2025 Vol. 39, No. 8
Display Method:
2025, 39(8): 080101.
doi: 10.11858/gywlxb.20251078
Abstract:
2025, 39(8): 080201.
doi: 10.11858/gywlxb.20240948
Abstract:
2025, 39(8): 081101.
doi: 10.11858/gywlxb.20251028
Abstract:
2025, 39(8): 084101.
doi: 10.11858/gywlxb.20240966
Abstract:
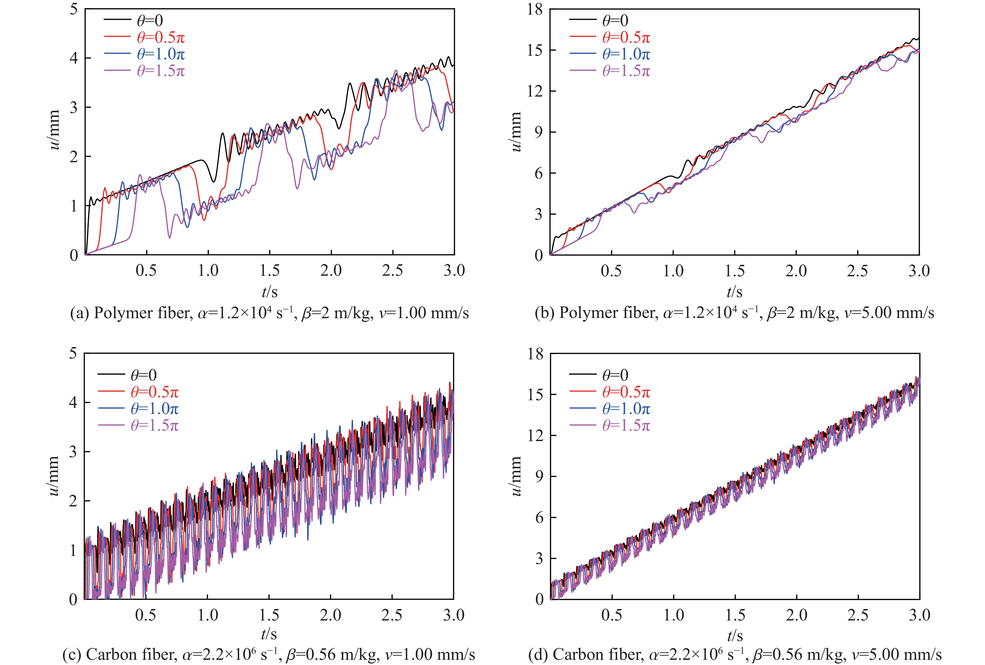
Investigations on the Stick-Slip Behavior and Dynamic Interface Friction Mechanisms of Fiber Winding
2025, 39(8): 084102.
doi: 10.11858/gywlxb.20240953
Abstract:
2025, 39(8): 084201.
doi: 10.11858/gywlxb.20251024
Abstract:
2025, 39(8): 084202.
doi: 10.11858/gywlxb.20240951
Abstract:
2025, 39(8): 085301.
doi: 10.11858/gywlxb.20251025
Abstract:
2025, 39(8): 085302.
doi: 10.11858/gywlxb.20240922
Abstract:
2025, 39(8): 085303.
doi: 10.11858/gywlxb.20240913
Abstract:
2025, 39(8): 085304.
doi: 10.11858/gywlxb.20240937
Abstract:

PDF
Cited by
HTML








