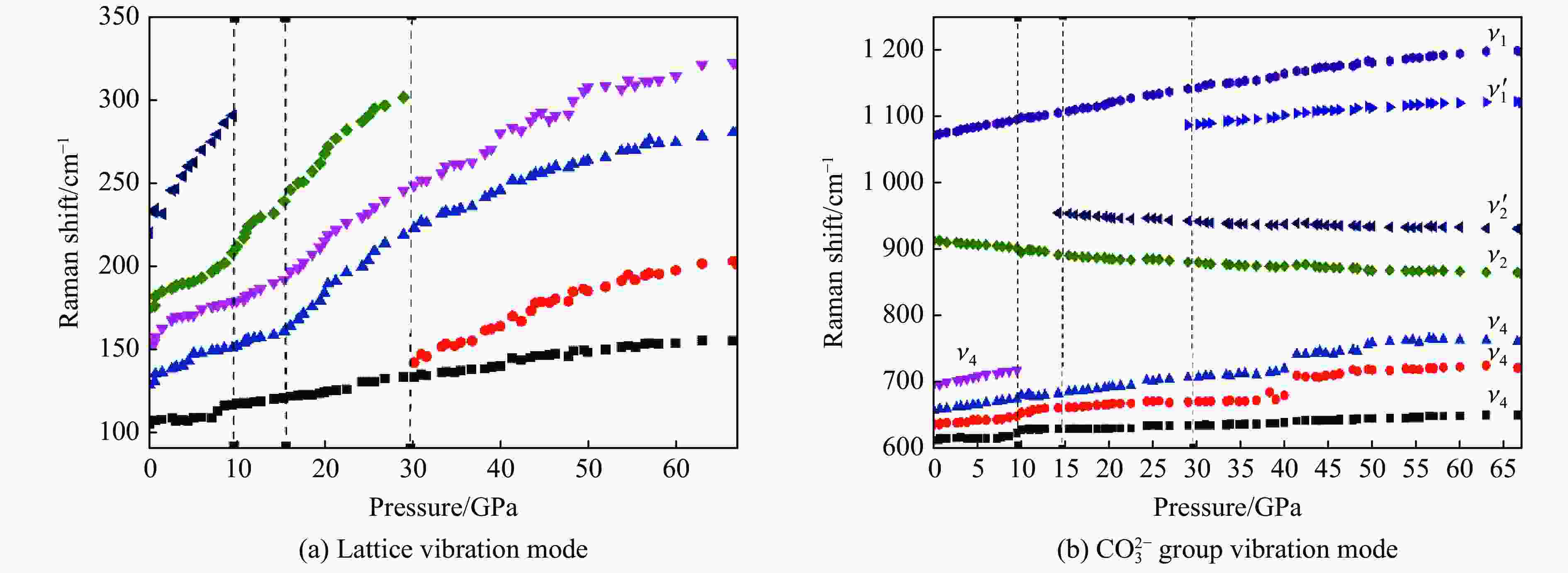
图 7 采用甲醇-乙醇混合液体做传压介质时PbCO3的拉曼峰位移与压强之间的关系(ν1、ν2、ν4分别为对称拉伸振动模、外弯曲振动模和内弯曲振动模)
Figure 7. Pressure-induced mode shifts undergoes the mixture of methanol-ethanol pressure transmitting medium (ν1, ν2 and ν4 are symmetric stretching vibration, out-of-plane bending vibration, and in-plane bending vibration, respectively.)
表 1 采用NaCl固体做传压介质时PbCO3-Ⅰ相的拉曼峰对应的位置、dν/dp和
${{\gamma}}$ Table 1. Raman modes and the values of dν/dp and mode Grüneisen parameters (
${{\gamma}}$ ) for PbCO3-Ⅰ phase in solid NaCl pressure transmitting medium${\nu }{_{\mathrm{i}0}}$/cm−1 Pressure range/GPa $\dfrac{\mathrm{d}\nu }{\mathrm{d}p} \Big/({\rm{cm} }{^{-1} }\cdot {\rm{GPa} }{^{-1} })$ $\gamma $ 1095.81 0–10.7 2.3($\pm 0.12$) 0.1352 842.90 0–10.5 −1.2($ \pm 0.05 $) −0.0876 686.87 0–10.7 1.4($ \pm 0.04 $) 0.1312 692.78 0–10.7 1.6($ \pm 0.07) $ 0.1491 705.85 0–10.7 2.1($ \pm 0.03 $) 0.1907 711.86 0–9.6 1.5($ \pm 0.05 $) 0.1430 116.79 0–10.5 1.1($ \pm 0.04 $) 0.6875 143.79 0–9.5 1.7$ (\pm 0.03) $ 0.8219 188.75 0–10.5 3.5$ (\pm 0.04) $ 1.4573 173.72 0–10.5 3.8($ \pm 0.06 $) 1.3780 219.50 0–9.8 7.3$ (\pm 0.06) $ 2.0950 表 2 采用NaCl固体做传压介质时PbCO3-Ⅱ相的拉曼峰对应的位置、dν/dp和
${{ \gamma }}$ Table 2. Raman modes and the values of dν/dp and mode Grüneisen parameters (
${{\gamma}}$ ) for PbCO3-Ⅱ phase in solid NaCl pressure transmitting medium${\nu }{_{\mathrm{i}0}}$/cm−1 Pressure range/GPa $\dfrac{\mathrm{d}\nu }{\mathrm{d}p} \Big/({\rm{cm} }{^{-1} }\cdot {\rm{GPa} }{^{-1} })$ $\gamma $ 1147.20 10.7–15.6 2.2($ \pm 0.12$) 0.0924 1109.28 15.6–16.0 0.7($\pm 0.06$) 0.0282 825.75 10.5–15.6 −1.2($ \pm 0.05 $) −0.0675 858.34 10.5–15.6 −0.9($ \pm 0.04 $) −0.0471 723.01 10.7–15.6 1.4($ \pm 0.08 $) 0.0991 725.50 10.7–15.6 1.6($ \pm 0.07) $ 0.1060 749.32 10.7–15.6 2.1($ \pm 0.03 $) 0.1341 144.56 10.5–15.6 1.1($ \pm 0.04 $) 0.3945 240.83 10.5–15.6 4.6($ \pm 0.07) $ 1.3200 229.56 10.5–14.7 3.4$ (\pm 0.03) $ 0.2765 223.38 10.5–15.6 1.8$ (\pm 0.04) $ 0.4238 354.58 10.5–14.2 8.9($ \pm 0.06 $) 1.7900 表 3 采用甲醇-乙醇-水混合溶液做传压介质时PbCO3-Ⅰ相的拉曼峰对应的位置、dν/dp和
${{\gamma}}$ Table 3. Raman modes and the values of dν/dp and mode Grüneisen parameters (
${{\gamma}}$ ) for PbCO3-Ⅰ phase in the mixture of MEW pressure transmitting medium${\nu }{_{\mathrm{i}0}}$/cm−1 Pressure range/GPa $\dfrac{\mathrm{d}\nu }{\mathrm{d}p} \Big/({\rm{cm} }{^{-1} }\cdot {\rm{GPa} }{^{-1} })$ $\gamma $ 1094.30 0–10.5 2.2($ \pm0.12 $) 0.1293 839.56 0–10.5 −1.5($\pm 0.05$) −0.1126 687.66 0–10.5 1.5($ \pm 0.04 $) 0.1410 691.93 0–10.5 1.5($ \pm 0.01) $ 0.1055 702.07 0–10.5 1.7($ \pm 0.03 $) 0.1177 718.65 0–10.5 2.1($ \pm 0.05 $) 0.1368 116.60 0–10.5 1.1($ \pm 0.04 $) 0.5057 146.73 0–9.5 1.9$ (\pm 0.03) $ 0.7115 216.78 0–10.7 6.2$ (\pm 0.04) $ 1.8627 236.42 0–10.7 5.8$ (\pm 0.06 $) 1.5516 219.50 0–9.5 8.1$ (\pm 0.06) $ 1.7100 表 4 采用甲醇-乙醇-水混合溶液做传压介质时PbCO3-Ⅱ相的拉曼峰对应的位置、dν/dp和
${{\gamma}}$ Table 4. Raman modes and the values of dν/dp and mode Grüneisen parameters (
${{\gamma}}$ ) for PbCO3-Ⅱ phase in the mixture of MEW pressure transmitting medium${\nu }{_{\mathrm{i}0}}$/cm−1 Pressure range/GPa $\dfrac{\mathrm{d}\nu }{\mathrm{d}p} \Big/({\rm{cm} }{^{-1} }\cdot {\rm{GPa} }{^{-1} })$ $\gamma $ 1177.48 10.5–15.6 3.4($ \pm 0.12$) 0.0420 1109.79 14.6–24.2 0.6($\pm 0.06$) 0.0239 803.90 10.5–15.6 −1.5($\pm 0.06$) −0.0821 847.27 14.6–15.6 −1.1($ \pm 0.04 $) 0.0604 698.60 10.5–15.6 0.5($ \pm 0.04 $) 0.0334 775.90 10.5–15.6 3.5($ \pm 0.07) $ 0.2329 798.67 10.5–15.6 3.9($ \pm 0.03 $) 0.2586 148.69 10.5–15.6 1.3($ \pm 0.04 $) 0.5200 181.70 15.6–15.6 1.6($ \pm 0.07) $ 0.5290 332.09 10.5–15.6 6.8($ \pm 0.07) $ 1.8720 307.06 10.5–15.6 6.8$ (\pm 0.03) $ 2.1950 395.80 10.5–15.6 6.4($ \pm 0.06 $) 1.2210 表 5 采用甲醇-乙醇混合溶液做传压介质时PbCO3-Ⅰ相的拉曼峰对应的位置、dν/dp和
${{\gamma}}$ Table 5. Raman modes and the values of dν/dp and mode Grüneisen parameters (
${{\gamma}}$ ) for PbCO3-Ⅰ phase in the mixture of methanol-ethanol pressure transmitting medium${\nu }{_{\mathrm{i}0}}$/cm−1 Pressure range/GPa $\dfrac{\mathrm{d}\nu }{\mathrm{d}p} \Big/({\rm{cm} }{^{-1} }\cdot {\rm{GPa} }{^{-1} })$ $\gamma $ 1088.20 0–10.0 1.7($ \pm 0.12$) 0.0990 847.63 0–9.5 −0.8($\pm 0.06$) −0.0589 868.45 0–9.5 −0.7($ \pm 0.04 $) −0.0503 674.65 0–10.0 0.3($ \pm 0.04 $) 0.0281 690.66 0–9.5 1.5($ \pm 0.07) $ 0.1398 692.35 0–9.5 0.9($ \pm 0.03 $) 0.0838 110.70 0–10.0 0.6($ \pm 0.04 $) 0.3673 162.67 0–9.5 3.6($ \pm 0.07) $ 1.7964 190.30 0–10.0 3.9$ (\pm 0.03) $ 1.6220 192.44 0–7.8 2.4($ \pm 0.06 $) 0.8703 286.00 0–9.5 7.1$ (\pm 0.06) $ 2.0378 表 6 采用甲醇-乙醇混合溶液做传压介质时PbCO3-Ⅱ相的拉曼峰对应的位置、dν/dp和
${{\gamma}}$ Table 6. Raman modes and the values of dν/dp and mode Grüneisen parameters (
${{\gamma}}$ ) for PbCO3-Ⅱ phase in the mixture of methanol-ethanol pressure transmitting medium${\nu }{_{\mathrm{i}0}}$/cm−1 Pressure range/GPa $\dfrac{\mathrm{d}\nu }{\mathrm{d}p} \Big/({\rm{cm} }{^{-1} }\cdot {\rm{GPa} }{^{-1} })$ $\gamma $ 1124.78 10.0–15.4 1.7($ \pm 0.12$) 0.0710 824.88 10.0–15.4 −0.8($\pm 0.06$) −0.0439 856.89 14.2–29.0 −0.7($ \pm 0.04 $) 0.0367 691.92 10.0–15.4 0.3($ \pm 0.04 $) 0.0200 715.70 10.0–15.4 1.5($ \pm 0.07) $ 0.0995 706.60 10.0–15.4 0.9($ \pm 0.03 $) 0.0592 126.19 10.0–15.4 0.6($ \pm 0.04 $) 0.2402 207.51 10.0–15.4 3.6($ \pm 0.07) $ 1.1100 178.50 10.0–15.4 3.9$ (\pm 0.03) $ 1.0050 248.32 10.0–15.4 2.4($ \pm 0.06 $) 0.5223 表 7 采用甲醇-乙醇混合溶液做传压介质时PbCO3-Ⅲ相的拉曼峰对应的位置、dν/dp和
${{\gamma}}$ Table 7. Raman modes and the values of dν/dp and mode Grüneisen parameters (
${{\gamma}}$ ) for PbCO3-Ⅲ phase in the mixture of methanol-ethanol pressure transmitting medium${\nu }{_{\mathrm{i}0}}$/cm−1 Pressure range/GPa $\dfrac{\mathrm{d}\nu }{\mathrm{d}p} \Big/({\rm{cm} }{^{-1} }\cdot {\rm{GPa} }{^{-1} })$ $\gamma $ 1278.87 15.4–30.2 2.1($\pm 0.12$) 0.2326 1205.66 15.4–30.2 1.3($\pm 0.03$) 0.1623 810.95 15.4–30.2 −0.2($\pm 0.06$) −0.0395 845.17 15.4–30.2 −0.2($ \pm 0.04 $) −0.0390 694.33 15.4–30.2 0.5($ \pm 0.07 $) 0.1018 898.37 15.4–30.2 2.8($ \pm 0.07) $ 0.5183 912.60 15.4–30.2 2.6($ \pm 0.03 $) 0.4767 187.60 15.4–30.2 0.8($ \pm 0.04 $) 0.8090 369.96 15.4–30.2 2.2($ \pm 0.07) $ 1.2900 280.19 15.4–30.2 2.1($ \pm 0.06) $ 1.9164 417.77 15.4–30.2 2.5($\pm 0.05$) 1.3500 表 8 几种碳酸盐矿物质的化学键键长对比
Table 8. Comparison of bond length of several carbonate minerals
-
[1] MCGETCHIN T R, BESANCON J R. Carbonate inclusions in mantle-derived pyropes [J]. Earth and Planetary Science Letters, 1973, 18(3): 408–410. doi: 10.1016/0012-821X(73)90096-4 [2] KUSHIRO I. Carbonate-silicate reactions at high presures and possible presence of dolomite and magnesite in the upper mantle [J]. Earth and Planetary Science Letters, 1975, 28(2): 116–120. doi: 10.1016/0012-821X(75)90218-6 [3] 宋文磊, 许成, 刘琼, 等. 火成碳酸岩的实验岩石学研究及对地球深部碳循环的意义 [J]. 地质论评, 2012, 58(4): 726–744. doi: 10.3969/j.issn.0371-5736.2012.04.014SONG W L, XU C, LIU Q, et al. Experimental petrological study of carbonatite and its significances on the earth deep carbon cycle [J]. Geological Review, 2012, 58(4): 726–744. doi: 10.3969/j.issn.0371-5736.2012.04.014 [4] 穆巴拉克 • 木里提江. 碳酸盐的高温高压稳定性及碳循环问题的研究 [D]. 乌鲁木齐: 新疆大学, 2019.MUBARAK M. Study on high pressure and high temperature stability of carbonate and deep Earth’s carbon cycle [D]. Urumqi: Xinjiang University, 2019. [5] SANTILLÁN J, WILLIAMS Q, KNITTLE E. Dolomite-Ⅱ: a high-pressure polymorph of CaMg(CO3)2 [J]. Geophysical Research Letters, 2003, 30(2): 1054. doi: 10.1029/2002GL016018 [6] MINCH R, PETERS L, EHM L, et al. Evidence for the existence of a PbCO3-Ⅱ phase from high pressure X-ray measurements [J]. Zeitschrift für Kristallographie, 2010, 225(4): 146–152. doi: 10.1524/zkri.2010.1194 [7] GAO J, WU X, QIN S, et al. Pressure-induced phase transformations of PbCO3 by X-ray diffraction and Raman spectroscopy [J]. High Pressure Research, 2016, 36(1): 1–15. doi: 10.1080/08957959.2015.1118475 [8] CATALLI K, SANTILLÁN J, WILLIAMS Q. A high pressure infrared spectroscopic study of PbCO3-cerussite: constraints on the structure of the post-aragonite phase [J]. Physics and Chemistry of Minerals, 2005, 32(5/6): 412–417. doi: 10.1007/s00269-005-0010-9 [9] LIN C C, LIU L G. High pressure phase transformations in aragonite-type carbonates [J]. Physics and Chemistry of Minerals, 1997, 24(2): 149–157. doi: 10.1007/s002690050028 [10] MINCH R, DUBROVINSKY L, KURNOSOV A, et al. Raman spectroscopic study of PbCO3 at high pressures and tempera-tures [J]. Physics and Chemistry of Minerals, 2010, 37(1): 45–56. doi: 10.1007/s00269-009-0308-0 [11] KAMINSKII A A, BOHATÝ L, RHEE H, et al. Cerussite, PbCO3: a new stimulated Raman scattering (SRS)-active crystal with high-order Stokes and anti-Stokes lasing: on the 50th anniversary of the discovery of stimulated Raman scattering [J]. Laser & Photonics Reviews, 2013, 7(3): 425–431. doi: 10.1002/lpor.201200123 [12] ZHANG Y F, LIU J, QIN Z X, et al. A high-pressure study of PbCO3 by XRD and Raman spectroscopy [J]. Chinese Physics C, 2013, 37(3): 038001. doi: 10.1088/1674-1137/37/3/038001 [13] MAO H K, BELL P M. Crystal-field effects in spinel: oxidation states of iron and chromium [J]. Geochimica et Cosmochimica Acta, 1975, 39(6/7): 865–866. doi: 10.1016/0016-7037(75)90032-0 [14] 徐济安. 金刚石砧高压实验中压强传递介质对实验的影响—镁铝榴石状态方程的实验测定 [J]. 高压物理学报, 1987, 1(2): 97–101. doi: 10.11858/gywlxb.1987.02.001XU J A. The effect of pressure transmitting medium on the high pressure experiments in diamond anvil cell (DAC): experimental measurement of the equation of state (EOS) of pyrope [J]. Chinese Journal of High Pressure Physics, 1987, 1(2): 97–101. doi: 10.11858/gywlxb.1987.02.001 [15] 张书霞. 高温高压合成实验所用传压介质的研究 [D]. 成都: 四川大学, 2006.ZHANG S X. A study on pressure mediums for high pressure and high temperature experiment [D]. Chengdu: Sichuan University, 2006. [16] KIRSCHNER S M, WATSON J K G. Sextic centrifugal distortion of tetrahedral molecules [J]. Journal of Molecular Spectroscopy, 1973, 47(2): 347–350. doi: 10.1016/0022-2852(73)90018-0 [17] YANG J, DENG W, LI Q, et al. Strength enhancement of nanocrystalline tungsten under high pressure [J]. Matter and Radiation at Extremes, 2020, 5(5): 058401. doi: 10.1063/5.0005395 [18] CHEN B. Exploring nanomechanics with high-pressure techniques [J]. Matter and Radiation at Extremes, 2020, 5(6): 068104. doi: 10.1063/5.0032600 [19] LAVINA B, DERA P, DOWNS R T, et al. Siderite at lower mantle conditions and the effects of the pressure-induced spin-pairing transition [J]. Geophysical Research Letters, 2009, 36(23): L23306. doi: 10.1029/2009GL039652 [20] LIANG W, YIN Y, LI Z M, et al. Single crystal growth, crystalline structure investigation and high-pressure behavior of impurity-free siderite (FeCO3) [J]. Physics and Chemistry of Minerals, 2018, 45(9): 831–842. doi: 10.1007/s00269-018-0965-y [21] 穆巴拉克 • 木里提江, 艾尼瓦尔 • 吾术尔, 王静, 等. 碳酸钡在高温及高压下的相变行为 [J]. 材料导报, 2019, 33(12): 4062–4065.MOLUTJAN M, HUSHUR A, WANG J, et al. Phase transition of BaCO3 under high temperature and high pressure [J]. Materials Reports, 2019, 33(12): 4062–4065. [22] ONO S, KIKEGAWA T, OHISHI Y, et al. Post-aragonite phase transformation in CaCO3 at 40 GPa [J]. American Mineralogist, 2005, 90(4): 667–671. doi: 10.2138/am.2005.1610 -





下载:













