Numerical Simulation of the Structure of Composite Liner to Enhance After-Effect
-
摘要: 针对增强聚能射流的破甲后效问题,设计了等壁平顶锥形铜铝双层复合药型罩装药结构,采用冲击波物理显示欧拉动力学软件SPEED开展复合射流成型及对钢-铝间隔靶侵彻过程的数值模拟,分析内外双层药型罩高度比
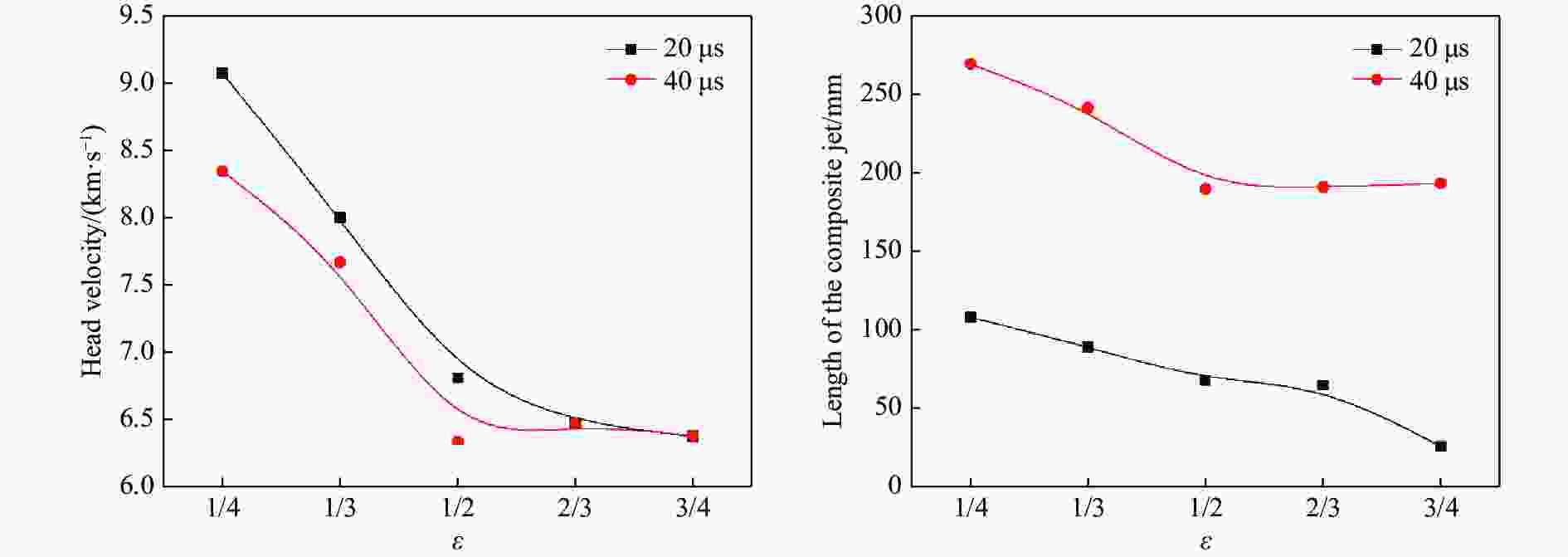
$\varepsilon $ 、药型罩锥角$\alpha $ 等参数对复合射流成型和间隔靶侵彻性能的影响规律。研究结果表明:复合射流的头部速度随$\varepsilon $ 增大呈先减小后增加的趋势,在ε约为1/2时,可形成具有相近速度的铜铝同轴复合射流微元,利于铝射流微元与目标相互作用实现后效增强毁伤;且当α在50°~60°范围内时,复合射流中段为集中的铝射流微元,更利于侵彻后的爆炸或爆燃反应。对优化参数的复合药型罩结构数值模拟结果与文献公布的实验结果吻合较好。研究结果对增强后效聚能装药设计具有参考价值。Abstract: To address the problem of the after-effect of the enhanced shaped charge jet penetrating armor, the cone-shaped flat-topped conical copper-aluminum double-layer composite charge structure was designed. Numerical simulation of the jet forming and penetration process of the steel-aluminum interval target with this structure was performed using Euler dynamics software SPEED. And the influence rules of parameters such as the height ratio$\varepsilon $ of the inner and outer liner, the cone angle α of the liner on the compound jet forming and the penetration of the interval target plate were analyzed. The research results show that the head velocity of the compound jet declined first and then rose with the increase of$\varepsilon $ . When$\varepsilon $ =1/2, a coaxial copper and aluminum compound jet element with similar velocity can be formed, which is conductive to strengthening the after-effect after the interaction between the aluminum jet and the target. When$\varepsilon $ is 55°~60°, the middle section of the compound jet is a concentrated aluminum jet element, which is more conducive to the intensified explosive reaction after penetration. It is found that the simulation results of the optimized parameters of the compound liner structure are perfectly consistent with the experimental results published in the literature. This research results have a certain reference value for the enhanced after-effect shaped charge design.-
Key words:
- shaped charge /
- after-effect enhancement /
- jet /
- numerical simulation /
- liner
-
表 1 材料模型
Table 1. Material model
Parts Material Equation of state Strength model Explosive JH-2 JWL Outer liner Al Shock Johnson-Cook Inner liner OFHC Shock Johnson-Cook Target 1 Steel Shock Johnson-Cook Target 2 Al Shock Johnson-Cook $\,\rho $0/(g·cm−3) D/(km·s−1) E0/GPa pCJ/GPa A/GPa B/GPa R1 R2 $\omega $ 1.7 8.40 10.0 30 56.4 6.801 4.1 1.3 0.36 表 3 罩体及靶板材料参数
Table 3. Material parameters of the liner material and target plate
Material $ \,\rho$/(g·cm−3) a/MPa b/MPa C N m Tm/K OFHC 8.96 90 292 0.025 0.31 1.09 1356 Al 2.70 324 114 0.002 0.42 1.34 925 Steel 7.83 792 510 0.014 0.26 1.03 1793 表 4 不同工况下复合射流成型过程
Table 4. Composite jet forming process with different working conditions
$\varepsilon $ Time of compound jet forming/μs 0 10 20 40 1/4 



1/3 



1/2 



2/3 



3/4 



表 5 不同α工况下典型时刻复合射流成型
Table 5. Compound jet forming process with different α
α/(º) Time of compound jet forming/μs
20
4050 

55 

60 

65 

-
[1] 郑宇, 王晓鸣, 李文彬, 等. 双层药型罩射流形成的理论建模与分析 [J]. 火炸药学报, 2008, 31(3): 10–14. doi: 10.3969/j.issn.1007-7812.2008.03.003ZHENG Y, WANG X M, LI W B, et al. Theoretical modeling and analysis on jet formation of double-layered conical liner [J]. Chinese Journal of Explosives & Propellants, 2008, 31(3): 10–14. doi: 10.3969/j.issn.1007-7812.2008.03.003 [2] 刘安帮. 双金属复合药型罩特性分析 [C]//破甲技术文集三. 西安: 五机部科研局, 1982: 158−162.LIU A B. Analysis of characteristics of bimetallic compound liner [C]//Proceedings of Anthology of Sunder Armor Technology Three. Xi'an: Scientific Research Bureau of the Fifth Machinery Ministry, 1982: 158−162. [3] MASON J S. Experimental testing of bimetallic and reactive shaped charge liners [D]. Illinois: University of Illinois at Urbana-Champaign, 2010. [4] LANGAN T, RILEY M A, BUCHTA M W. Reactive shaped charges and thermal spray methods of making same: US7278353 B2 [P]. 2007-10-09. [5] LEE S, KIM J, KIM S, et al. Performance comparison of double-layer liner for shaped charge fabricated using kinetic spray [J]. Journal of Thermal Spray Technology, 2019, 28(3): 484–494. doi: 10.1007/s11666-018-0807-y [6] 刘润滋. 含能复合药型罩的技术研究 [D]. 太原: 中北大学, 2016.LIU R Z. Research on technology of composite liners comprised of reactive material [D]. Taiyuan: North University of China, 2016. [7] 许世昌. 双层含能药型罩射流成型机理及侵彻性能研究 [D]. 南京: 南京理工大学, 2015.XU S C. Study on jet forming mechanism and penetration performance of double layer energetic liner [D]. Nanjing: Nanjing University of Science and Technology, 2015. [8] NUMERRICS G. Speed V2.3 user’s manual [Z]. 2016. -




下载:





