High Pressure Studies on Superconductivity of Strongly Correlated Electron Systems
-
摘要: 具有强关联电子特性的凝聚态系统中,电子间的强关联性主导系统的宏观量子特性。这类系统具有电荷、自旋、轨道、晶格及拓扑等多重自由度,这些自由度强烈耦合,产生复杂的多体相互作用,导致系统出现丰富奇异的量子现象,如非常规超导电性、庞磁电阻、金属-绝缘体转变、拓扑量子相变等。其中,非常规超导体的研究于近几十年取得了不少进展,例如发现了铜氧化物高温超导电性和铁基超导体,然而导致非常规超导电性的原因,尤其是对高温超导电性的机理认识目前尚不清楚,非常规超导机理一直是凝聚态物理研究领域中最具挑战性的问题之一。为此,简要介绍了近年来我们通过高压实验手段在重费米子超导体、铜氧化物超导体和铁基超导体这3类主要的非常规超导体研究中取得的进展、发现的新现象以及反映的新物理机理,包括磁性和超导电性的演化关系、价态变化对超导电性的影响、铜氧化物的普适压力相图等,旨在提供非常规超导体在高压研究方面的一些实验新进展,以期为更好地理解非常规超导的微观机理提供压力维度下的一些信息。Abstract: The coexistence and interplay between spin, charge, orbital and lattice in electron correlated systems give rise to many interesting quantum phenomena, including unconventional superconductivity, colossal magnetoresistance, metal-insulator transition, topological phase transition, etc. While, as one of the most important issues in condensed matter physics, the mechanism of the unconventional high temperature superconductivity is still unclear up to now. In this paper, we report some new phenomena/physics obtained from our high pressure studies on three typically unconventional superconductors—heavy fermion superconductor, cuprate high temperature superconductor and iron-based superconductor, which include the correlation between magnetism and superconductivity, the influence of valence change on superconductivity, the discovery of superconductivity reemerging, the bi-critical points, and the universal transition from superconducting to insulating-like states, etc. These high-pressure experimental results on the unconventional superconductors are expected to provide useful information for a better understanding on the unconventional superconducting mechanism.
-
Key words:
- high pressure /
- strongly correlated electron systems /
- superconductivity /
- magnetic order
-
图 1 (a) CeRhGe3的压力-温度相图(橄榄色的空心正方形是从文献[56]中选取的转变温度TN1);(b) CeTX3化合物的
$T_{\rm{c}}^{\rm{max}} $ 与相应临界体积Vcrit之间的关系[59]Figure 1. (a) Pressure-temperature phase diagram of CeRhGe3, in which the olive hollow square is the transition temperature TN1 adopted from Ref.[56]; (b) relation between
$T_{\rm{c}}^{\rm{max}} $ and the critical volume Vcrit for CeTX3[59]图 2 (a) CeRhGe3和CeIrGe3的超导转变温度Tc和反铁磁转变温度TN随压力(p)的变化(黄色圆点和紫色圆点分别代表CeRhGe3的TN和Tc;黑色空心圆和黑色实心圆分别代表CeIrGe3 的TN和Tc [51]); (b) 室温时不同压力下CeRhGe3中Ce-LⅢ的X射线吸收光谱;(c) CeRhGe3中Ce的平均价态随压力的变化[66]
Figure 2. (a) Evolutions of the superconducting transition temperatures Tc and the AFM transition temperatures TN with pressure p for CeRhGe3 and CeIrGe3, the open and filled black circles represent the TN and the Tc of CeIrGe3[51]; (b) Ce-LⅢ X-ray absorption spectra of CeRhGe3 at room temperature for various pressures; (c) pressure dependence of the mean valence of Ce ions in CeRhGe3[66]
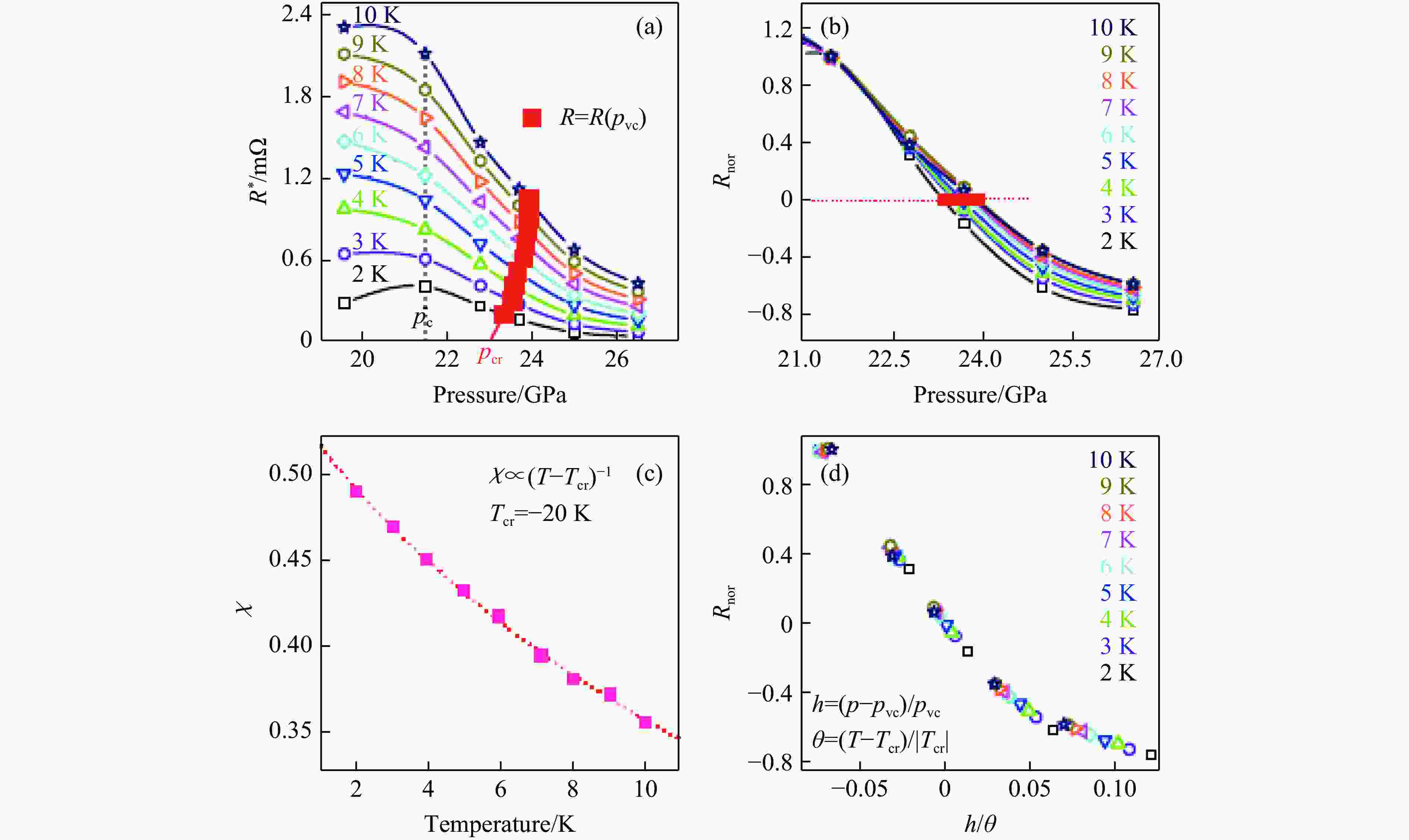
图 3 CeRhGe3在pc(21.5 GPa)附近时低温电阻的标度化分析:(a) 2~10 K时等温电阻(R*=R−R0)随压力的变化(红色正方形代表pc处的R*下降50%时的压力pvc和温度,红线代表pvc随温度变化的关系,外延至零温得到一阶价态相变的临界终点对应的压力pcr);(b) 归一化等温电阻Rnor(Rnor = [R*−R*(pvc)]/R*(pvc))随压力的变化(红色正方形对应图3(a)中的红色正方形);(c) 归一化等温电阻在pvc时的斜率(
$\,\chi$ = |dRnor/dp|pvc)随温度的变化(红色虚线代表Curie-Weiss拟合,得到Tcr = −20 K);(d) 归一化等温电阻作为广义距离h/$ \theta$ 的函数时的塌缩行为(h = (p− pvc)/pvc,$\theta $ = (T − Tcr )/|Tcr | [66] )Figure 3. Scaling analysis of low-temperature resistance for CeRhGe3 at pressures near pc ≈ 21.5 GPa: (a) pressure dependence of the isothermal resistance R* (R* = R−R0 ) at selected temperature range of 2 K≤T≤10 K (The red squares indicate the pressure pvc and the temperatures at which R* drops by 50% from its value at the critical pressure pc, and the red line represents the relation between pvc and temperature, and it’s extrapolation of the square data to 0 K gives the critical end point pressure of the phase transition of the first-order valence state pcr.); (b) normalized resistance Rnor (Rnor = [R*−R*(pvc)]/R*(pvc)) as a function of pressure, the red squares are equivalent to those presented in Fig.3(a); (c) temperature dependence of the Rnor slope
$\,\chi$ ($\,\chi$ = |dRnor/dp$|_{p_{\rm{vc}}} $ ) at pvc, the red dashed line represents a Curie-Weiss fit, yielding Tcr = −20 K; (d) collapse of normalized Rnor data as a function of the generalized distance h/$\theta $ from the critical end point, where h = (p− pvc)/pvc and$\theta $ = (T − Tcr )/|Tcr| [66]图 4 最佳掺杂的Bi2Sr2CaCu2O8+δ在不同压力下的Rab、Rc和交流磁化率Δ
$\,\chi $ '随温度的变化:(a)~(d)为6.0、7.5、8.2和9.0 GPa下归一化后的Rab和Rc随温度变化曲线,(e)~(h)为0.8、2.9、5.5、10.3 GPa下归一化电阻(R/R120 K)和交流磁化率随温度变化曲线[93]Figure 4. Rab, Rc and Δ
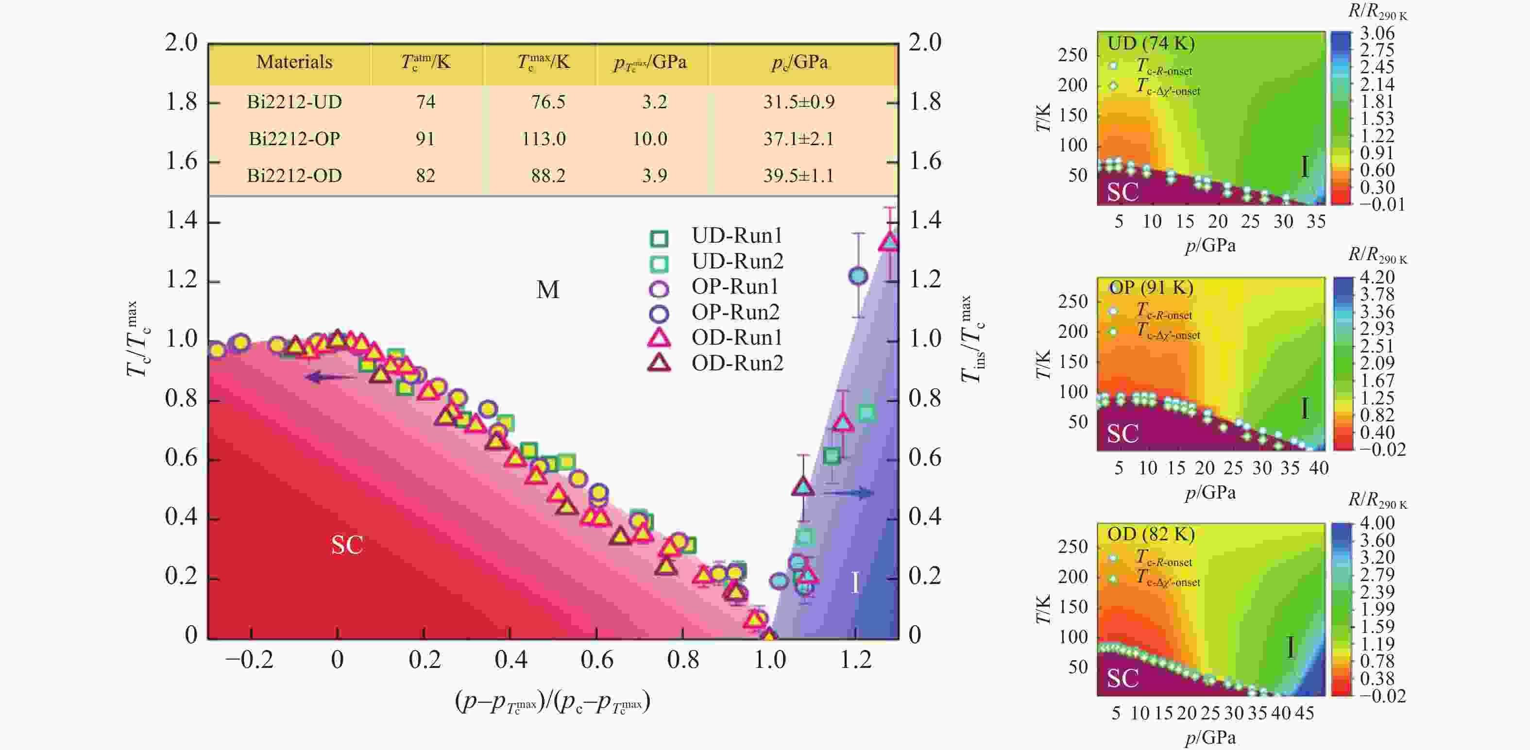
$\,\chi $ ' as a function of temperature for optimally doped Bi2Sr2CaCu2O8+δ: normalized Rab(T) and Rc(T) measured at pressures of 6.0 GPa (a), 7.5 GPa (b), 8.2 GPa (c) and 9.0 GPa (d); Δ$\,\chi $ ' and R/R120 K at pressures of 0.8 GPa (e), 2.9 GPa (f), 5.5 GPa (g) and 10.3 GPa (h) [93]图 6 Bi2Sr2CaCu2O8+δ超导体的普适温度-压力相图(右侧是欠掺杂、最佳掺杂和过掺杂Bi2Sr2CaCu2O8+δ超导体的温度-压力相图[94])
Figure 6. Pressure -Tc phase diagrams for Bi2Sr2CaCu2O8+δ superconductors (Right panels are the phase diagrams established by the experimental results from the under-doped (UD), optimally-doped (OP) and over-doped (OD) samples[94].)
图 9 (a) K0.8FexSe2(x=1.70, 1.78)的Tc和采用公式
$\,\rho $ =$\,\rho $ 0+ATa拟合电阻-温度曲线得到的指数α随压力的演化,(b) K0.8Fe1.78Se2 在不同压力下的X射线衍射谱(波长0.6888 Å),(c) Fe空位的超晶格峰的峰强随压力的变化[134]Figure 9. (a) Pressure dependence of the superconducting transition temperature Tc, and the power α obtained from the fits by relation
$\,\rho $ =$\,\rho $ 0+ATa for K0.8FexSe2 (x=1.70, 1.78) single crystals; (b) X-ray diffraction patterns of K0.8Fe1.78Se2, performed with a wavelength of 0.6888 Å; (c) intensity of the superstructure peak (110) of Fe vacancies as a function of pressure[134] -
[1] 罗习刚, 吴涛, 陈仙辉. 非常规超导体及其物性 [J]. 物理, 2017, 46(8): 499–513. doi: 10.7693/wl20170802LUO X G, WU T, CHEN X H. Unconventional superconductors and their physical properties [J]. Physics, 2017, 46(8): 499–513. doi: 10.7693/wl20170802 [2] STEWART G R. Unconventional superconductivity [J]. Advances in Physics, 2017, 66(1/2): 75–196. [3] 杨义峰. 重费米子材料中的反常物性 [J]. 物理, 2014, 43(2): 80–87. doi: 10.7693/wl20140201YANG Y F. Anomalous properties of heavy fermion materials [J]. Physics, 2014, 43(2): 80–87. doi: 10.7693/wl20140201 [4] 沈斌, 袁辉球. 磁性量子相变 [J]. 物理, 2020, 49(9): 570–578. doi: 10.7693/wl20200901SHEN B, YUAN H Q. Magnetic quantum phase transitions [J]. Physics, 2020, 49(9): 570–578. doi: 10.7693/wl20200901 [5] 焦琳. 重费米子超导 [J]. 物理, 2020, 49(9): 586–594. doi: 10.7693/wl20200903JIAO L. Heavy fermion superconductors [J]. Physics, 2020, 49(9): 586–594. doi: 10.7693/wl20200903 [6] PROUST C, TAILLEFER L. The remarkable underlying ground states of cuprate superconductors [J]. Annual Review of Condensed Matter Physics, 2019, 10: 409–429. doi: 10.1146/annurev-conmatphys-031218-013210 [7] BARDEEN J, COOPER L N, SCHRIEFFER J R. Theory of superconductivity [J]. Physical Review, 1957, 108(5): 1175–1204. doi: 10.1103/PhysRev.108.1175 [8] STEGLICH F, AARTS J, BREDL C D, et al. Superconductivity in the presence of strong pauli paramagnetism: CeCu2Si2 [J]. Physical Review Letters, 1979, 43(25): 1892–1896. doi: 10.1103/PhysRevLett.43.1892 [9] BEDNORZ J G, MÜLLER K A. Possible high Tc superconductivity in the Ba-La-Cu-O system [J]. Zeitschrift für Physik B Condensed Matter, 1986, 64(2): 189–193. [10] CHU C W, GAO L, CHEN F, et al. Superconductivity above 150 K in HgBa2Ca2Cu3O8+δ at high-pressure [J]. Nature, 1993, 365(6444): 323–325. doi: 10.1038/365323a0 [11] SCHILLING A, CANTONI M, GUO J D, et al. Superconductivity above 130 K in the Hg-Ba-Ca-Cu-O system [J]. Nature, 1993, 363(6424): 56–58. doi: 10.1038/363056a0 [12] GAO L, XUE Y Y, CHEN F, et al. Superconductivity up to 164-K in HgBa2Ca m–1Cu mO2 m+2+δ (m=1, 2, and 3) under quasihydrostatic pressures [J]. Physical Review B, 1994, 50(6): 4260–4263. doi: 10.1103/PhysRevB.50.4260 [13] ORENSTEIN J, MILLIS A J. Advances in the physics of high-temperature superconductivity [J]. Science, 2000, 288(5465): 468–474. doi: 10.1126/science.288.5465.468 [14] DAMASCELLI A, HUSSAIN Z, SHEN Z X. Angle-resolved photoemission studies of the cuprate superconductors [J]. Reviews of Modern Physics, 2003, 75(2): 473–541. doi: 10.1103/RevModPhys.75.473 [15] NORMAN M R, PÉPIN C. The electronic nature of high temperature cuprate superconductors [J]. Reports on Progress in Physics, 2003, 66(10): 1547–1610. doi: 10.1088/0034-4885/66/10/R01 [16] FISCHER Ø, KUGLER M, MAGGIO-APRILE I, et al. Scanning tunneling spectroscopy of high-temperature superconductors [J]. Reviews of Modern Physics, 2007, 79(1): 353–419. doi: 10.1103/RevModPhys.79.353 [17] MENG J Q, LIU G D, ZHANG W T, et al. Coexistence of Fermi arcs and Fermi pockets in a high-Tc copper oxide superconductor [J]. Nature, 2009, 462(7271): 335–338. doi: 10.1038/nature08521 [18] ARMITAGE N P, FOURNIER P, GREENE R L. Progress and perspectives on electron-doped cuprates [J]. Reviews of Modern Physics, 2010, 82(3): 2421–2487. doi: 10.1103/RevModPhys.82.2421 [19] WU M K, ASHBURN J R, TORNG C J, et al. Superconductivity at 93 K in a new mixed-phase Y-Ba-Cu-O compound system at ambient pressure [J]. Physical Review Letters, 1987, 58(9): 908–910. doi: 10.1103/PhysRevLett.58.908 [20] BARIŠIĆ N, CHAN M K, LI Y, et al. Universal sheet resistance and revised phase diagram of the cuprate high-temperature superconductors [J]. Proceedings of the National Academy of Sciences of the United States of America, 2013, 110(30): 12235–12240. doi: 10.1073/pnas.1301989110 [21] CHU C W, DENG L Z, LV B. Hole-doped cuprate high temperature superconductors [J]. Physica C: Superconductivity and its Applications, 2015, 514: 290–313. doi: 10.1016/j.physc.2015.02.047 [22] BOŽOKVIĆ I, HE X, WU J, et al. Dependence of the critical temperature in overdoped copper oxides on superfluid density [J]. Nature, 2016, 536(7616): 309–311. doi: 10.1038/nature19061 [23] GREENE R L, MANDAL P R, PONIATOWSKI N R, et al. The strange metal state of the electron-doped cuprates [J]. Annual Review of Condensed Matter Physics, 2020, 11: 213–229. doi: 10.1146/annurev-conmatphys-031119-050558 [24] KAMIHARA Y, WATANABE T, HOSONO H, et al. Iron-based layered superconductor La[O1– xF x]FeAs (x=0.05–0.12) with Tc=26 K [J]. Journal of the American Chemical Society, 2008, 130(11): 3296–3297. doi: 10.1021/ja800073m [25] MAO H K, CHEN X J, DING Y, et al. Solids, liquids, and gases under high pressure [J]. Reviews of Modern Physics, 2018, 90(1): 015007. doi: 10.1103/RevModPhys.90.015007 [26] FLORES-LIVAS J A, BOERI L, SANNA A, et al. A perspective on conventional high-temperature superconductors at high pressure: methods and materials [J]. Physics Reports, 2020, 856: 1–78. doi: 10.1016/j.physrep.2020.02.003 [27] SCHILLING J S. What high pressure studies have taught us about high-temperature superconductivity [M]//HOCHHEIMER H D, KUCHTA B, DORHOUT P K, et al. Frontiers of High Pressure Research Ⅱ: Application of High Pressure to Low-Dimensional Novel Electronic Materials. Dordrecht: Springer, 2001: 345−360. [28] CHEN Y, WENG Z F, MICHAEL S, et al. High-pressure studies on heavy fermion systems [J]. Chinese Physics B, 2016, 25(7): 077401. doi: 10.1088/1674-1056/25/7/077401 [29] 衣玮, 吴奇, 孙力玲. 压力下铁砷基化合物的超导电性研究 [J]. 物理学报, 2017, 66(3): 037402. doi: 10.7498/aps.66.037402YI W, WU Q, SUN L L. Superconductivities of pressurized iron pnictide superconductors [J]. Acta Physica Sinica, 2017, 66(3): 037402. doi: 10.7498/aps.66.037402 [30] 郭静, 吴奇, 孙力玲. 高压下的铁基超导体: 现象与物理 [J]. 物理学报, 2018, 67(20): 207409. doi: 10.7498/aps.67.20181651GUO J, WU Q, SUN L L. Pressure-induced phenomena and physics in iron-based superconductors [J]. Acta Physica Sinica, 2018, 67(20): 207409. doi: 10.7498/aps.67.20181651 [31] GATI E, XIANG L, BUD’KO S L, et al. Hydrostatic and uniaxial pressure tuning of iron-based superconductors: insights into superconductivity, magnetism, nematicity, and collapsed tetragonal transitions [J]. Annalen der Physik, 2020, 532(10): 2000248. doi: 10.1002/andp.202000248 [32] 程金光, 孙建平. 铁硒基超导体的高压研究进展 [J]. 中国科学: 物理学 力学 天文学, 2021, 51(4): 047403.CHENG J G, SUN J P. Pressure effects on the FeSe-based superconductors [J]. Scientia Sinica Physica, Mechanica & Astronomica, 2021, 51(4): 047403. [33] DAGOTTO E. Colloquium: the unexpected properties of alkali metal iron selenide superconductors [J]. Reviews of Modern Physics, 2013, 85(2): 849–866. doi: 10.1103/RevModPhys.85.849 [34] CHU C W, LORENZ B. High pressure studies on Fe-pnictide superconductors [J]. Physica C: Superconductivity, 2009, 469(9): 385–395. [35] SEFAT A S. Pressure effects on two superconducting iron-based families [J]. Reports on Progress in Physics, 2011, 74(12): 124502. doi: 10.1088/0034-4885/74/12/124502 [36] 郭静, 孙力玲. 压力下碱金属铁硒基超导体中的现象与物理 [J]. 物理学报, 2015, 64(21): 217406. doi: 10.7498/aps.64.217406GUO J, SUN L L. Phenomena and findings in pressurized alkaline iron selenide superconductors [J]. Acta Physica Sinica, 2015, 64(21): 217406. doi: 10.7498/aps.64.217406 [37] 杨义峰, 李宇. 重费米子超导与竞争序 [J]. 物理学报 2015, 64(21): 217401.YANG Y F, LI Y. Heavy-fermion superconductivity and competing orders [J]. Acta Physica Sinica, 2015, 64(21): 217401. [38] PFLEIDERER C. Superconducting phases of f-electron compounds [J]. Reviews of Modern Physics, 2009, 81(4): 1551–1624. doi: 10.1103/RevModPhys.81.1551 [39] WHITE B D, THOMPSON J D, MAPLE M B. Unconventional superconductivity in heavy-fermion compounds [J]. Physica C: Superconductivity and its Applications, 2015, 514: 246–278. doi: 10.1016/j.physc.2015.02.044 [40] 谢武, 沈斌, 张勇军, 等. 重费米子材料与物理 [J]. 物理学报, 2019, 68(17): 177101. doi: 10.7498/aps.68.20190801XIE W, SHEN B, ZHANG Y J, et al. Heavy fermion materials and physics [J]. Acta Physica Sinica, 2019, 68(17): 177101. doi: 10.7498/aps.68.20190801 [41] YUAN H Q, GROSCHE F M, DEPPE M, et al. Observation of two distinct superconducting phases in CeCu2Si2 [J]. Science, 2003, 302(5653): 2104–2107. doi: 10.1126/science.1091648 [42] BAUER E, SIGRIST M. Non-centrosymmetric superconductors: introduction and overview [M]. Berlin Heidelberg: Springer-Verlag, 2012: 35−79. [43] SMIDMAN M, SALAMON M B, YUAN H Q, et al. Superconductivity and spin-orbit coupling in non-centrosymmetric materials: a review [J]. Reports on Progress in Physics, 2017, 80(3): 036501. doi: 10.1088/1361-6633/80/3/036501 [44] GOR’KOV L P, RASHBA E I. Superconducting 2D system with lifted spin degeneracy: mixed singlet-triplet state [J]. Physical Review Letters, 2001, 87(3): 037004. doi: 10.1103/PhysRevLett.87.037004 [45] SIGRIST M, AGTERBERG D F, FRIGERI P A, et al. Superconductivity in non-centrosymmetric materials [J]. Journal of Magnetism and Magnetic Materials, 2007, 310(2): 536–540. doi: 10.1016/j.jmmm.2006.10.141 [46] EOM D, ISHIKAWA M, KITAGAWA J, et al. Suppression of antiferromagnetism by kondo effect and quantum critical behavior in CeCoGe3– xSi x (0≤x≤3) [J]. Journal of the Physical Society of Japan, 1998, 67(7): 2495–2500. doi: 10.1143/JPSJ.67.2495 [47] KAWAI T, MURANAKA H, MEASSON M A, et al. Magnetic and superconducting properties of CeTX3 (T: transition metal and X: Si and Ge) with non-centrosymmetric crystal structure [J]. Journal of the Physical Society of Japan, 2008, 77(6): 064716. doi: 10.1143/JPSJ.77.064716 [48] KIMURA N, MURO Y, AOKI H. Normal and superconducting properties of noncentrosymmetric heavy fermion CeRhSi3 [J]. Journal of the Physical Society of Japan, 2007, 76(5): 051010. doi: 10.1143/JPSJ.76.051010 [49] SUGITANI I, OKUDA Y, SHISHIDO H, et al. Pressure-induced heavy-fermion superconductivity in antiferromagnet CeIrSi3 without inversion symmetry [J]. Journal of the Physical Society of Japan, 2006, 75(4): 043703. doi: 10.1143/JPSJ.75.043703 [50] SETTAI R, SUGITANI I, OKUDA Y, et al. Pressure-induced superconductivity in CeCoGe3 without inversion symmetry [J]. Journal of Magnetism and Magnetic Materials, 2007, 310(2): 844–846. doi: 10.1016/j.jmmm.2006.10.717 [51] HONDA F, BONALDE I, SHIMIZU K, et al. Pressure-induced superconductivity and large upper critical field in the noncentrosymmetric antiferromagnet CeIrGe3 [J]. Physical Review B, 2010, 81(14): 140507(R). doi: 10.1103/PhysRevB.81.140507 [52] KIMURA N, ITO K, SAITOH K, et al. Pressure-induced superconductivity in noncentrosymmetric heavy-fermion CeRhSi3 [J]. Physical Review Letters, 2005, 95(24): 247004. doi: 10.1103/PhysRevLett.95.247004 [53] SETTAI R, OKUDA Y, SUGITANI I, et al. Non-centrosymmetric heavy fermion superconductivity in CeCoGe3 [J]. International Journal of Modern Physics B, 2007, 21(18/19): 3238–3245. [54] KIMURA N, ITO K, AOKI H, et al. Extremely high upper critical magnetic field of the noncentrosymmetric heavy fermion superconductor CeRhSi3 [J]. Physical Review Letters, 2007, 98(19): 197001. doi: 10.1103/PhysRevLett.98.197001 [55] SETTAI R, MIYAUCHI Y, TAKEUCHI T, et al. Huge upper critical field and electronic instability in pressure-induced superconductor CeIrSi3 without inversion symmetry in the crystal structure [J]. Journal of the Physical Society of Japan, 2008, 77(7): 073705. doi: 10.1143/JPSJ.77.073705 [56] KAWAI T, NAKASHIMA M, OKUDA Y, et al. Pressure effect of electronic states in antiferromagnets CeTX3 (T: transition metal, X: Si and Ge) [J]. Journal of the Physical Society of Japan, 2007, 76(Suppl 1): 166–167. [57] SUGAWARA T, IIDA H, AOKI H, et al. Absence of quantum criticality and presence of superconducting fluctuation in pressure-induced heavy-fermion superconductor CeRhSi3 [J]. Journal of the Physical Society of Japan, 2012, 81(5): 054711. doi: 10.1143/JPSJ.81.054711 [58] LANDAETA J F, SUBERO D, CATALÁ D, et al. Unconventional superconductivity and quantum criticality in the heavy fermions CeIrSi3 and CeRhSi3 [J]. Physical Review B, 2018, 97(10): 104513. doi: 10.1103/PhysRevB.97.104513 [59] WANG H H, GUO J, BAUER E D, et al. Superconductivity in pressurized CeRhGe3 and related noncentrosymmetric compounds [J]. Physical Review B, 2018, 97(6): 064514. doi: 10.1103/PhysRevB.97.064514 [60] PARK T, SIDOROV V A, RONNING F, et al. Isotropic quantum scattering and unconventional superconductivity [J]. Nature, 2008, 456(7220): 366–368. doi: 10.1038/nature07431 [61] SAADAOUI H, SALMAN Z, LUETKENS H, et al. The phase diagram of electron-doped La2− xCe xCuO4−δ [J]. Nature Communications, 2015, 6(1): 6041. doi: 10.1038/ncomms7041 [62] FUJITA M, KUBO T, KUROSHIMA S, et al. Magnetic and superconducting phase diagram of electron-doped Pr1− xLaCe xCuO4 [J]. Physical Review B, 2003, 67(1): 014514. doi: 10.1103/PhysRevB.67.014514 [63] DREW A J, NIEDERMAYER C, BAKER P J, et al. Coexistence of static magnetism and superconductivity in SmFeAsO1− xF x as revealed by muon spin rotation [J]. Nature Materials, 2009, 8(4): 310–314. doi: 10.1038/nmat2396 [64] CAI P, ZHOU X D, RUAN W, et al. Visualizing the microscopic coexistence of spin density wave and superconductivity in underdoped NaFe1− xCo xAs [J]. Nature Communications, 2013, 4(1): 1596. doi: 10.1038/ncomms2592 [65] DAI P C, HU J P, DAGOTTO E. Magnetism and its microscopic origin in iron-based high-temperature superconductors [J]. Nature Physics, 2012, 8(10): 709–718. doi: 10.1038/nphys2438 [66] WANG H H, GUO J, BAUER E D, et al. Anomalous connection between antiferromagnetic and superconducting phases in the pressurized noncentrosymmetric heavy-fermion compound CeRhGe3 [J]. Physical Review B, 2019, 99(2): 024504. doi: 10.1103/PhysRevB.99.024504 [67] ONISHI Y, MIYAKE K. Enhanced valence fluctuations caused by f-c coulomb interaction in Ce-based heavy electrons: possible origin of pressure-induced enhancement of superconducting transition temperature in CeCu2Ge2 and related compounds [J]. Journal of the Physical Society of Japan, 2000, 69(12): 3955–3964. doi: 10.1143/JPSJ.69.3955 [68] SEYFARTH G, RÜETSCHI A S, SENGUPTA K, et al. Heavy fermion superconductor CeCu2Si2 under high pressure: multiprobing the valence crossover [J]. Physical Review B, 2012, 85(20): 205105. doi: 10.1103/PhysRevB.85.205105 [69] WATANABE S, MIYAKE K. Roles of critical valence fluctuations in Ce- and Yb-based heavy fermion metals [J]. Journal of Physics: Condensed Matter, 2011, 23(9): 094217. doi: 10.1088/0953-8984/23/9/094217 [70] SARRAO J L, IMMER C D, FISK Z, et al. Physical properties of YbXCu4 (X=Ag, Au, Cd, Mg, Tl, and Zn) compounds [J]. Physical Review B, 1999, 59(10): 6855–6866. doi: 10.1103/PhysRevB.59.6855 [71] YAMAOKA H, IKEDA Y, JARRIGE I, et al. Role of valence fluctuations in the superconductivity of Ce122 compounds [J]. Physical Review Letters, 2014, 113(8): 086403. doi: 10.1103/PhysRevLett.113.086403 [72] YAMAOKA H, YAMAMOTO Y, SCHWIER E F, et al. Pressure and temperature dependence of the Ce valence and c-f hybridization gap in CeTIn5 (T=Co, Rh, Ir) heavy-fermion superconductors [J]. Physical Review B, 2015, 92(23): 235110. doi: 10.1103/PhysRevB.92.235110 [73] YAMAOKA H, JARRIGE I, TSUJII N, et al. Pressure and temperature dependences of the electronic structure of CeIrSi3 probed by resonant X-ray emission spectroscopy [J]. Journal of the Physical Society of Japan, 2011, 80(12): 124701. doi: 10.1143/JPSJ.80.124701 [74] BRUBAKER Z E, STILLWELL R L, CHOW P, et al. Pressure dependence of Ce valence in CeRhIn5 [J]. Journal of Physics: Condensed Matter, 2018, 30(3): 035601. doi: 10.1088/1361-648X/aa9e2b [75] American Physical Society. Celebrating 125 years of The Physical Review [EB/OL]. [2021-10-11]. https://journals.aps.org/ 125years. [76] ZAANEN J. Superconducting electrons go missing [J]. Nature, 2016, 536(7616): 282–283. doi: 10.1038/536282a [77] VISHIK I M. Photoemission perspective on pseudogap, superconducting fluctuations, and charge order in cuprates: a review of recent progress [J]. Reports on Progress in Physics, 2018, 81(6): 062501. doi: 10.1088/1361-6633/aaba96 [78] DING H, YOKOYA T, CAMPUZANO J C, et al. Spectroscopic evidence for a pseudogap in the normal state of underdoped high-Tc superconductors [J]. Nature, 1996, 382(6586): 51–54. doi: 10.1038/382051a0 [79] ZAANEN J. Planckian dissipation, minimal viscosity and the transport in cuprate strange metals [J]. SciPost Physics, 2019, 6(5): 61. doi: 10.21468/SciPostPhys.6.5.061 [80] AGTERBERG D F, DAVIS J C S, EDKINS S D, et al. The physics of pair-density waves: cuprate superconductors and beyond [J]. Annual Review of Condensed Matter Physics, 2020, 11(1): 231–270. doi: 10.1146/annurev-conmatphys-031119-050711 [81] KEIMER B, KIVELSON S A, NORMAN M R, et al. From quantum matter to high-temperature superconductivity in copper oxides [J]. Nature, 2015, 518(7538): 179–186. doi: 10.1038/nature14165 [82] MIYAKAWA N, ZASADZINSKI J F, OONUKI S, et al. Implications of tunneling studies on high-Tc cuprates: superconducting gap and pseudogap [J]. Physica C: Superconductivity and its Applications, 2001, 364/365: 475–479. doi: 10.1016/S0921-4534(01)00824-3 [83] RENNER C, REVAZ B, GENOUD J Y, et al. Pseudogap precursor of the superconducting gap in under- and overdoped Bi2Sr2CaCu2O8+δ [J]. Physical Review Letters, 1998, 80(1): 149–152. doi: 10.1103/PhysRevLett.80.149 [84] EMERY V J, KIVELSON S A. Importance of phase fluctuations in superconductors with small superfluid density [J]. Nature, 1995, 374(6521): 434–437. doi: 10.1038/374434a0 [85] SAINI N L, AVILA J, BIANCONI A, et al. Topology of the pseudogap and shadow bands in Bi2Sr2CaCu2O8+δ at optimum doping [J]. Physical Review Letters, 1997, 79(18): 3467–3470. doi: 10.1103/PhysRevLett.79.3467 [86] HUSSEY N E, ABDEL-JAWAD M, CARRINGTON A, et al. A coherent three-dimensional Fermi surface in a high-transition-temperature superconductor [J]. Nature, 2003, 425(6960): 814–817. doi: 10.1038/nature01981 [87] PLATÉ M, MOTTERSHEAD J D F, ELFIMOV I S, et al. Fermi surface and quasiparticle excitations of overdoped Tl2Ba2CuO6+δ [J]. Physical Review Letters, 2005, 95(7): 077001. doi: 10.1103/PhysRevLett.95.077001 [88] VIGNOLLE B, CARRINGTON A, COOPER R A, et al. Quantum oscillations in an overdoped high-Tc superconductor [J]. Nature, 2008, 455(7215): 952–955. doi: 10.1038/nature07323 [89] KLOTZ S, SCHILLING J S. Hydrostatic pressure dependence of the superconducting transition temperature to 7 GPa in Bi2Ca1Sr2Cu2O8+ y as a function of oxygen content [J]. Physica C: Superconductivity, 1993, 209(4): 499–506. doi: 10.1016/0921-4534(93)90566-9 [90] CHEN X J, STRUZHKIN V V, HEMLEY R J, et al. High-pressure phase diagram of Bi2Sr2CaCu2O8+δ single crystals [J]. Physical Review B, 2004, 70(21): 214502. doi: 10.1103/PhysRevB.70.214502 [91] CHEN X J, STRUZHKIN V V, YU Y, et al. Enhancement of superconductivity by pressure-driven competition in electronic order [J]. Nature, 2010, 466(7309): 950–953. doi: 10.1038/nature09293 [92] DENG L Z, ZHENG Y P, WU Z, et al. Higher superconducting transition temperature by breaking the universal pressure relation [J]. Proceedings of the National Academy of Sciences of the United States of America, 2019, 116(6): 2004–2008. doi: 10.1073/pnas.1819512116 [93] GUO J, ZHOU Y Z, HUANG C, et al. Crossover from two-dimensional to three-dimensional superconducting states in bismuth-based cuprate superconductor [J]. Nature Physics, 2020, 16(3): 295–300. doi: 10.1038/s41567-019-0740-0 [94] ZHOU Y Z, GUO J, CAI S, et al. Universal quantum transition from superconducting to insulating states in pressurized Bi2Sr2CaCu2O8+δ superconductors [EB/OL]. https://arxiv.org/abs/2012.07523. [95] ZHANG J B, DING Y, CHEN C C, et al. Evolution of a novel ribbon phase in optimally doped Bi2Sr2CaCu2O8+δ at high pressure and its implication to high-Tc superconductivity [J]. The Journal of Physical Chemistry Letters, 2018, 9(15): 4182–4188. doi: 10.1021/acs.jpclett.8b01849 [96] GAO P W, SUN L L, NI N, et al. Pressure-induced superconductivity and its scaling with doping-induced superconductivity in the iron pnictide with skutterudite intermediary layers [J]. Advanced Materials, 2014, 26(15): 2346–2351. doi: 10.1002/adma.201305154 [97] LEE H, PARK E, PARK T, et al. Pressure-induced superconducting state of antiferromagnetic CaFe2As2 [J]. Physical Review B, 2009, 80(2): 024519. doi: 10.1103/PhysRevB.80.024519 [98] COLOMBIER E, BUD’KO S L, NI N, et al. Complete pressure-dependent phase diagrams for SrFe2As2 and BaFe2As2 [J]. Physical Review B, 2009, 79(22): 224518. doi: 10.1103/PhysRevB.79.224518 [99] KURITA N, KIMATA M, KODAMA K, et al. Phase diagram of pressure-induced superconductivity in EuFe2As2 probed by high-pressure resistivity up to 3.2 GPa [J]. Physical Review B, 2011, 83(21): 214513. doi: 10.1103/PhysRevB.83.214513 [100] ROTTER M, TEGEL M, JOHRENDT D. Superconductivity at 38 K in the iron arsenide (Ba1– xK x)Fe2As2 [J]. Physical Review Letters, 2008, 101(10): 107006. doi: 10.1103/PhysRevLett.101.107006 [101] NI N, ALLRED J M, CHAN B C, et al. High Tc electron doped Ca10(Pt3As8)(Fe2As2)5 and Ca10(Pt4As8)(Fe2As2)5 superconductors with skutterudite intermediary layers [J]. Proceedings of the National Academy of Sciences of the United States of America, 2011, 108(45): E1019–E1026. doi: 10.1073/pnas.1110563108 [102] KUDO K, MIZUKAMI T, KITAHAMA Y, et al. Enhanced superconductivity up to 43 K by P/Sb doping of Ca1− xLa xFeAs2 [J]. Journal of the Physical Society of Japan, 2014, 83(2): 025001. doi: 10.7566/JPSJ.83.025001 [103] KATAYAMA N, KUDO K, ONARI S, et al. Superconductivity in Ca1– xLa xFeAs2: a novel 112-type iron pnictide with arsenic zigzag bonds [J]. Journal of the Physical Society of Japan, 2013, 82(12): 123702. doi: 10.7566/JPSJ.82.123702 [104] SAHA S R, DRYE T, GOH S K, et al. Segregation of antiferromagnetism and high-temperature superconductivity in Ca1− xLa xFe2As2 [J]. Physical Review B, 2014, 89(13): 134516. doi: 10.1103/PhysRevB.89.134516 [105] GATI E, KÖHLER S, GUTERDING D, et al. Hydrostatic-pressure tuning of magnetic, nonmagnetic, and superconducting states in annealed Ca(Fe1− xCo x)2As2 [J]. Physical Review B, 2012, 86(22): 220511(R). doi: 10.1103/PhysRevB.86.220511 [106] KAWASAKI S, MABUCHI T, MAEDA S, et al. Doping-enhanced antiferromagnetism in Ca1− xLa xFeAs2 [J]. Physical Review B, 2015, 92(18): 180508(R). doi: 10.1103/PhysRevB.92.180508 [107] JIANG S, LIU C, CAO H B, et al. Structural and magnetic phase transitions in Ca0.73La0.27FeAs2 with electron-overdoped FeAs layers [J]. Physical Review B, 2016, 93(5): 054522. doi: 10.1103/PhysRevB.93.054522 [108] ZHOU Y Z, JIANG S, WU Q, et al. Observation of a bi-critical point between antiferromagnetic and superconducting phases in pressurized single crystal Ca0.73La0.27FeAs2 [J]. Science Bulletin, 2017, 62(12): 857–862. doi: 10.1016/j.scib.2017.05.027 [109] ZHANG S C. A unified theory based on SO(5) symmetry of superconductivity and antiferromagnetism [J]. Science, 1997, 275(5303): 1089–1096. doi: 10.1126/science.275.5303.1089 [110] BANKS H B, BI W, SUN L, et al. Dependence of magnetic ordering temperature of doped and undoped EuFe2As2 on hydrostatic pressure to 0.8 GPa [J]. Physica C: Superconductivity and its Applications, 2011, 471(15/16): 476–479. [111] JIANG S, XING H, XUAN G F, et al. Superconductivity up to 30 K in the vicinity of the quantum critical point in BaFe2(As1− xP x)2 [J]. Journal of Physics: Condensed Matter, 2009, 21(38): 382203. doi: 10.1088/0953-8984/21/38/382203 [112] REN Z, TAO Q, JIANG S, et al. Superconductivity induced by phosphorus doping and its coexistence with ferromagnetism in EuFe2(As0.7P0.3)2 [J]. Physical Review Letters, 2009, 102(13): 137002. doi: 10.1103/PhysRevLett.102.137002 [113] SUN L L, GUO J, CHEN G F, et al. Valence change of europium in EuFe2As1.4P0.6 and compressed EuFe2As2 and its relation to superconductivity [J]. Physical Review B, 2010, 82(13): 134509. doi: 10.1103/PhysRevB.82.134509 [114] GUO J, WU Q, FENG J, et al. Correlation between intercalated magnetic layers and superconductivity in pressurized EuFe2(As0.81P0.19)2 [J]. Europhysics Letters, 2015, 111(5): 57007. doi: 10.1209/0295-5075/111/57007 [115] HSU F C, LUO J Y, MAO H K, et al. Superconductivity in the PbO-type structure α-FeSe [J]. Proceedings of the National Academy of Sciences of the United States of America, 2008, 105(38): 14262–14264. doi: 10.1073/pnas.0807325105 [116] IMAI T, AHILAN K, NING F L, et al. Why does undoped FeSe become a high-Tc superconductor under pressure? [J]. Physical Review Letters, 2009, 102(17): 177005. doi: 10.1103/PhysRevLett.102.177005 [117] SUN J P, MATSUURA K, YE G Z, et al. Dome-shaped magnetic order competing with high-temperature superconductivity at high pressures in FeSe [J]. Nature Communications, 2016, 7(1): 12146. doi: 10.1038/ncomms12146 [118] LIU T J, HU J, QIAN B, et al. From ( $\text{π} $ , 0) magnetic order to superconductivity with ($\text{π} $ ,$\text{π} $ ) magnetic resonance in Fe1.02Te1− xSe x [J]. Nature Materials, 2010, 9(9): 718–720. doi: 10.1038/nmat2800[119] ZHANG P, YAJI K, HASHIMOTO T, et al. Observation of topological superconductivity on the surface of an iron-based superconductor [J]. Science, 2018, 360(6385): 182–186. doi: 10.1126/science.aan4596 [120] LIN G C, GUO J, SUN L L, et al. Correlation between Fermi surface reconstruction and superconductivity in pressurized FeTe0.55Se0.45 [J]. Physical Review B, 2020, 101(21): 214525. doi: 10.1103/PhysRevB.101.214525 [121] GUO J G, JIN S F, WANG G, et al. Superconductivity in the iron selenide K xFe2Se2 (0≤x≤1.0) [J]. Physical Review B, 2010, 82(18): 180520(R). doi: 10.1103/PhysRevB.82.180520 [122] FANG M H, WANG H D, DONG C H, et al. Fe-based superconductivity with Tc=31 K bordering an antiferromagnetic insulator in (Tl, K) Fe xSe2 [J]. Europhysics Letters, 2011, 94(2): 27009. doi: 10.1209/0295-5075/94/27009 [123] WANG H D, DONG C H, LI Z J, et al. Superconductivity at 32 K and anisotropy in Tl0.58Rb0.42Fe1.72Se2 crystals [J]. Europhysics Letters, 2011, 93(4): 47004. doi: 10.1209/0295-5075/93/47004 [124] YAN X W, GAO M, LU Z Y, et al. Ternary iron selenide K0.8Fe1.6Se2 is an antiferromagnetic semiconductor [J]. Physical Review B, 2011, 83(23): 233205. doi: 10.1103/PhysRevB.83.233205 [125] RICCI A, POCCIA N, CAMPI G, et al. Nanoscale phase separation in the iron chalcogenide superconductor K0.8Fe1.6Se2 as seen via scanning nanofocused X-ray diffraction [J]. Physical Review B, 2011, 84(6): 060511(R). doi: 10.1103/PhysRevB.84.060511 [126] WANG Z, SONG Y J, SHI H L, et al. Microstructure and ordering of iron vacancies in the superconductor system K yFe xSe2 as seen via transmission electron microscopy [J]. Physical Review B, 2011, 83(14): 140505(R). doi: 10.1103/PhysRevB.83.140505 [127] CHEN F, XU M, GE Q Q, et al. Electronic identification of the parental phases and mesoscopic phase separation of K xFe2− ySe2 superconductors [J]. Physical Review X, 2011, 1(2): 021020. doi: 10.1103/PhysRevX.1.021020 [128] WANG C N, MARSIK P, SCHUSTER R, et al. Macroscopic phase segregation in superconducting K0.73Fe1.67Se2 as seen by muon spin rotation and infrared spectroscopy [J]. Physical Review B, 2012, 85(21): 214503. doi: 10.1103/PhysRevB.85.214503 [129] YUAN R H, DONG T, SONG Y J, et al. Nanoscale phase separation of antiferromagnetic order and superconductivity in K0.75Fe1.75Se2 [J]. Scientific Reports, 2012, 2(1): 221. doi: 10.1038/srep00221 [130] LI W, DING H, LI Z, et al. KFe2Se2 is the parent compound of K-doped iron selenide superconductors [J]. Physical Review Letters, 2012, 109(5): 057003. doi: 10.1103/PhysRevLett.109.057003 [131] DING X X, FANG D L, WANG Z Y, et al. Influence of microstructure on superconductivity in K xFe2− ySe2 and evidence for a new parent phase K2Fe7Se8 [J]. Nature Communications, 2013, 4(1): 1897. doi: 10.1038/ncomms2913 [132] SUN L L, MAO X J, GUO J, et al. Re-emerging superconductivity at 48 kelvin in iron chalcogenides [J]. Nature, 2012, 483(7387): 67–69. doi: 10.1038/nature10813 [133] GU D C, WU Q, ZHOU Y Z, et al. Superconductivity in pressurized Rb0.8Fe2− ySe2− xTe x [J]. New Journal of Physics, 2015, 17(7): 073021. doi: 10.1088/1367-2630/17/7/073021 [134] GUO J, CHEN X J, DAI J H, et al. Pressure-driven quantum criticality in iron-selenide superconductors [J]. Physical Review Letters, 2012, 108(19): 197001. doi: 10.1103/PhysRevLett.108.197001 [135] YE F, BAO W, CHI S X, et al. High-pressure single crystal neutron scattering study of magnetic and Fe vacancy orders in (Tl, Rb)2Fe4Se5 superconductor [J]. Chinese Physics Letters, 2014, 31(12): 127401. doi: 10.1088/0256-307X/31/12/127401 [136] GAO P W, YU R, SUN L L, et al. Role of the 245 phase in alkaline iron selenide superconductors revealed by high-pressure studies [J]. Physical Review B, 2014, 89(9): 094514. doi: 10.1103/PhysRevB.89.094514 [137] MIZUGUCHI Y, HARA Y, DEGUCHI K, et al. Anion height dependence of Tc for the Fe-based superconductor [J]. Superconductor Science and Technology, 2010, 23(5): 054013. doi: 10.1088/0953-2048/23/5/054013 [138] WANG H H, GUO J, SHAO Y T, et al. Pressure effects on superconductivity and structural parameters of ThFeAsN [J]. Europhysics Letters, 2018, 123(6): 67004. doi: 10.1209/0295-5075/123/67004 [139] BERSUKER I B. The Jahn-Teller effect [M]. Cambridge: Cambridge University Press, 2006: 616. [140] 戴鹏程, 李世亮. 高温超导体的磁激发: 探寻不同体系铜氧化合物的共同特征 [J]. 物理, 2006, 35(10): 837–844. doi: 10.3321/j.issn:0379-4148.2006.10.007DAI P C, LI S L. Magnetic excitations in high-temperature superconductors: search for universal features in different classes of copper oxides [J]. Physics, 2006, 35(10): 837–844. doi: 10.3321/j.issn:0379-4148.2006.10.007 [141] PARK T, THOMPSON J D. Magnetism and superconductivity in strongly correlated CeRhIn5 [J]. New Journal of Physics, 2009, 11(5): 055062. doi: 10.1088/1367-2630/11/5/055062 -



下载:














