Dynamic Response of Narce-Like Brick and Mortar Structure under Impact Load
-
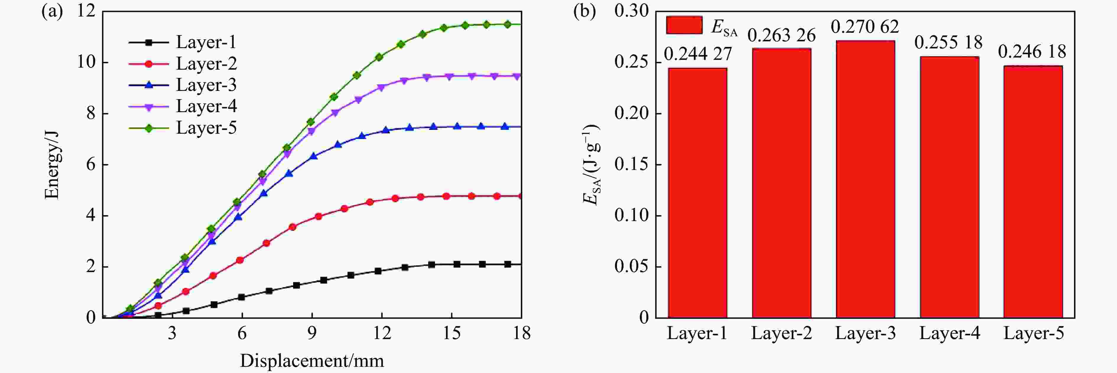
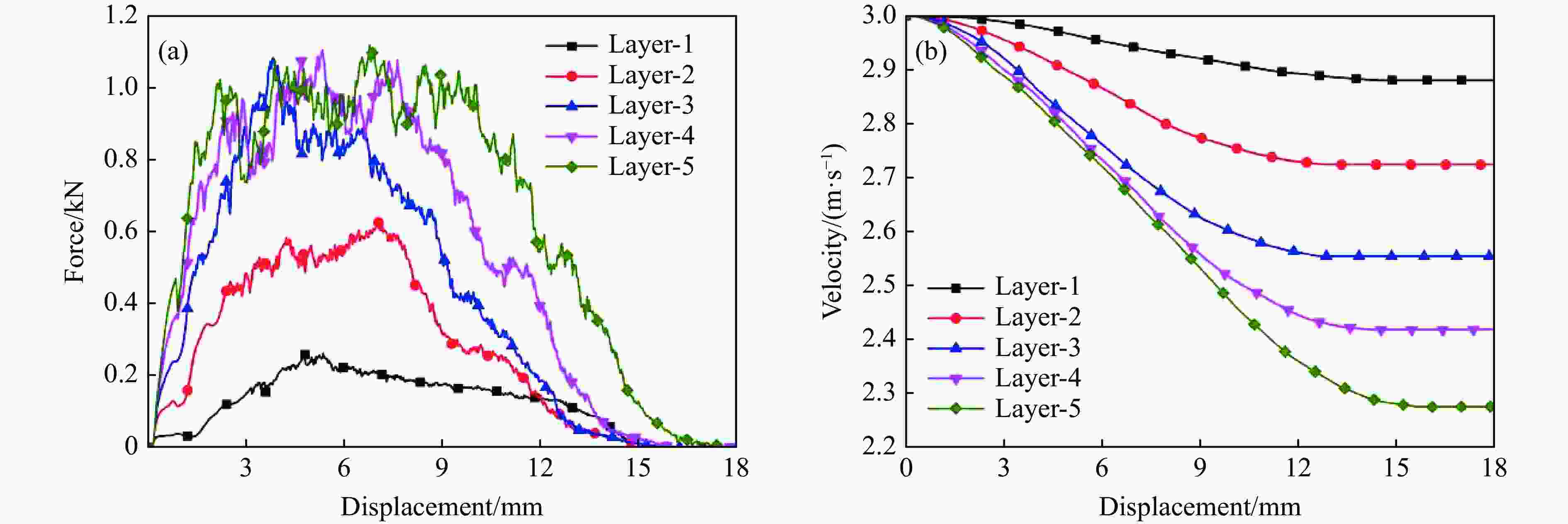
摘要: 贝壳作为典型的抗冲击生物材料,具有轻质、高强、高韧等优异性能。通过构建仿贝壳砖泥结构有限元模型,并对其在落锤冲击载荷下的动态响应进行数值模拟,分析了堆叠层数、冲击速度及锤头类型对仿贝壳砖泥结构能量吸收性能的影响。结果表明:5类堆叠层数下的仿贝壳砖泥结构的比吸能呈先增加后减小的变化趋势,并且在所设计的5类堆叠层数结构中,3层仿贝壳砖泥结构具有最大的比吸能,其值较比吸能最小的单层结构提高了10.8%;随着冲击速度的提升,结构载荷峰值及能量吸收均略有增大;相同锤径下,圆柱形锤头较半球形锤头更易穿透模型。Abstract: As a typical impact resistant bio-material, shell shows excellent properties such as light weight, high strength and high toughness. In this paper, the finite element model of nacre-like brick and mortar structure is constructed and its dynamic response under the impact load of drop hammer is numerically simulated. The effects of the number of stacked layers, impact velocity and hammer type on the energy absorption performance of nacre-like brick and mortar structure are analyzed. The results show that the specific energy absorption of nacre-like brick and mortar structures under the five types of stacked layers increases first and then decreases; and the three-layer nacre-like brick and mortar structure has the largest ratio among the five types of stacked layer structures designed, the value of the specific energy absorption is increased by 10.8% compared with the single-layer structure. With the increase of impact velocity, the peak load and energy absorption of the structure increase slightly. Under the same hammer diameter, the cylindrical hammer is easier to penetrate the model than the hemispherical hammer.
-
图 1 仿贝壳砖泥结构构建流程:(a) 单层砖、泥单胞模型,(b) 单层单胞装配,(c) 3层及5层单胞模型,(d) 整体模型平面图
Figure 1. Flowchart of construction of nacre-like brick and mortar structure: (a) unit model of single layer brick and mortar, (b) assembly of single layer brick and mortar, (c) unit models of three-layer and five-layer, (d) plane of the overall model
图 7 5类不同结构最大压缩位移时刻的变形:(a) 单层结构,(b) 双层结构,(c) 3层结构,(d) 4层结构,(e) 5层结构
Figure 7. Deformation diagram at the time of maximum compression displacement of five types of structures: (a) single-layer structure, (b) two-layer structure, (c) three-layer structure, (d) four-layer structure, (e) five-layer structure
表 1 砖类硬质材料参数
Table 1. Material parameters of brick
Material Density/(kg·m–3) Young’s modulus/GPa Poisson’s ratio Failure stress/MPa VeroWhite Plus 1 200 1.4 0.3 60 Material Density/(kg·m–3) Bulk modulus/GPa Static shear modulus/MPa Dynamic shear modulus/MPa Failure strain Tango Plus 1 200 10 0.83 10 1 表 3 锤头材料参数
Table 3. Material parameters of hammer
Material Density/(kg·m–3) Young’s modulus/GPa Poisson’s ratio Stainless steel 7 850 200 0.3 -
[1] JIA Z A, YU Y, HOU S Y, et al. Biomimetic architected materials with improved dynamic performance [J]. Journal of the Mechanics and Physics of Solids, 2019, 125: 178–197. doi: 10.1016/j.jmps.2018.12.015 [2] JIA Z A, YU Y, WANG L F. Learning from nature: use material architecture to break the performance tradeoffs [J]. Materials and Design, 2019, 168: 107650. doi: 10.1016/j.matdes.2019.107650 [3] JIA Z A, WANG L F. 3D printing of biomimetic composites with improved fracture toughness [J]. Acta Materialia, 2019, 173: 61–73. doi: 10.1016/j.actamat.2019.04.052 [4] WEGST U G K, BAI H, SAIZ E, et al. Bioinspired structural materials [J]. Nature Materials, 2015, 14(1): 23–36. doi: 10.1038/nmat4089 [5] STUDART A R. Towards high-performance bioinspired composites [J]. Advanced Materials, 2012, 24(37): 5024–5044. doi: 10.1002/adma.201201471 [6] 张学骜, 王建方, 吴文健, 等. 贝壳珍珠层生物矿化及其对仿生材料的启示 [J]. 无机材料学报, 2006, 21(2): 257–266. doi: 10.3321/j.issn:1000-324X.2006.02.001ZHANG X A, WANG J F, WU W J, et al. Advances in biomineralization of nacreous layer and its inspiration for biomimetic materials [J]. Journal of Inorganic Materials, 2006, 21(2): 257–266. doi: 10.3321/j.issn:1000-324X.2006.02.001 [7] 孙娜, 吴俊涛, 江雷. 贝壳珍珠层及其仿生材料的研究进展 [J]. 高等学校化学学报, 2011, 32(10): 2231–2239.SUN N, WU J T, JIANG L. Research progress of nacre and biomimetic synthesis of nacre-like materials [J]. Chemical Journal of Chinese Universities, 2011, 32(10): 2231–2239. [8] 赵赫威, 郭林. 仿贝壳珍珠母层状复合材料的制备及应用 [J]. 科学通报, 2017, 62(6): 576–589. doi: 10.1360/N972016-00754ZHAO H W, GUO L. Synthesis and applications of layered structural composites inspired by nacre [J]. Chinese Science Bulletin, 2017, 62(6): 576–589. doi: 10.1360/N972016-00754 [9] MEYERS M A, CHEN P Y, LIN A Y M, et al. Biological materials: structure and mechanical properties [J]. Progress in Materials Science, 2008, 53(1): 1–206. doi: 10.1016/j.pmatsci.2007.05.002 [10] 侯东芳, 周根树, 郑茂盛. 贝壳珍珠层断裂过程的原位观察及其增韧机制分析 [J]. 材料科学与工程学报, 2007, 25(3): 388–391. doi: 10.3969/j.issn.1673-2812.2007.03.016HOU D F, ZHOU S G, ZHENG M S. In situ SEM observation of crack propagation and analysis of the toughening mechanism in nacre [J]. Journal of Materials Science and Engineering, 2007, 25(3): 388–391. doi: 10.3969/j.issn.1673-2812.2007.03.016 [11] FENG Q L, CUI F Z, PU G, et al. Crystal orientation, toughening mechanisms and a mimic of nacre [J]. Materials Science and Engineering C, 2000, 11(1): 19–25. doi: 10.1016/S0928-4931(00)00138-7 [12] 马骁勇, 梁海弋, 王联凤. 三维打印贝壳仿生结构的力学性能 [J]. 科学通报, 2016, 61(7): 728–734. doi: 10.1360/N972015-00263MA X Y, LIANG H Y, WANG L F. Multi-materials 3D printing application of shell biomimetic structure [J]. Chinese Science Bulletin, 2016, 61(7): 728–734. doi: 10.1360/N972015-00263 [13] 侯祥龙, 雷建银, 李世强, 等. 3D打印贝壳仿生复合材料的拉伸力学行为 [J]. 高压物理学报, 2020, 34(1): 014102.HOU X L, LEI J Y, LI S Q, et al. Tension mechanical behavior of 3D printed composite materials inspired by nacre [J]. Chinese Journal of High Pressure Physics, 2020, 34(1): 014102. [14] GU G X, TAKAFFOLI M, BUEHLER M J. Hierarchically enhanced impact resistance of bioinspired composites [J]. Advanced Materials, 2017, 29(28): 1700060. doi: 10.1002/adma.201700060 [15] WU X D, MENG X S, ZHANG H G. An experimental investigation of the dynamic fracture behavior of 3D printed nacre-like composites [J]. Journal of the Mechanical Behavior of Biomedical Materials, 2020, 112: 104068. doi: 10.1016/j.jmbbm.2020.104068 -

下载: