Recently Accepted

Recently Accepted articles have been peer-reviewed and accepted, which are not yet assigned to volumes/issues, but are citable by Digital Object Identifier (DOI).
Display Method:
Energy Conversion Characteristics and Temperature Field Simulation of Ignition Resistors for Industrial Electronic Detonators
LI Hongwei, ZHANG Liguo, ZHOU En, LIANG Hao, YANG Lin, ZHANG Wanlong
, Available online  , doi: 10.11858/gywlxb.20251124
Abstract:

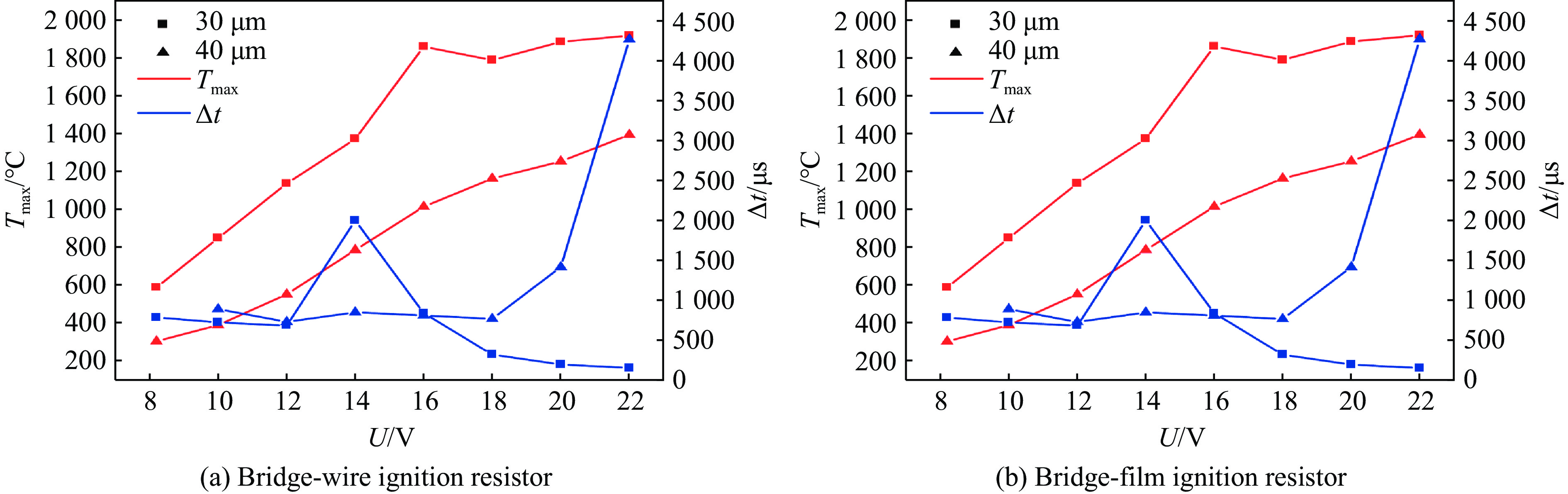
In order to study the dynamic changes of temperature during the ignition process of the ignition resistor and solve the matching problem of the energy storage capacitor-ignition resistor system, this study measures the voltage-current changes and temperature changes of the ignition resistor under different capacitor discharge voltages through electrothermal experiments, infrared temperature measurement and numerical simulation methods. Combined with the surface conditions of the unmelted samples, the critical fuse voltage of the ignition resistor was determined, and the law of the electrical characteristic curve and the temperature variation law of the ignition resistor were obtained. The results show that under the same voltage, the bridge membrane straight type has the shortest melting time. Under the same resistance value, the melting time and heating time of the bridge-film ignition resistor are shorter than those of the bridge-wire type, and the maximum temperature it can reach is also higher. For the bridge-wire type and bridge-film S type ignition resistors, heat is prone to accumulate at the corners and phase change occurs first during the power-on process.

Polyvinylidene Fluoride (PVDF) Phase Transitions under In-Situ High Pressure
ZHANG Shenghan, LI Ting, ZHANG Xiaojun, CHEN Zhiqiang
, Available online  , doi: 10.11858/gywlxb.20251174
Abstract:

Polyvinylidene fluoride (PVDF) is a versatile semi-crystalline polymer exhibiting outstanding piezoelectric, pyroelectric and dielectric properties, and is therefore widely employed in sensors, energy devices and biomedical applications. Its performance is governed by crystallinity and the polymorphic constitutiona (α, β, γ, δ, ε), among which the polar β-phase possesses superior electromechanical characteristics compared with the non-polar α-phase. Nevertheless, the α-phase remains the most stable and the most readily obtained thermodynamical form. The structural evolution of PVDF under high pressure is investigated by means of in situ X-ray diffraction and Fourier-transform infrared spectroscopy. At ambient conditions the powder consists primarily of the α-phase with a minor fraction of β. Upon compression to 0–20 GPa, the α phase gradually diminishes; the emergence of new diffraction peaks and band shifts indicates sequential αβ and βγ transformations, accompanied by a pronounced increase in β content and concomitant formation of γ. When the pressure exceeds 20 GPa, severe lattice distortion destroys long-range crystalline order, resulting in peak broadening and eventual amorphization. The study unveils the intricate interplay between pressure-induced chain rearrangement and polymorphic transitions, clarifies the high-pressure phase-transformation pathway and structural evolution of PVDF, and thereby deepens the structure–property understanding of this polymer. The findings also provide a theoretical basis for tailoring its performance under extreme conditions and for designing high-pressure technologies.

A WMA-SVM Model for Slope Stability Prediction
SUN Huafen, RAO Hui, HOU Kepeng, WANG Honglin, WANG Zeqi
, Available online  , doi: 10.11858/gywlxb.20251241
Abstract:
To enhance the prediction accuracy of data-driven models in slope stability classification, this study proposes a hybrid intelligent model (WMA-SVM) that integrates a novel Whale Migration Algorithm (WMA) with a Support Vector Machine (SVM). First, a heterogeneous dataset of slope cases from diverse engineering backgrounds was constructed. To address its significant class imbalance, a combined strategy using the Synthetic Minority Over-sampling Technique (SMOTE) and the Local Outlier Factor (LOF) algorithm was adopted to generate a high-quality balanced dataset. Subsequently, the WMA algorithm, which demonstrated superior optimization performance on eight benchmark test functions, was employed to optimize the hyperparameters of the SVM adaptively. Evaluation results show that the proposed WMA-SVM model significantly outperforms all benchmark models across various performance metrics. Moreover, based on the Permutation Feature Importance (PFI) method, the unit weight (γ), slope angle (β), and internal friction angle (φ) were identified as the most critical features influencing the classification outcomes for this dataset. Finally, the model's generalization capability was further validated through eight independent engineering case studies, revealing a high consistency between the predictions and the actual stability states. This research provides a modeling framework with considerable generalization potential for the intelligent analysis of slope stability.
Equivalent Bird-Strike Test Method and Fixture Design for the Trailing Edge of Aero-Engine Composite Fan Blades
SI Wulin, LI Wenhao, JIANG Xiaowei, LI You, ZHAO Zhenqiang, ZHANG Chao
, Available online  , doi: 10.11858/gywlxb.20251271
Abstract:
In order to investigate the response and damage behavior of aero-engine composite fan blades under bird-strike events, an equivalent bird-strike test method is proposed in which component-level flat plate specimens are used to replace full-scale fan blades, with the aim of reproducing the trailing-edge delamination observed in full-scale blades during bird strikes by means of component-level flat plate tests. By carrying out bird-strike tests and numerical simulations of flat plate specimens under different clamping schemes, the impact response characteristics of the specimens and the initiation and propagation of delamination damage under each scheme are systematically analyzed; on this basis, a component-level equivalent test method capable of effectively simulating trailing-edge delamination during the blade bird-strike process is proposed, and the baseline impact conditions that can induce one-sided trailing-edge delamination in typical composite laminates, including impact height, impact velocity and bird-cut ratio, are determined. Moreover, by comparing experimental and numerical results under different impact conditions, the accuracy of the numerical model is verified. On the basis of the validated numerical model, numerical simulations are further used to analyze the sensitivity of the established equivalent test method to the impact parameters, and to quantify the influence of impact height, impact velocity and bird-cut ratio on the impact response of composite flat plates. The results show that the equivalent test method proposed in this paper can reproduce, through composite flat plate tests, the local displacement response and delamination damage modes of full-scale blades under bird strikes, and that the experimental results exhibit good robustness.
Effects of Solid Inerting Agent on Magnesium Powder Explosion under Fuel-Rich Conditions
LI Runzhi, LIU Mingshuai, CAO Mengting, MENG Xiangbao, DING Jianxu, LI Shihang, HAN Zhiyue
, Available online  , doi: 10.11858/gywlxb.20251210
Abstract:
In order to prevent and control the deflagration hazard of magnesium powder in fuel-rich conditions, the explosion suppression test device was used to test the effect of solid inerting angets (Mg(OH)2, Ca(OH)2, Ca(HCO3)2) on the explosion characteristics of magnesium powder. The particle size and concentration were considered .The results show that in the range of 17~74 μm, the maximum explosion pressure increases with the decrease of particle size. The magnesium powder with 17 um diameter the best explosion concentration of 350 g/m3, the maximum explosion pressure of 0.716 MPa. The addition of Mg(OH)2, Ca(OH)2, and Ca(HCO3)2 inerting agents make the maximum explosion pressure and maximum pressure rise decrease, and the inerting mechanism of solid inerting agents on oxygen-enriched magnesium powder under oxygen-enriched conditions is revealed. Pressure and the maximum pressure rise rate decreased, and the inerting ratios of three inerting agents for effective inerting and complete inerting of magnesium powder were obtained, among which Mg(OH)2 inerting effect was the optimal, and the inerting ratios of reaching effective inerting and complete inerting were 170% and 220%, respectively. The inerting mechanisms of different inertants were revealed. Mg(OH)2 was inerted by the thermal decomposition to produce MgO isolation layer, which was adsorbed to the surface of magnesium particles to hinder oxygen contact. Ca(OH)2 was inerted only by thermal decomposition, and Ca(HCO3)2 was inerted by thermal decomposition to produce CO2 to enhance the inerting effect. The obtained conclusions provide an important reference for realizing the effective inerting of magnesium powder explosion under rich combustion conditions.
Damage of a New Shaped Warhead to Water-Containing Composite Structure
CUI He, FU Jianping, REN Kai, MIAO Chunzhuang, GAO Xiaotao, LI Taotao, FENG Xiongbo
, Available online  , doi: 10.11858/gywlxb.20251102
Abstract:

In order to improve the penetration capability of the shaped charge warhead to the water-containing composite structure, a truncated cone-sphere combined liner was designed, and its jet forming motion law in the water medium and the damage performance to the water-containing composite structure were explored by numerical simulation. It is found that in the process of penetrating the water-containing composite structure, the truncated cone-sphere combined liner has a larger jet length and a higher jet head velocity compared with the sub-hemisphere-sphere combined liner and the U-shaped-sphere combined liner. It also has the smallest cavity channel formed in the water medium and the radial expansion velocity of the water medium and the largest residual kinetic energy and jet velocity after the penetrated target plate. The influence of structural parameters such as cone angle α, height h, side wall thickness a1 and top wall thickness a2 on the jet shape and penetration performance of the truncated cone-spherical combined liner was investigated by simulation, and a orthogonal optimization test was designed. It is found that the influence of these structural parameters on the jet penetration performance decreases in the order of: the cone angle α, height h, side wall thickness a1, and top wall thickness a2. When α=26°, h=22 mm, a1=4.0 mm, and a2=3.2 mm, the penetration performance of the truncated cone-sphere combined liner is superior, and the residual kinetic energy of the jet in penetrating the aftereffect target is 136.2 kJ. This study provides a valuable reference for the design of shaped torpedo warhead and the improvement of torpedo warhead damage power.

Prediction Model and Application of Rock Burst Tendency in Deep High Stress Areas
QI Yun, BAI Chenhao, DUAN Hongfei, DAI Lianpeng, LI Xuping, WANG Wei
, Available online  , doi: 10.11858/gywlxb.20251103
Abstract:

To ensure the construction safety of geotechnical engineering in deep high stress areas, a combined rock burst intensity prediction model based on whale optimization algorithm (WOA) and extreme gradient boosting (XGBoost) is proposed to address the suddenness and complexity of rock burst. Firstly, the main controlling factors that affect the intensity level of rock burst are analyzed, and the uniaxial compressive strength, maximum tangential stress, uniaxial tensile strength, brittleness coefficient, stress coefficient, and elastic energy index are selected to establish a prediction index system for rock burst intensity level. The original samples are processed using the Pearson correlation coefficient, multiple imputation by chained equations (MICE), synthetic minority oversampling technique (SMOTE), and principal component analysis (PCA). Secondly, the maximum number of iterations, maximum depth of the tree, and learning rate of the XGBoost model were optimized through WOA, and the prediction results of the model were comprehensively evaluated using accuracy, precision, recall, F1 score, and Cohen Kappa coefficient. Finally, the model was applied to predict the rock burst intensity level of the Qinlingzhongnanshan highway tunnel and the water diversion system for hydropower stations. Results show that the WOA-optimized XGBoost model achieves optimal performance when the maximum number of iterations, maximum tree depth, and learning rate are 51, 13, and 0.7325, respectively. Prediction results for rock burst intensity level using the WOA-XGBoost model outperform those of other intelligent algorithm models, verifying the model’s high accuracy and reliability in predicting rock burst intensity level.

Numerical Simulation Study on Hypervelocity Impact of High-Entropy Alloy Protective Structure
YIN Yunfei, YANG Qiuzu, GUO Jiaao, LI Zhiqiang
, Available online  , doi: 10.11858/gywlxb.20251275
Abstract:
The issue of orbital debris has emerged as one of the most pressing challenges in the field of space environment protection today. Most contemporary spacecraft shielding architectures employ the Whipple bumper configuration, in which a thin sacrificial “bumper” layer intercepts incoming micrometeoroids or orbital debris, causing them to fragment before impacting the primary structure. To date, aluminum alloys have been the material of choice for the bumper layer, owing to their favorable strength-to-weight ratio and ease of fabrication. In the present study, however, we explore the potential advantages afforded by high-entropy alloys (HEAs) as Whipple bumper materials under hypervelocity impact conditions. Using the AUTODYN software platform and the Smooth Particle Hydrodynamics (SPH) method, we conducted a series of numerical simulations in which spherical projectiles traveling at hypervelocities collide with Whipple-like multilayer configurations. Two different bumper materials were considered: a conventional aluminum alloy and a novel, equiatomic high-entropy alloy designed for high strength and damage tolerance. For each target configuration, we varied the projectile diameter, impact velocity, and the ratio of bumper thickness to projectile diameter (t/D) in order to assess their influence on debris cloud characteristics. Our results reveal several statistically significant differences between the debris clouds generated by the two bumper materials under otherwise identical conditions. First, the total mass of fragments produced by the high-entropy alloy bumper is approximately 51.9% greater than that produced by the aluminum alloy bumper. Second, the number of low-mass debris particles (defined here as fragments below a specified mass threshold) increases by roughly 79.6% in the HEA case, while the count of high-mass fragments correspondingly decreases. Third, the maximum momentum in the Z-direction carried by the debris cloud—an important metric for assessing secondary impact risks—is reduced to less than 75% of the aluminum alloy value across all tested projectile diameters. A parametric analysis further indicates that the overall expansion rate of the debris cloud is predominantly governed by impact velocity: higher velocities produce more rapid radial dispersion, regardless of the t/D ratio. By contrast, the generation of “dangerous” fragments—those with relatively high mass or kinetic energy—is primarily influenced by the bumper’s t/D ratio: increasing the relative thickness yields fragments that, on average, have greater mass and energy. Taken together, these findings suggest that high-entropy alloy laminates could offer an advantageous trade-off between fragment size distribution and momentum transfer in Whipple-style hypervelocity shielding, potentially mitigating the risks posed by secondary debris impacts on spacecraft subsystems. Further experimental validation and optimization of HEA compositions are recommended to refine these conclusions and facilitate technology maturation for spaceflight applications.
YANG Xigui, LAI Shoulong
, Available online  , doi: 10.11858/gywlxb.20251255
Abstract:
Rhombohedral C60 holds significant potential for applications in fields such as two-dimensional materials and catalysis; however, the synthesis of high-purity, high-quality rhombohedral C60 remains challenging. In this study, rhombohedral C60 was successfully synthesized at 6 GPa and 650 ℃. Characterization by X-ray diffraction, Raman spectroscopy, X-ray photoelectron spectroscopy and spherical aberration-corrected transmission electron microscopy confirmed the obtained sample as a high-purity two-dimensional rhombohedral structure. The effects of pressure and temperature (6-10 GPa, 650-800 ℃) on the polymerization of C60 were investigated, clarifying the phase boundary between the rhombohedral phase and disordered amorphous carbon clusters. Temperature-dependent Raman spectroscopy revealed that the rhombohedral C60 polymer remains stable up to approximately 350 °C, beyond which it depolymerizes, reverting to the pristine face-centered cubic C60 molecules. This work defines a clear processing window for the synthesis of high-quality rhombohedral C60 and establishes an experimental foundation for its further application in functional materials.
Numerical simulation of CoCrFeMnNi high entropy alloy shaped charge jet and penetrating target#
MENG Yuquan, LEI Rong, LIU Shanshan, WU Xiaobao, SONG Weidong
, Available online  , doi: 10.11858/gywlxb.20251264
Abstract:
The continuous advancement of modern armor protection technology poses increasingly severe challenges to the destructive power of shaped charge warheads. Traditional liner materials, due to their performance limitations, have become a major constraint on improving penetration depth. High-entropy alloys (HEAs), owing to their unique multi-principal element design, exhibit core potential properties such as high strength, high hardness, excellent fracture toughness, and good thermal resistance, making them highly promising candidate materials for new-generation liners. Against this backdrop, systematically investigating the static/dynamic mechanical properties of HEAs and the stability of the jets they form is crucial for developing high-performance shaped charge warheads. This study, through static and dynamic mechanical testing and research on CoCrFeMnNi HEA, determined the dynamic constitutive model and relevant parameters for this material. Numerical simulations of jet formation and target penetration processes for both copper and HEA liners were conducted using LS-DYNA. Compared to copper, the HEA liner formed a more stable and continuous jet. Its unique formation and stretching rupture mechanism ultimately translated into greater penetration depth, confirming the significant advantage of HEA in enhancing destructive efficiency.
Effect of Empty-Hole on Blasting-Induced Damage Evolution and Dynamic Response of Rock
LI Tao, NI Yu, WANG Zhiliang
, Available online  , doi: 10.11858/gywlxb.20251116
Abstract:

Aiming at the issue that traditional perimeter blasting easily induces random crack damage in surrounding rocks, this study conducts an in-depth analysis of the damage evolution laws and dynamic response characteristics in empty-hole directional blasting by integrating elastic mechanics theory with numerical simulation methods based on ANSYS/LS-DYNA. Firstly, drawing on the theory of elastic mechanics, the mechanical mechanism was elucidated whereby empty holes generate tensile stress concentration through stress wave reflection under explosive loading, thereby controlling the propagation of directional cracks. Subsequently, by establishing a numerical model of planar double-hole decoupled charge blasting, the effects of blasthole spacing and in-situ stress field on damage evolution were systematically investigated. Finally, the dynamic variation patterns of peak stress and peak particle vibration velocity near the empty hole were analyzed. The results indicate that empty holes can significantly alter the distribution of explosion energy, guiding it to concentrate along the line connecting the blastholes, thereby effectively suppressing the initiation and propagation of unintended cracks. The directional effect of empty holes is modulated by the in-situ stress field; high in-situ stress conditions reduce the degree of tensile stress concentration in the horizontal direction of the empty hole, thus inhibiting crack propagation between blastholes. Therefore, blastholes should be arranged parallel to the maximum principal stress direction of the rock mass to maximize the directional effect and mitigate the inhibitory influence of in-situ stress. When the blasthole spacing is 11−14 times the blasthole diameter, stable directional propagation of main cracks is promoted, the development of unintended cracks is suppressed, and the control of surrounding rock damage is significantly improved. Under high in-situ stress conditions, it is recommended to appropriately reduce the reference hole spacing to 8−11 times the blasthole diameter.

First-Principles Study of the Effects of Phase Transitions and Decomposition on the Lattice Thermal Conductivity of Calcite
HONG Zheng, ZHU Yongqiang, XIONG Yuanmeng, LU Cheng, HE Kaihua
, Available online  , doi: 10.11858/gywlxb.20251228
[Abstract](213) PDF (5)
Abstract:
The lattice thermal conductivity (κlatt) of minerals plays a critical role in controlling heat flow and temperature distribution in the Earth's interior. Calcite, primarily composed of calcium carbonate (CaCO₃), can be subducted into the deep Earth and serves as an important carbon source. As pressure and temperature conditions change with depth, CaCO₃ undergoes phase transitions and thermal decomposition, which significantly affect its physical properties. In this study, we investigate the effects on thermal conductivity of calcite induced phase transitions and thermal decomposition using first-principles calculations combined with lattice dynamics. Our results show that the calcite I → calcite II phase transition leads to a reduction in thermal conductivity, whereas subsequent phase transitions at higher pressures result in increase. The thermal conductivity of aragonite and post-aragonite increases nearly linearly with pressure increasing, and the latter exhibiting a stronger pressure dependence. Upon thermal decomposition, the CaO exhibits significantly higher thermal conductivity than that of calcite, which may enhance local heat transfer. Analysis of relevant thermodynamic parameters indicates that the changes in thermal conductivity induced by phase transitions and decomposition are collectively determined by phonon group velocity and anharmonic scattering rates.
Crashworthiness of Bionic Fractal Multi-Cell Circular Tubes under Axial Load
GAO Jianming, ZHANG Xiaobin, LIU Zhifang, LEI Jianyin, LI Shiqiang
, Available online  , doi: 10.11858/gywlxb.20251250
[Abstract](176) PDF (4)
Abstract:
Inspired by fractal theory and biological structures, bio-inspired fractal tubes exhibit exceptional crashworthiness. This study constructs bio-inspired fractal multi-cell circular tubes with inscribed regular quadrilaterals, pentagons, and hexagons, and systematically investigates the influence of their mass, fractal dimension, and the number of sides of the inscribed regular polygon on crashworthiness through numerical simulation. The results indicate that the crashworthiness of the bio-inspired fractal multi-cell circular tubes improves with increasing mass. As the fractal dimension increases, the crashworthiness initially decreases and then improves. Furthermore, crashworthiness enhances with an increase in the number of sides of the inscribed polygon, although the variation in the number of sides has a minor impact on the peak crushing force. Based on the super folding element theory, a theoretical model is developed to predict the mean crushing force of the bio-inspired fractal multi-cell circular tubes, and the theoretical predictions show good agreement with the numerical simulation results.
Velocity Variation Law of Two Projectiles in Staggered Sequential Penetration into Concrete Targets with Limited Thickness
XU Baowen, ZHANG Dingshan
, Available online  , doi: 10.11858/gywlxb.20251244
[Abstract](179) PDF (7)
Abstract:
To investigate the effects of dislocation distance and projectile diameter on the velocity variation of the second projectile during the sequential penetration of a concrete target, a theoretical model was developed to characterize the energy loss and velocity change during the displaced penetration process. Validation experiments were designed, and a comparative analysis was conducted among theoretical predictions, experimental data, and numerical simulations. The results indicate that displaced sequential penetration reduces the velocity decay of the second projectile, thereby enhancing its penetration depth. As the dislocation distance increases, the beneficial influence of the first projectile on the second projectile’s velocity retention diminishes. Beyond a critical dislocation distance, this effect becomes negligible. A larger diameter of the first projectile corresponds to a greater critical dislocation distance. Under test conditions involving penetration of a 1 m thick C40 concrete target at an initial velocity of 600 m/s, the critical dislocation distances for projectile diameters of 50 mm, 80 mm, and 100 mm were approximately 8d, 10d, and 14d, respectively. The maximum deviations between theoretical predictions and experimental results for the second projectile’s velocity were about 7.1%, while numerical simulations deviated by approximately 3.8% from the experimental data.
Optimization Development and Application of Lee-Tarver Reaction Rate Model
DUAN Ji, LI Jing, ZHI Xiaokun, ZHANG Shuxia, YANG Xiao, ZHOU Jie
, Available online  , doi: 10.11858/gywlxb.20251254
[Abstract](198) PDF (7)
Abstract:
To address the shortcomings of the Lee-Tarver ignition and growth reaction rate equation, which comprises numerous parameters (15) and is difficult to calibrate, semi-periodic trigonometric functions were introduced to optimize the model. The new rate equation enhances the continuity of the ignition term, restricts the maximum value of the shape factors for the growth and completion terms to 1, mitigates the parameter compensation between the proportional coefficients (Grow1 and Grow2) and the shape factors, eliminates the reaction degree limit of the trinomial structure, reduces the number of parameters in the reaction rate equation to 10, thereby improving parameter calibration efficiency. Based on LS-Dyna, a secondary development was conducted for the improved ignition and growth model. Comparative calculations were performed to assess the shock initiation simulation results from the Lee-Tarver model and the optimized model, revealing highly consistent results for the internal pressure and reaction degree of the explosive, validating the correctness of the model development. Utilizing experimental data from explosive-driven metal plates, the parameters of the optimized ignition and growth model were calibrated with LS-OPT, and the sensitivity of the rate equation parameters was statistically analyzed to identify key parameters, providing a reference for further improving parameter calibration efficiency. Comparisons between experimental and simulated results of explosive-driven metal plates showed a simulation error of less than 3%, confirming the engineering validity of the calibrated parameters. Applying the improved ignition and growth model with safety experiments, the impact initiation response characteristics of ammunitions under bullet/fragment impact were investigated. Within 66 μs after bullet impact, the peak internal pressure of the explosive reached 0.145 Mbar (48.3% of the detonation pressure), indicating no detonation reaction occurred. Under fragment impact conditions, the peak internal pressure of the explosive was only 0.0079 Mbar, with the reaction degree near the impact point being higher than in other regions, but the maximum reaction degree was merely 0.01, confirming no detonation. The simulation results of the optimized model exhibited good consistency with experimental test results, validating the engineering applicability of the optimized and developed ignition and growth model.
Wave-Cutting Efficiency and Mechanism of Single-Tube Multi-Row Hole Bubble Curtain
DU Mingran, LI Jirui, JIN Cong, CENG Huilian, TAN Caiyong
, Available online  , doi: 10.11858/gywlxb.20251231
[Abstract](160) PDF (5)
Abstract:
To further optimize the wave-cutting efficiency of bubble curtain, field tests on underwater explosion shock wave attenuation using single-tube multi-row bubble holes and high-speed photography observations of bubble curtain morphology were designed. Additionally, the numerical calculation model for equivalent thickness of bubble curtain was studied using AUTODYN software. The results indicate that, under the same air flow rate, the number of bubble hole rows is a critical factor affecting wave-cutting efficiency. At a detonation center distance of 12m, the wave-cutting efficiencies for 1, 2, and 3 rows of holes are 89.92%, 97.25%, and 96.41%, respectively. At different detonation center distances, the cutting efficiency of the two-row hole bubble curtain is the best, and the cutting efficiency is all greater than 95.00%. Both the thickness and density of the bubble curtain are maximized with 2 rows of holes, and the thickness of the bubble curtain is the key factor determining wave-cutting efficiency. The equivalent thickness fitting formula established by combining experiments and simulations has high reliability, and the simulation model exhibits high accuracy. It is suggested that similar projects adopt single-tube 2-row hole bubble curtain to achieve convenient, efficient and low-cost wave-cutting efficiency.
Raman Scattering Study of Lattice Dynamics and Phase Transitions in Layered Perovskite Sr2Ta2O7 Ceramics under High Pressure
QIAN Chao, QI Wenming, Abliz Mattursun, HU Qingyang, WANG Yuanyuan, DONG Hongliang, CHEN Bin
, Available online  , doi: 10.11858/gywlxb.20251269
[Abstract](192) PDF (9)
Abstract:
Strontium tantalate (Sr₂Ta₂O₇) is a ceramic with an orthogonal Cmcm space group phase. Due to its potential applications in the field of multiferroic materials, it has become a research hotspot in recent years. However, the regulatory mechanism and phase transition behavior of hydrostatic pressure on its complex lattice structure remain unclear, which, to some extent, limits the in-depth understanding of the "structure-property" relationship of this material. This study systematically investigates the lattice dynamic response characteristics of orthogonal Cmcm Sr₂Ta₂O₇ under high pressure up to 30 GPa using in-situ high-pressure Raman spectroscopy, marking the highest pressure study conducted on this system to date. The results indicate that when the pressure reaches 5 GPa, significant changes occur in the Raman vibrational modes of the material, a phenomenon attributed to a structural phase transition induced by symmetry breaking, corresponding to a transition from a commensurate phase to an incommensurate phase, consistent with previous research findings on Sr₂Ta₂O₇. As the pressure further increases to 20 GPa, a second phase transition may occur, which is identified as a first-order phase transition closely related to lattice disordering. However, the specific crystal structure of this high-pressure phase remains to be further confirmed in future studies. The Raman spectroscopy analysis suggests that the structural distortion of this high-pressure phase may follow a transformation pathway from orthogonal to monoclinic.
Experimental Study on the Impact Dynamics Behavior of Ultrathin Carbon Fiber Composites
ZHAO Changfang, LIU Hao, ZHOU Caihua, ZHOU Zhitan, JI Liang
, Available online  , doi: 10.11858/gywlxb.20251265
[Abstract](201) PDF (11)
Abstract:
Carbon fiber reinforced plastics (CFRPs), as an advanced composite material, are widely used in engineering applications. However, research on the dynamic mechanical behavior of ultrathin CFRP laminates remains relatively limited. In this study, unidirectional ultrathin prepreg and hot-pressing molding processes were employed to fabricate ultrathin CFRP laminates with a single ply thickness of only 0.1 mm. The strain rate effects on specimens with five different ply orientations—0°, 90°, 0°/90°, 45°, and ±45°—were systematically investigated. Quasi-static compression tests indicated that the 45° ply orientation enhanced plastic behavior but reduced material strength and modulus, whereas the 90° ply orientation contributed to increased modulus and strength while reducing plastic deformation. Dynamic impact tests revealed that the 90° ply orientation improved both dynamic modulus and strength while decreasing yield strain. Although the 45° ply orientation reduced dynamic yield strength, it significantly increased the sensitivity of dynamic modulus and yield strain to strain rate. Compared with conventional CFRP laminates, the ultrathin CFRP composites developed in this study exhibited a 66% increase in fiber content per unit thickness; under the 0°/90° ply configuration, dynamic strength and modulus were enhanced by 123% and 926%, respectively. Based on the experimental data, a constitutive model for the ultrathin CFRP composites was established, and corresponding constitutive parameters were provided, offering a basis for predicting the mechanical behavior of CFRPs under different ply orientations and strain rates.
Synthesis and Superconductivity in ternary hydrides (Th,Y)H10
SONG Xiaoxu, HAO Xiaokuan, NIU Jingyu, GAO Guoying, TIAN Yongjun
, Available online  , doi: 10.11858/gywlxb.20251268
[Abstract](202) PDF (13)
Abstract:
Recent advances in near room-temperature superconductivity, especially achieved in hydrogen-based superconductors under high pressure, have attracted broad interest. However, most systems with high superconducting critical temperature (Tc) can only stabilize under extreme pressures, which limits their practical applicability. Herein, this study proposes investigating the possibility of obtaining high-Tc superconductors at moderate pressures within the ternary Th–Y–H system. The synthesis was carried out using Th, YH3 and NH3BH3 as precursors under high pressure and high temperature, applied by diamond anvil cells combined with in-situ laser heating technology. Combining with the synchrotron XRD measurements and theoretical studies, the main product was identified as Fm-3m (Th,Y)H10, with Y accounting for approximately 10%~15%. Electrical transport measurements reveal that its Tc increases by approximately 10%, compared to ThH10 under similar pressure. At 144 GPa, the sample has a maximum Tc of 184 K, which remains at 170 K when decompressed to 100 GPa—approaching the highest level known for hydrides at this pressure. Measurements under an applied magnetic field further verify the superconductivity, with upper critical fields estimated at 52 T and 39 T based on the WHH and GL models, respectively. These results indicate that the ternary Th–Y–H superconducting system is an outstanding candidate for high-Tc superconductors, and the crystal stability and electronic properties can be effectively controlled by reasonably introducing new element into the binary system. This work provides new insights and experimental evidences for exploring high-Tc superconducting hydrides under moderate or even low pressures.
Coupling Mechanism of Wall Protection Blasting and Notched Blasting
GONG Yue, SU Hong, LIU Buqing, PAN Yan, WANG Cunguo, SUN Jinshan
, Available online  , doi: 10.11858/gywlxb.20251238
[Abstract](217) PDF (6)
Abstract:
In order to improve the blasting forming accuracy and the protection of surrounding rock under deep and complex geological conditions, comparative experiments of protective blasting and protective notched-coupling blasting were conducted using a digital laser dynamic caustic experimental system and PMMA specimens. The crack propagation mechanisms and mechanical response characteristics of the two blasting modes were systematically investigated. The results show that, in the protective notched-coupling blasting, the main crack propagates stably along the preset notched direction, demonstrating an excellent directional control effect. Meanwhile, the secondary peak value of the crack-tip stress intensity factor is significantly higher than that of the single protective blasting, indicating a stronger dynamic stress concentration effect. The notched-coupling blasting also exhibits a higher overall crack propagation velocity with slower attenuation at later stages, reflecting enhanced persistence and stability. In addition, this blasting mode effectively reduces the length and number of cracks on the protected wall side, thereby providing better rock-mass protection. Overall, the protective notched-coupling blasting optimizes crack propagation behavior and improves the directionality and energy utilization efficiency of blasting through the combined mechanisms of notch guidance and energy re-concentration. These findings provide theoretical support and technical guidance for precision blasting design and engineering applications in deep rock masses.
Interatomic potentials for iron under extreme conditions
WEI Liangrui, SUN Yang
, Available online  , doi: 10.11858/gywlxb.20251251
[Abstract](205) PDF (11)
Abstract:
A Dynamic Spherical Cavity Expansion Model for Ceramics Considering Shear-Dilatancy
LI Xiao, LIANG Xuan, WEN Heming
, Available online  , doi: 10.11858/gywlxb.20251242
[Abstract](219) PDF (5)
Abstract:
The cavity expansion theory is often used to predict the penetration resistance of a target against a projectile. A dynamic spherical cavity expansion model for ceramic materials is suggested by considering shear-dilatancy effect through introducing a dilatancy-kinematic relation in comminuted region. The comminuted region is further divided into a linear comminuted region (satisfying the Mohr-Coulomb failure criterion) and a saturated comminuted region (satisfying the maximum shear strength), depending on whether the shear strength reaches its maximum (plateau). Firstly, equations for calculating radial stress at cavity surface are derived. Secondly, numerical simulations of cavity expansion process in ceramics at different expansion velocities are conducted. Finally, the effects of key parameters such as compressive strength and density on the cavity surface radial stress are discussed. It is shown that the model predictions for cavity radial stress and interface velocities of cracked and comminuted regions are in good agreement with numerical simulations. It is also shown that compressive strength plays a dominant role in enhancing cavity radial stress and the influence of density increases with increasing cavity expansion velocity.
Properties of Surfactant-Modified Ammonium Nitrate
WANG Xinqi, WU Hongbo, HU Pengfei, REN Mengyu, XIE Mengzhi, XIA Wenjie, ZHU Leilei
, Available online  , doi: 10.11858/gywlxb.20251252
[Abstract](282) PDF (7)
Abstract:
Porous ammonium nitrate offers specific operational advantages over conventional ammonium nitrate due to its porous structure, but its higher transportation costs increase overall operational expenses. This paper proposes a method to transform conventional ammonium nitrate or its solution into porous ammonium nitrate through modification, providing new theoretical support for optimizing ammonium nitrate performance and controlling costs. This study utilized ion-exchange surfactant (PST) as an additive to prepare porous granule-modified ammonium nitrate via spray granulation. The effects of varying PST concentrations (0%-0.4%) on ammonium nitrate's pore structure, oil absorption rate, thermal stability, and explosive properties were systematically investigated. Results indicate that increasing PST content gradually transforms dense ammonium nitrate particles into a porous structure with distinct interconnected pores. Thermal stability remains essentially unchanged, and the matrix chemical composition undergoes no fundamental alteration, though water adsorption decreases. The modified samples exhibited enhanced binding capacity with the oil phase. The detonation velocity of the assembled charge increased from “failed to detonate normally” in the unmodified state to 2831.85 m·s⁻¹. Trace amounts of PST can induce the formation of a porous structure in ammonium nitrate without significantly compromising thermal safety, while markedly improving detonation velocity performance, demonstrating potential for engineering applications.
Simulation Study on the Structure of a Shaped Charge Liner for Metal Jet Impact Initiation and the Stable Initiation Distance
WANG Xinyue, WANG Chenlong, LI Zhiqiang
, Available online  , doi: 10.11858/gywlxb.20251230
[Abstract](252) PDF (11)
Abstract:
Gob-Side Entry Retaining by Roof Cutting and Pressure Relief is widely employed in coal mining. However, the multi-segment air-decked charge structure used in its pre-splitting blasting requires a separate detonator for each charge segment, leading to problems such as high detonator consumption per borehole, elevated costs, operational complexity, and significant safety risks.To address this engineering challenge, the application of shaped metal jet impact-induced initiation technology in composite roof pre-splitting blasting has been proposed. Using LS-DYNA numerical simulation, a systematic investigation was conducted on liner structure optimization, factors affecting metal jet impact initiation, and the stable initiation distance.The findings demonstrate that the aluminum liner exhibits the optimal overall performance. With a cone angle of 60° and a wall thickness of 1 mm, it generates a shaped jet with high velocity, considerable length, and good continuity. In contrast, the copper liner, due to its high strength and high collapse energy threshold, fails to form an effective jet under low-power explosive charge conditions. Although the lead liner is readily accelerated, it produces jets with poor stability that are susceptible to necking and fragmentation.When the charge length-to-diameter ratio exceeds 3, the effective charge mass reaches saturation. Additional explosive energy is primarily dissipated through radial expansion and heat loss, resulting in the stabilization of both the maximum jet velocity and stable jet velocity.In an unconfined air environment, the maximum reliable initiation distance for a shaped jet from an aluminum liner (1 mm wall thickness, 60° cone angle) is 90 cm. Beyond this distance, jet stretching and attenuation lead to insufficient pressure to initiate the emulsion explosive.Confinement provided by steel pipes can significantly suppress the radial expansion of detonation products, enhancing energy utilization efficiency and consequently extending the initiation distance of the metal jet./t/nKewordsmetal jet; impact initiation; liner structure; decked charge; stable initiation
Optical Experimental Study on the Multiple Expansion-Contraction Motions Characteristics of Underwater Explosion Bubbles
SHENG Zhenxin, WANG Haikun, CHEN Jiping, ZHANG Xianpi, YU Jun, GAO Tao
, Available online  , doi: 10.11858/gywlxb.20251185
[Abstract](204) PDF (5)
Abstract:
The underwater explosion bubbles expand and contract several times until it runs out of energy, during the pulsations, the mutual conversion of energy occurs. At present, there is insufficient attention paid to multiple pulsations characteristics and energy conversion of underwater explosion bubbles. In this paper, the underwater explosion experiments of 20g, 40g, and 60g aluminized charges were carried out, and the evolution process of the bubbles multiple pulsations were photographed with a high-speed camera, then pulsation period and maximum radius of the bubbles were obtained after intelligent processing. On this basis, the theoretical analysis was conducted on the conversion mechanism of the potential energy, internal energy during the multiple pulsations. The results show that: (1) the residual energy rate of the second bubble pulsation relative to the first bubble pulsation was 0.31; (2) the proportion of internal energy of the bubbles to total energy is 5.4%-6.6%, so the internal energy could be ignored, and energy of the bubbles could be represented by the potential energy in the engineering application.
Analysis of High-Strain-Rate Deformation Induced Degradation of Critical Properties in Nb3Sn Superconductors
JIAN Zhangxu, DU Qiaoyi, DING He, XIAO Gesheng, LIU Zhifang, QIAO Li
, Available online  , doi: 10.11858/gywlxb.20251200
[Abstract](248) PDF (13)
Abstract:
Nb3Sn superconductors are vital for advanced applications like particle accelerators and fusion devices, yet their performance degrades irreversibly under the high-strain-rate dynamic loads encountered during quench or fast excitation. This study integrates molecular dynamics simulations, continuum mechanics, and density functional theory to unravel the underlying multiphysics coupling mechanisms. We probe the elastoplastic response, adiabatic heating from plastic work, and damage evolution in Nb3Sn composites under high-strain-rate tension. Our analysis reveals that at cryogenic temperatures, the niobium matrix deforms via full-dislocation slip, whereas the brittle Nb3Sn coating fractures. The associated temperature rise, driven by plastic work dissipation and accumulating with strain, synergizes with deformation-induced damage (amorphization and cracking) to severely degrade superconducting properties. These damage mechanisms cause irreversible electronic structure changes, directly impairing superconductivity. These findings establish a deformation-thermal-damage correlation mechanism, providing a theoretical foundation for the design of resilient superconducting devices.
Dynamic Plastic Deformation Mechanism of 301 Stainless Steel at Low Temperatures
WANG Pengfei, HUANG Tingting, CHEN Meiduo, ZHAN Junlan, TIAN Jie, XU Songlin
, Available online  , doi: 10.11858/gywlxb.20251246
[Abstract](226) PDF (3)
Abstract:
Deep space exploration faces challenges from extreme temperatures and complex high-speed operating environments, placing higher demands on the low-temperature impact resistance of materials. In this study, a low-temperature Hopkinson bar impact experimental device under a vacuum liquid helium environment was developed to achieve dynamic loading of materials under ultra-low temperature conditions. The dynamic mechanical response of 301 stainless steel produced by two rolling processes was investigated under the combined effects of low temperature (30K-298K) and high strain rates (4000 s⁻¹-5000 s⁻¹). Experimental results show that the yield strength of both materials exhibits a significant negative correlation with temperature and a positive correlation with strain rate. The unidirectionally rolled samples displayed an anomalous increase in toughness at 77K. The study indicates that the unidirectional rolling process induces a higher content of martensitic phase, thereby endowing the material with greater strength. Microstructural characterization results reveal that the anomalies in macroscopic mechanical behavior stem from the competition of deformation mechanisms; at room temperature, the samples mainly exhibit a toughness fracture mechanism dominated by ductile dimples, whereas at low temperatures, they transition to a brittle fracture mode dominated by quasi-cleavage. On this basis, the Johnson-Cook constitutive model was used to fit the mechanical properties, showing good consistency with the experimental results. This research provides important experimental methods and theoretical support for the dynamic strength and toughness design of metallic materials under extreme low-temperature impact conditions.
The Role of Gradient Structure in the Integrated Performance of PDC Cutters
GAO Jun, ZHANG Zhicai, HOU Zhiqiang, WANG Chao, LI Hao, YANG Yikan, YANG Jiao, FANG Rui, TANG Yao, WANG Haikuo
, Available online  , doi: 10.11858/gywlxb.20251233
[Abstract](235) PDF (7)
Abstract:
Addressing the urgent demand for high-performance polycrystalline diamond compact (PDC) cutters in deep/ultra-deep oil and gas exploration, this study optimized the PDC synthesis formulation through orthogonal experimental design. Under high pressure conditions (8.5 GPa and 1750 °C), we successfully fabricated both conventional homogeneous mixed PDC cutter (H-PDC) and gradient-structured PDC cutter (G-PDC) featuring a "fine-grained work layer/coarse-grained transition layer" structure. Microstructural characterization reveals that the gradient structure facilitates uniform distribution of cobalt binder, suppresses cobalt aggregation, enhances interlayer interfacial bonding, and generates higher residual compressive stress. The cobalt content in the G-PDC work layer is 9.16 wt.%. After acid leaching for cobalt removal, the cobalt content decreased to 2.49 wt.%. Performance evaluations demonstrate that G-PDC achieves a wear resistance lifespan of 920 passes, superior to H-PDC (800 passes). The average impact toughness of G-PDC reaches 740 J, representing approximately 107% improvement over H-PDC. Furthermore, the gradient structure alleviates thermal expansion mismatch, increasing the thermal stability temperature by about 30 °C. This research confirms that combining high pressure synthesis technology with gradient structural design can synergistically enhance the wear resistance, impact toughness, and thermal stability of PDC cutters, providing a viable pathway for developing next-generation superhard composites for extreme working conditions.
The Influence of Cottonseed Oil Content on the Rheological Properties and Anti-Vibration Performance of Site-Mixed Emulsion Matrix
YUE Xing, HE Zhiwei, HUANG Zhenyi, YUE Jiawei, HU Qianhao, LI Yuanlong
, Available online  , doi: 10.11858/gywlxb.20251226
[Abstract](180) PDF (5)
Abstract:
To investigate the influence of cottonseed oil content on the rheological properties and anti-vibration performance of site-mixed emulsion explosive matrix, samples of site-mixed emulsion explosive matrix with different cottonseed oil contents were prepared. A rotational rheometer, HY-5A rotary speed-regulating vibrator, and water dissolution method were used to study the rheological properties and anti-vibration performance of the site-mixed emulsion matrix. The results show that when the mass fraction of cottonseed oil is not more than 2.5%, the viscosity of the site-mixed emulsion matrix increases gradually. In terms of the temperature environment of the pipeline of on-site mixing trucks, the viscosity of the emulsion matrix can meet the pumping requirements. The elastic modulus and cohesion increase gradually and then remain nearly stable. The anti-vibration performance first increases and then decreases, and when the cottonseed oil content is 2%, the anti-vibration performance is the best.
Study on the Detonation Performance and Equation of State of Low Density Explosive Mixed by PBX-9502 Powder and 502 Glue
LIU Kun, TANG Jiupeng, WANG Qiang
, Available online  , doi: 10.11858/gywlxb.20251175
[Abstract](191) PDF (3)
Abstract:
This study focuses on the detonation performance and equation of state (EoS) of a low-density composite explosive mixed in a certain proportion of PBX-9502 powder and 502 glue. The theoretical analysis method is used based on the BKW program. The main work includes calculating the heat of formation of Kel-F (PBX-9502 binder) and ethyl cyanoacrylate (main component of 502 glue) using the group contribution method, determining the standard entropy temperature coefficient and excess volume of 18 product gases containing F and Cl elements, and calculating the CJ detonation velocity and pressure of the products for five ratios and four density states under the framework of the BKW program. The corresponding JWL EoS parameters are fitted based on the calculated CJ isentropic line. The results show that the detonation velocity and pressure are positively correlated with initial density, but negatively correlated with the content of 502 glue. The relevant results provide a theoretical basis for the selection of 502 glue ratio and mixed charge density in practical applications. The obtained JWL EoS parameters can also be used by general detonation calculation software to evaluate the detonation performance of devices. The relevant method can also be directly extended to the study of detonation parameters of other formulated explosives (sulfur, aluminum), which has important engineering application value。
Research Progress on High-Temperature H2-Molecular-Type Hydride under High Pressure
WEI Xinmiao, LIU Zhao, CUI Tian
, Available online  , doi: 10.11858/gywlxb.20251257
[Abstract](245) PDF (11)
Abstract:
The synthesis of the room-temperature superconductor LaSc2H24 represents a significant milestone in the field of superconductivity research. A central goal of subsequent studies is to lower the stabilization pressure required for hydrogen-rich superconductors, thereby establishing a theoretical foundation and technical pathway toward achieving low-pressure room-temperature superconductivity. This paper reviews recent advances in the prediction and experimental synthesis of hydride materials, with a particular focus on a promising strategy for realizing high-temperature superconductivity at reduced pressures — namely, molecular hydrogen-based hydrides. The superconducting mechanism dominated by molecular H2 units is redefined, offering a new perspective for understanding phonon-mediated superconductivity. In molecular hydrogen-based hydrides, a nearly free-electron gas behavior has been clearly observed. These delocalized electrons exhibit metallic bonding characteristics while retaining fragments of molecular hydrogen. This finding indicates that the essential condition for superconducting transition is the formation of a Fermi sea hosting Cooper pairs, rather than complete dissociation into atomic hydrogen. The generation mechanism of the free-electron gas in these materials can be effectively explained using a finite potential well model. The distinctive electronic properties of these compounds under high pressure, combined with enhanced electron-phonon coupling, establish a novel paradigm for designing low-pressure, high-temperature, and potentially room-temperature superconductors.
Reaction Evolution Characteristics of Ignited DNAN-Based Explosive Charges with Pre-cracks
YAO Xin, WANG Hui, SHEN Fei, QU Kepeng
, Available online  , doi: 10.11858/gywlxb.20251181
[Abstract](262) PDF (4)
Abstract:
To investigate the influence of cracks and gaps on the reaction evolution characteristics of aluminum-containing DNAN-based explosives after the formation of mechanical induced hotspots, explosive charge samples with different initial cracks were fabricated. An explosive impact ignition device based on gun propellant combustion loading was designed. The evolution process following the ignition of explosives was simulated. Pressure changes and post-test morphological features of the explosives were recorded. Numerical simulations were conducted to analyze the stress field and reaction distribution of explosive charges with different initial cracks under the same loading conditions. The results indicate that the crack-free and single-line crack explosive charge with no gap debris remained intact, and pressure dropped rapidly after the peak with no reaction occurred, and the hot spot region was located at the bottom. While for the single-line crack explosive charge with 1mm gap, the explosive charge fractured and exhibited local low-order reactions, with a slow pressure decay process. Among these, the hot spot region of the single-line crack explosive shifted to the side surface, while the cross-line crack explosive formed dual hot spot regions on both the side surface and bottom, further enhancing the reaction intensity. This demonstrates that pre-cracks significantly influence the explosive reaction process by altering stress distribution and expanding hot spot regions.
Phase Transformation, Sintering Mechanism and Dynamics of Singlet-Doublet Al Nanosphere Collisions with Initial I-Shaped Configuration
JIANG Jun, SUN Weifu
, Available online  , doi: 10.11858/gywlxb.20251176
[Abstract](202) PDF (3)
Abstract:
Molecular dynamics simulations are used to study the dynamics of a single Al nanosphere (singlet) colliding with an aggregate of two Al nanospheres (doublet) with initial I-shaped configuration. Depending on the initial impact velocity, there are four collision outcomes, namely bounce, adhesion, aggregation and melting. At a very low velocity, the repulsive force between the nanospheres will cause the nanospheres to rebound without contact, and the critical velocity of bounce decreases with the increase of the diameter of the nanosphere. As the velocity increases, the nanospheres are sintered together due to adhesion between them and the formation of new bonds. The phase transformation and atomic diffusion during singlet-doublet collisions are quantitatively characterized by Common Neighbor Analysis, Dislocation Analysis and mean square displacement to explore the underlying sintering mechanism. The critical impact velocity of singlet melting is obtained by monitoring the temperature of singlet with different diameters.
Energy Conversion Prediction Model of Expansion Tube under Near-Field Explosion Loading
QI Zizhen, LI Minghao, ZHANG Yuyan, LIANG Minzu, ZHANG Yuwu, LIN Yuliang
, Available online  , doi: 10.11858/gywlxb.20251227
[Abstract](184) PDF (6)
Abstract:
The near-field region of an explosion is the core zone of munition-induced damage, characterized by the coupled loading of intense shock waves and detonation products. Currently, the mechanical response and energy conversion mechanisms of Expansion Tube Structures (ETS) under such extreme loading conditions remain unclear. In this study, ETS is adopted as a representative energy-absorbing structure to investigate its energy conversion behavior under the coupled action of near-field shock waves and detonation products. Based on experimental validation, numerical simulations are employed to analyze the characteristics of near-field blast loads and the dynamic response of ETS. Furthermore, a theoretical prediction formula for near-field blast loads is established, and a theoretical model for predicting energy conversion efficiency is developed under the strong-shock assumption. The results show that the energy conversion efficiency decreases significantly with increasing scaled distance, dropping below 10% when the scaled distance exceeds 0.8 m/kg¹/³. Moreover, the energy conversion efficiency exhibits a strong positive correlation with the specific impulse of the reflected wave, indicating that specific impulse is the key factor governing energy transfer. This work elucidates the intrinsic energy conversion mechanism of ETS under near-field coupled loading, and the proposed theoretical model provides a robust foundation for the design and performance evaluation of near-field protective structures.
Research Progress on Two-Dimensional Diamond
MING Jiaxin, LI Jiayin, CHEN Yabin
, Available online  , doi: 10.11858/gywlxb.20251248
[Abstract](264) PDF (15)
Abstract:
Two-dimensional (2D) diamond, an atomically thin carbon-based material, not only inherits the exceptional properties of bulk diamond but is also expected to exhibit unique physical characteristics arising from nanoscale effects. Currently, research on 2D diamond remains in its infancy, being primarily driven by theoretical investigations, while experimental efforts have mainly focused on its controllable synthesis and structural characterization. Owing to pronounced interfacial effects, the direct application of conventional high-pressure synthesis methods to nanoscale systems is considerably limited, making it challenging to achieve a stable transition from sp2 to sp3 hybridization, thereby posing numerous critical scientific challenges for the study of 2D diamond. This review systematically summarizes recent theoretical and experimental advances in the structural features, synthesis strategies, and physicochemical properties of 2D diamond, and provides perspectives on future research directions and scientific opportunities in the field of 2D diamond.
Theoretical Study on Structural Stability and Superionic Phase Transition of UH5 under High Pressure
DING Yuqing, JIA Xixi, ZHANG Wenhui, WANG Hui
, Available online  , doi: 10.11858/gywlxb.20251224
[Abstract](183) PDF (9)
Abstract:
The thermodynamic, mechanical, and dynamical stability, along with the electronic properties of UH5 within 30 GPa, are systematically investigated using first-principles calculations. The experimentally synthesized orthorhombic, hexagonal, and cubic phases are all found to be magnetic materials, with spin polarizations of 82%, 100%, and 100%, respectively, and their thermodynamic stability decreases sequentially. Elastic constant and phonon calculations demonstrate that all three phases are mechanically and dynamically stable. Chemical bonding analysis indicates that this stability primarily originates from the prevalent covalent U-H interaction within the lattice. Furthermore, it is predicted that the orthorhombic phase, which has been experimentally quenched to 1 GPa, transforms into a superionic state at 1200 K, where hydrogen ions undergo rapid diffusion within the uranium sublattice interstices, achieving a diffusion coefficient of 1.2 × 10 -4 <italic>cm²/s.</italic>
FENG Yuheng, LIANG Anqi, LIU Xingyu, YIN Jianping, YI Jianya, ZHANG Xuepeng
, Available online  , doi: 10.11858/gywlxb.20251213
[Abstract](201) PDF (5)
Abstract:
To investigate the influence of torpedo guidance nose configuration on the lethality of an underwater shaped charge warhead, a series of numerical simulations were performed using the AUTODYN finite element code. The damage performance of the shaped penetrator under different simulated nose structures was studied, analyzing the complete process including shock wave diffraction, behind-target load propagation, and target damage. The results indicate that both the penetrator head velocity and the behind-target hole diameter generally increase with the total length and number of layers of the simulated nose. Within a certain range, increasing the number of nose layers effectively optimizes the formation of the EFP, thereby enhancing its penetration capability. Furthermore, there exists an optimal total nose length that maximizes the head velocity while preventing necking and fracture of the penetrator.
Simulation Study on Hard X-Ray Detection Efficiency for Microchannel Plate
YANG Jing, DAN Lianqiang
, Available online  , doi: 10.11858/gywlxb.20251193
[Abstract](225) PDF (3)
Abstract:
An improved detection efficiency model for microchannel plate response to hard X-ray is described, which builds on previous models by incorporating a more detailed consideration of cross talking for photoelectron cross-section between atomic shells in the MCP bulk. An analytical investigation and numerical calculation of the detection efficiency were carried out as function of compositional parameters, channel diameter, wall thickness, MCP thickness, respectively. Furthermore, according to the calculation results and developed technologies, a group of optimized parameters were given out, and 45% detection efficiency was found response to 50 ~ 200 keV X-ray.
Effect of Boron Nitridecontent on the Explosion Performance of On-Site Mixed Emulsion Explosives
FU Jiakun, LIU Feng, ZHU Zhengde, CHEN Chuanbin
, Available online  , doi: 10.11858/gywlxb.20251223
[Abstract](196) PDF (4)
Abstract:
To investigate the effect of boron nitride (BN) content on the explosive performance of on-site mixed bulk emulsion explosives, transmission electron microscopy (TEM) and optical microscopy were employed to characterize the microstructure of BN particles and the matrix, respectively. Air blast testing, the probe method, and the lead cylinder compression test were used to determine the shock wave parameters, detonation velocity, and brisance of the BN-containing on-site mixed bulk emulsion explosives. Combined with theoretical calculations, the influence of BN content on the microstructure and explosive properties was systematically studied. The test results indicate that the addition of BN did not significantly affect the stability of the internal phase droplets. As the BN content increased from 0% to 1.6%, the detonation velocity, brisance, and peak overpressure all exhibited a trend of initial increase followed by decrease: the detonation velocity increased from 3850.45m·s⁻¹ to 4724.89m·s⁻¹ and then decreased to 3903.20m·s⁻¹, with a maximum increase of 22.71%; the brisance increased from 13.86 mm to 19.87mm and then decreased to 17.18mm, with a maximum increase of 43.36%; the peak overpressure increased from 136.44kPa to 318.33kPa and then decreased to 285.41kPa, with a maximum increase of 133.31%; the specific impulse increased from 9.23Pa·s to 33.98Pa·s and then decreased to 31.99Pa·s, with a maximum increase of 268.15%. Based on the experimental results, introducing an appropriate amount of BN can significantly enhance the explosive performance of on-site mixed bulk emulsion explosives.
Impact-Induced Fracture Process and Energy Dissipation Characteristics of Copper-Bearing Albite Rock Based on FDEM
ZHANG Xiyuan, LI Xianglong, ZUO Ting, LIU Jinbao, WANG Jianguo, HU Tao, WANG Hao
, Available online  , doi: 10.11858/gywlxb.20251198
[Abstract](306) PDF (14)
Abstract:
In order to ensure the efficient recovery of copper resources, the copper-bearing albite rock samples were taken as the research object, and the impact loads with different strengths were applied by using the split Hopkinson pressure bar ( SHPB ). The crack propagation process was recorded by a high-speed camera system, and the energy dissipation law of the samples under different impact pressures was analyzed by combining the one-dimensional stress wave propagation theory and the law of conservation of energy. At the same time, a numerical model of the impact process of copper-bearing albite is established based on the finite-discrete element ( FDEM ) coupling algorithm. The results show that the incident energy and the peak stress increase with the increase of the impact pressure, and the degree of fragmentation of the sample also increases. When the incident energy is less than 140 J, the energy dissipation rate increases with the increase of the incident energy. When the incident energy is greater than 160 J, the energy dissipation rate decreases with the increase of the incident energy, and the energy dissipation rate reaches the maximum when the impact pressure is 0.35 MPa. The new crack area and the total impact energy increase with the increase of impact load. When the impact pressure is 0.30 MPa, the strain energy ratio is the smallest, indicating that the rock breaking efficiency of 0.30 MPa impact pressure is the highest. In the process of impact, tensile failure plays a dominant role and forms the main dominant area in the horizontal direction. The numerical model based on FDEM can effectively predict different shocks.
OUYANG Dehua, LIU Yuhan, PAN Jiazheng, LI Zhe, GUO Xiaoqiang, WANG Song, LIU Xingyu
, Available online  , doi: 10.11858/gywlxb.20251191
[Abstract](236) PDF (10)
Abstract:
To enhance the safety of the non-lethal kinetic energy ammunition used in the current 38mm riot control guns in the country, the finite element - discrete element method was employed to numerically simulate the impact process of the 38mm spherical kinetic energy projectile filled with lead sand on a human body - like target. The modeling method and parameter selection were indirectly verified through a rigid - wall experiment, and data on the deformation process, kinetic energy, velocity, displacement, and energy transfer rate during the projectile impact on the target were obtained. Based on this, comparative analysis was conducted on different projectile velocities and wall thicknesses, and safety related shooting suggestions were proposed. The results show that the projectile undergoes significant deformation upon impact with the target, transforming into a disc like shape, while the target exhibits a circular indentation, with both deformations being partially recoverable to some extent. The wounding power of the projectile increases with velocity and decreases with wall thickness. The minimum safe shooting distances without causing abdominal skin penetration injuries for projectile wall thicknesses of 5mm, 7mm, and 9mm are 122.40m, 64.62m, and 31.26m, respectively.
Influence of Rock Mass Joints on Slot Blasting and Parameter Optimization Based on Discrete Element Method
SONG Yongkang, LIU Haoshan, ZHANG Zhiyu
, Available online  , doi: 10.11858/gywlxb.20251186
[Abstract](234) PDF (8)
Abstract:
The grooving and blasting effect of the drilling and blasting method in roadway tunneling directly affects the blasting cycle efficiency, while the existing studies mostly ignore the influence of mesoscopic defects such as internal joints of rock mass. Based on the PFC 2D discrete element method, a discrete fracture network (DFN) is introduced to construct a rock mass model with different densities of joints, and the particle expansion method is used to simulate the groove blasting process, and the effects of joint density on crack propagation, energy dissipation and post-explosion block size are systematically analyzed. On this basis, the blast hole layout scheme is optimized, the original 6-hole layout is simplified to a 4-hole diamond-shaped layout, and the 15 ms differential detonation is used to improve the explosive energy utilization rate, and the post-detonation effect is similar to the original scheme. Field tests show that the optimization scheme effectively saves the actual production cost and reduces the drilling workload. The research results emphasize the importance of considering the joint defects of rock mass for the optimization of blasting parameters, and provide a theoretical basis and practical reference for efficient tunneling of rock roadways.
Effect of wire material on the energy deposition in electro-chemical coupling explosions
WANG Cheng, WANG Hangyu, LI Xinghan, WEI Ding, LIN Jiarui, CHEN Haodong, GAN Yundan
, Available online  , doi: 10.11858/gywlxb.20251173
[Abstract](247) PDF (9)
Abstract:
To enhance the total energy output and power of energetic materials, this study employs plasma generated by electrically exploded metal wires to initiate the detonation of energetic materials, achieving coupled release of electrical and chemical energy. Using a self-built experimental system for electro-chemical coupling explosion, voltage and current curves during the explosion process were measured under ambient temperature and pressure in air. The electro-chemical coupling explosion was divided into four typical stages. The research indicates that the primary energy deposition of different metal materials occurs at distinct stages: nickel and copper wires, with their medium boiling points and high temperature coefficients of resistance, achieve efficient phase change energy deposition during the wire phase transition and current pause stages. During the plasma discharge stage, aluminum undergoes explosive vaporization due to oxide layer fracture and forms highly conductive plasma owing to its low ionization energy, leading to a significant leap in energy deposition. Tungsten, through latent heat accumulation in the liquid phase and a sharp increase in resistance, accounts for over 80% of its energy deposition during the plasma discharge stage. The study also reveals that the unique current pause phenomenon in electro-chemical coupling explosions is influenced by metal properties (such as temperature coefficient of resistance, boiling point, and latent heat of vaporization). Copper wires exhibit the longest current pause duration, while tungsten wires show no such phenomenon. This paper systematically investigates the power and energy deposition characteristics during electro-chemical coupling explosions, elucidates the influence mechanisms of metal materials on the energy release process, and provides experimental evidence and technical support for enhancing the total energy output and power of energetic materials.
NIU Xingang
, Available online  , doi: 10.11858/gywlxb.20251199
[Abstract](222) PDF (7)
Abstract:
In order to explore the evolution law of damage to gas containing coal under impact, a gas containing coal separation Hopkinson pressure bar (SHPB) test system was used to conduct dynamic compression tests on coal with gas pressures of 0, 0.5, 1, 1.5, and 2 MPa. Based on energy theory, the deformation and failure process of gas containing coal under impact was analyzed, and the influence of gas pressure on coal energy parameters was explored. With the help of SMP strength criterion and Weibull distribution function, a dynamic damage constitutive model of gas containing coal considering gas impact coupling was established by combining energy consumption index. Research has shown that during the impact compression process, the time history curve of gas containing energy can be divided into a slow growth stage, an accelerated growth stage, and a stable stage; With the increase of gas pressure, the reflected energy of coal shows a linear increase trend, while the transmitted energy and dissipated energy show a linear decrease trend; The constitutive model curve of gas shock coupling damage has strong consistency with the experimental curve, which can accurately describe the damage evolution law of the entire stress-strain process of gas containing coal under impact.
Structural Optimization and Energy Absorption Characteristics of Double-Layer Variable-Diameter Energy-Absorbing Components for Anti-Impact Brackets
HAN Ruifu
, Available online  , doi: 10.11858/gywlxb.20251164
[Abstract](294) PDF (7)
Abstract:
In order to effectively alleviate the destructive effect of ground impact on hydraulic supports, a double-layer variable energy absorbing member with higher energy absorption is proposed based on the research basis of single-layer variable energy absorbing components. Based on the energy method to analyze the energy dissipation theory of the expansion and reduction deformation of pipe fittings of different sections, the formula for calculating the bearing capacity of the components in the stable diameter reduction process under different combinations of corrugated tubes and round tubes is derived. Through numerical simulation analysis, the energy absorption curves, bearing capacity curves and deformation laws of eight different types of energy-absorbing components are obtained, and it is found that the double-layer reducer energy-absorbing member structure (SBY type) of the inner bellows and the outer round tube has better energy absorption performance. The influence of different structural parameters on the energy absorption effect was explored, and four structural parameters, namely inner tube wall thickness, outer tube wall thickness, corrugation radius and the number of inversion angles in the base, had significant effects on the energy absorption characteristic parameters. The experimental scheme was designed according to the Latin hypercube sampling method, and the structural parameters were optimized by using the Kriging surrogate model combined with the multi-objective particle swarm optimization algorithm, and finally the optimized structural parameters were selected as follows: inner tube wall thickness 6mm, outer tube wall thickness 2.9mm, corrugation radius 6.9mm, and base inversion angle 40°. The energy-absorbing components were made for axial quasi-static pressurization experiments to verify the accuracy and effectiveness of the simulation analysis and optimization results. The results show that the total energy absorption of the double-layer variable diameter energy-absorbing components is increased by 54.2%, the specific energy absorption energy is increased by 55.6%, the average bearing capacity is increased by 43.2%, and the standard deviation of the load is increased by 59.5%. The designed components have better energy absorption performance, which can make the yield anti-erosion process more reliable, and provide a theoretical basis and reference for the design of energy-absorbing components of deep roadway support hydraulic supports.
Metallic Hydrogen Ligand Compounds: A Potential Route to Superconducting Metallic Hydrogen at Ambient Pressure
ZHANG Zihan, DUAN Defang, CUI Tian
, Available online  , doi: 10.11858/gywlxb.20251216
[Abstract](311) PDF (19)
Abstract:
Metallic hydrogen, with its properties including room-temperature superconductivity and quantum fluidity, is known as the holy grail of high-pressure physics. However, since atomic metallic hydrogen requires pressures about 500 GPa, it has not been realized in experiments since its conception in 1935. To take advantage of properties the properties of metallic hydrogen in the future, it will be crucial to obtain it at ambient pressure. Current approaches to obtaining metallic hydrogen at low pressures rely on the "chemical precompression" in hydrides to induce metallization of hydrogen at low pressures, essentially identifying superconducting hydrides that can host the properties of metallic hydrogen. However, these superconducting hydrides currently lack distinct structural features, complicating the search for metallic hydrogen hosts. Here, we identify metallic hydrogen ligand compounds with hydrogen as the ligands as potential hosts for properties of metallic hydrogen at low pressures. The metallization of the non-bonding orbitals of the hydrogen ligands is a key criterion for determining whether a metallic hydrogen ligand compound can host metallic hydrogen properties. This article summarizes the main behaviors of hydrogen at ambient pressure, focusing on hydrogen ligand compounds at ambient pressure. Then, using a simple model of a one-dimensional hydrogen atom chain, we analyzed the causes of non-bonding orbital metallization and the physical picture of reduced stability pressure. The orbital characteristics of metallic hydrogen ligand compounds are then analyzed, highlighting their rules of superconductivity, topological properties, and the electronic structure that enable metallization. The analysis of metallic hydrogen ligand compounds presented in this article not only provides important structural information for future exploration of metal hydride superconductors but also provides an important theoretical foundation for realizing the properties of metallic hydrogen at ambient pressure.
Inhibition Mechanism of KHCO3-Containing Water Mist on Methane/Hydrogen Premixed Deflagration
HUANG Hui, LI Yuanbing, LI Xia, SHAO Peng
, Available online  , doi: 10.11858/gywlxb.20251189
[Abstract](250) PDF (3)
Abstract:
Explosion prevention and mitigation technologies for hydrogen/methane gas mixtures represent a critical research area for ensuring the safe application of hydrogen energy. This study systematically investigates the inhibition mechanism of potassium bicarbonate (KHCO3)-containing fine water mist on methane/hydrogen premixed deflagration using a combined approach of experiment and numerical simulation. The results indicate that KHCO3-containing fine water mist exhibits a significant inhibitory effect on methane/hydrogen premixed deflagration, with its suppression performance positively correlated to the KHCO3 mass fraction. Taking the condition of X_(H_2 )=10% as an example, 11 wt% KHCO3 addition resulted in reductions of the maximum explosion pressure P_max and the average rate of pressure rise 〖(dp/dt)〗_avg by 34.64% and 44.57%, respectively. The laminar burning velocity was reduced by up to 66.43%. KHCO3 contributes to suppression through both physical and chemical mechanisms. Physically, droplet phase change (evaporation) absorbs heat and the generated steam dilutes the fuel mixture, thereby lowering the flame temperature and reducing reactant concentrations. Chemically, the decomposition of KHCO3 generates potassium compounds, which undergo the KOH → K → KOH recombination cycle to scavenge key radicals (•H, •O, •OH). This process competes with chain-branching reactions and interrupts the combustion chain reactions.Furthermore, the suppression process is governed by a competition between inhibitory and promotional effects. At high hydrogen blending ratios and high mass fractions, the physical evaporation efficiency becomes a bottleneck that constrains the chemical inhibition, leading to a saturation of the overall suppression efficiency. Nevertheless, a significant inhibitory effect is still maintained.
Preliminary XFEL Experimental Simulation Platform Based On HSWAP Engine
LIU Jin
, Available online  , doi: 10.11858/gywlxb.20251155
[Abstract](266) PDF (3)
Abstract:
X-ray Free Electron Laser (XFEL) plays a critical role in diagnosing dynamic compression processes in micro- and meso-scale materials. To deepen our understanding of XFEL physics and optimize facility design, a preliminary XFEL experimental simulation platform was developed based on the High-Performance Computing (HPC) Simulation Workflow Application Platform (HSWAP). HSWAP provides workflow, component, and data linkage models for XFEL experiments, enabling flexible simulation of diverse processes through modular configurations. This platform was employed to investigate X-ray diffraction (XRD) of microscale materials and phase contrast imaging (PCI) of meso-scale explosive samples. Simulation results for XRD of a metallic sample under shock loading and PCI of voids in explosive materials demonstrate the platform's ability to accurately reproduce experimental dynamics. By integrating numerical models with data analysis, the platform enhances the design of XFEL experiments and provides a foundation for interpreting diagnostic capabilities in ultrafast processes. Future work will focus on refining simulation methods for meso-scale samples using phase-field approaches and high-Z materials under shock conditions.
Bursting Performance Optimization of Reverse-Arched Bursting Discs Based on Variable Fidelity Surrogate Models
YU Yaowen, LIANG Hao, CHEN Zhanghai, PU Weiqiang
, Available online  , doi: 10.11858/gywlxb.20251123
[Abstract](290) PDF (3)
Abstract:
To address the optimization design problem of the bursting performance of reverse-arched bursting discs (RABDs), a hierarchical Kriging (H-Kriging) surrogate model was constructed based on both high- and low-fidelity finite element analysis results. This model enables the rapid prediction of the burst pressure of RABDs, facilitating the development of a mathematical model for performance optimization and structural improvement. The results show that the H-Kriging surrogate model relating burst pressure to structural parameters based on high- and low-fidelity finite element models can significantly reduce computational cost while accurately predicting the burst pressure of RABDs. For the initial structural design scheme of RABDs, optimization was carried out using a genetic algorithm, with the optimized design accounting for manufacturing tolerance in disc thickness. This resulted in a 58.8% reduction in burst pressure fluctuation, significantly reducing the sensitivity of burst pressure to thickness manufacturing errors and providing valuable engineering reference.
Numerical Investigation on Cavity Evolution and Motion Characteristics of High Speed Water Entry Ogival Projectiles with Different Headforms
ZHENG Xiaobo, SONG Haisheng, ZOU Daoxun, YAO Weiguang, LI Teng, GUI Yulin, HE Yu, CHEN Yonglong
, Available online  , doi: 10.11858/gywlxb.20251169
[Abstract](240) PDF (10)
Abstract:
At present, The trans-media weapon is one of research hotspot in the military field. Based on the reynolds time-averaged N-S equation, VOF multiphase flow model and modified Realizable k-ε turbulence model, a three-dimensional numerical simulation method is constructed to study the cavity evolution and motion characteristics of ogival nose projectiles with different head shapes during high-speed vertical water entry, and the influence of head shapes on the cavitation evolution and motion characteristics is analyzed. The results show that the numerical simulation and experimental data have good consistency in the evolution of cavity shape and projectiles velocity. The geometry of the projectile warhead significantly affects the formation mechanism of the cavity and the motion characteristics of the projectiles. The cavity of ogival nose projectiles and double-cone ogival nose projectiles initially appears in the shoulder area of the projectile body, while the cavity of cone-cylinder ogival nose projectiles starts in the head and quickly wraps the entire projectile body. Combined with the analysis of the fluid pressure field, it is shown that a low-pressure area appears on the double-cone ogival nose projectile, which leads to the slowdown of the projectile velocity attenuation. The head of the cone-cylinder ogival nose projectile forms a typical high-pressure area, which leads to the acceleration of the projectile velocity attenuation. In addition, the axial acceleration of the cone-cylinder ogival nose projectile is more than twice that of the other two projectiles.
Molecular Dynamics Simulation of Micro-Jetting and Spallation in Helium-Bubble Copper under Double Supported Shocks
WANG Xinxin, BAO Qiang, HE Anmin, SHAO Jianli, WANG Pei
, Available online  , doi: 10.11858/gywlxb.20251075
Abstract:

Micro-jetting and micro-spallation at metal interfaces under intense shock loading play pivotal roles in applications such as inertial confinement fusion (ICF). These phenomena exhibit inherent complexity due to their multi-scale dynamics, strong nonlinearity, and coupled multi-field interactions. Under extreme irradiation conditions, the formation of high-pressure nanoscale helium bubbles significantly alters interface failure mechanisms. Using molecular dynamics methods, we investigate micro-jet growth and damage evolution in helium-containing copper subjected to double supported shock loadings. Helium bubbles demonstrate lower critical activation stress thresholds for expansion compared to void nucleation, with these thresholds being dependent on bubble distribution and number density. Under low-pressure primary shocks, helium-containing metals produce more pronounced micro-jets than pure metals. During secondary shocks, helium bubbles promote jet fragmentation, resulting in higher maximum velocities at micro-jet tips while maintaining comparable velocity distributions in micro-jet bodies. Secondary shocks show negligible effects on bulk helium bubbles that were previously compressed by initial shocks and partially rebounded due to rarefaction waves without complete recovery. Near-surface ruptured bubble walls may reattach to bubble bases after secondary shocks, temporarily re-trapping helium atoms that are subsequently released during unloading-induced re-expansion and rupture. The collapse mechanism of helium bubbles under secondary shock is closely related to the helium bubbles size and the strength of secondary shock. This study establishes fundamental physical understanding and provides a theoretical foundation for future cross-scale investigations of coupled micro-jetting and micro-spallation evolution in irradiated helium-containing metals.

Crystal Structure and Physical Properties of Sr2He Compound under High Pressure
WANG Qingmu, ZHANG Pan, SHI Jingming, LI Yinwei
, Available online  , doi: 10.11858/gywlxb.20251084
Abstract:

By combining first-principles calculations under the framework of density functional theory (DFT) and the CALYPSO crystal structure prediction method, the structural stability of the inert element helium (He) and alkaline-earth metals under high-pressure conditions has been systematically investigated. The calculations reveal that among the alkaline-earth metals, strontium (Sr) forms compounds with He exhibiting relatively low energy values. Consequently, the crystal structure of Sr2He at 400 GPa was predicted. Electron localization function (ELF) and density of states (DOS) analyses show no tendency for covalent bond formation between Sr and He atoms. Furthermore, Bader charge analysis reveals ionic bonding between Sr and He atoms, with charge transfer occurring from He to Sr. These results provide key insights into the bonding mechanism of Sr2He. This study elucidates the crystal structure, bonding nature, and electronic properties of Sr2He, offering theoretical support for understanding the stability and physical properties of such metastable materials and providing important guidance for their experimental synthesis.

Experimental Study on Directional Rock Fracture by Energy-gathered Cutting under Dynamic Impact
WANG Wei, CHENG Mingfeng, LUO Xin, WANG Jinbao, ZOU Baoping, CAO Chunhui
, Available online  , doi: 10.11858/gywlxb.20251114
[Abstract](306) PDF (4)
Abstract:
This study addresses the challenge of excavating through heterogeneous tuffaceous sandstone formations in tunnel construction by proposing a novel energy-gathering slotting rock-breaking technique based on dynamic impact. Using self-developed geotechnical dynamic impact testing system, cylindrical tuffaceous sandstone specimens (Φ100 mm × 50 mm) were prepared with 10 mm thick polyurethane pads adhered to one end. Radially arranged holes of 3 mm, 6 mm, and 9 mm in diameter were drilled into the pads, each fitted with six corresponding energy-gathering nails. Seven groups of tests were conducted under impact air pressures ranging from 0.35 to 0.65 MPa to investigate the effects of varying impact energy and nail diameter on directional rock fracturing performance. The results show that as the impact pressure increases, the peak stress and energy absorption of the specimens rise significantly, with fracture patterns transitioning from primarily intergranular to transgranular cracking. The 3 mm nails were prone to local crushing and failed to produce effective through-cutting cracks, while the 9 mm nails caused blocky or pulverized failure under high pressure. In contrast, the 6 mm nails consistently induced stable, continuous, and directional fractures under various pressures, producing more transgranular cracks and demonstrating excellent energy utilization efficiency. Scanning electron microscopy confirmed the strain-rate effect of impact: cracks were predominantly intergranular under low strain rates (low impact forces) and became transgranular under high strain rates. This technique leverages the compressive-reflective-tensile stress chain mechanism inherent in dynamic fracture mechanics to achieve controlled, directional rock breaking without explosives or liquid media. By properly matching impact parameters and nail diameters, this method can efficiently guide crack propagation along predetermined paths in deep, heterogeneous rock masses, offering a promising strategy for controlling over- and under-excavation in complex geological tunneling conditions.
Discrete Element Simulation of Axially Compressed Energy Constitutive Relations in Defective Sandstone
chenbing
, Available online  , doi: 10.11858/gywlxb.20251142
[Abstract](243) PDF (5)
Abstract:
Dual Wavelength All-Fiber Laser Interferometric Velocity Retest Technique
WANG Wei, LIU Shenggang, GU Wei, TAO Tianjiong, MA Heli, WANG Xiang, WENG Jidong
, Available online  , doi: 10.11858/gywlxb.20251081
[Abstract](234) PDF (2)
Abstract:
Based on the wavelength division multiplexing technology and the traditional optical path structure design of laser velocity interferometer, a dual wavelength laser velocity interferometer which has the retest function is proposed. The basic principle and optical path structure design of this dual wavelength laser velocity interferometer are briefly introduced. The dynamic examination experiment of low speed and high speed are carried out on gas guns, and the velocities of the same measuring point are simultaneous measured by this method with one single probe.The experimental results show that the deviation of the two wavelengths velocity measurement is within 1.5%.
Laminar Combustion and Explosion Characteristics of Ternary Premixed Fuels under High Pressure
CHEN Rui, JIANG Genzhu, TAO Juxiang
, Available online  , doi: 10.11858/gywlxb.20251140
[Abstract](257) PDF (7)
Abstract:
The effect of ethanol addition on the combustion characteristics of hydrogen methane mixed fuel was studied. Based on the constant volume combustion system, The laminar combustion and explosion characteristics of the three-component fuel were studied at the initial temperature of 400K, different ethanol contents (20%, 50% and 80%), different pressures (1bar, 3bar and 4bar) and different equivalent ratios (φ=0.7-1.4). The results show that under all experimental conditions, the hydrodynamic instability is most obvious when the equivalent ratio is 1.1, which is positively correlated with pressure and ethanol concentration. The laminar combustion velocity of the pre-mixed fuel is linearly affected by the initial pressure and the concentration of ethanol. The fitting correlation is in good agreement with the experimental values, and the deviation is less than 7%. The kinetic analysis shows that R1 pair is the main element reaction to increase the flame velocity of laminar flow. The linear relationship between explosion characteristics and initial pressure was obtained. The relationship between linear correlation slope, intercept and equivalent ratio was accurately determined by polynomial fitting, and the quantitative relationship between explosion characteristics, equivalent ratio, initial pressure and ethanol concentration was obtained.
Mechanical Properties and Ignition Performance of Rare Earth Reactive Materials under Impact Loading
LI Shoujia, ZHANG Beichen, DOU Jihang, HAN Yuhang, ZHAO Hongwei, CHEN Xuefang, QIN Shuaiwei, LU Xiaoxia, BI Pengyu
, Available online  , doi: 10.11858/gywlxb.20251106
[Abstract](379) PDF (8)
Abstract:
Aluminum (Al), one of commonly used reactive metals, is widely appliedin reactive material systems. However, its relatively low reactivity restricts the energy release of systems. To improve the reactivity of Al, we introduced aluminum-cerium alloy (Al-Ce alloy) which include the rare-earth cerium with high reactivity into the system. This study investigated the mechanical properties and ignition performance of four reactive material systems under shock overload—Al2Ce/PTFE, Al/PTFE, Al2Ce/ammonium perchlorate (AP), and Al/AP. A split Hopkinson pressure bar (SHPB) system was used to study the dynamic stress-strain behavior, ignition delay, and combustion duration of the prepared samples. Thermal analysis was conducted to assess the influence of reactive metal content on the thermal decomposition of AP. Results showed there are three distinct shock-induced ignition modes: non-ignition, combustion, and combustion (deflagration). Both Al2Ce/PTFE and Al/PTFE exhibited poor ignition performance. The Al2Ce/AP system demonstrates higher ultimate strength and critical failure strain, achieving deflagration upon impact with significantly shorter ignition delay and combustion duration compared to Al/AP. The incorporation of cerium accelerates AP decomposition and substantially increased the enthalpy of the Al2Ce/AP system, resulting in more concentrated energy release. Ce effectively enhances the reactivity of aluminum, and its high reactivity accelerates the reaction kinetics of the reactive system. Besides, it significantly intensifies energy release under impact loading. In conclusion, rare earth aluminum alloy materials, due to their high reactivity advantage, are of great significance for the development of new aluminum-based impact reaction materials.
Numerical Simulation of Penetration Response in Salt Cavern Gas Storage Based on RHT Constitutive Model
HU Rongrong, FAN Jinyang, YANG Fan, LIANG Wuxing, JIANG Deyi
, Available online  , doi: 10.11858/gywlxb.20251119
[Abstract](384) PDF (11)
Abstract:
Underground salt cavern gas storage is an important energy infrastructure, and once it is damaged by impact, it will cause irreparable losses. Therefore, it is of great significance to propose key dynamic stability indexes to evaluate the safety of salt caverns under extreme impact loads. To investigate the dynamic response of salt cavern gas storage under high-speed penetration, the salt rock material was defined using the RHT constitutive model. A finite element model of the gas storage structure was established using ANSYS/LS-DYNA software to analyze the damage effects of a ground-penetrating weapon on the salt cavern structure. Numerical simulations were conducted for three scenarios with varying overburden thicknesses, focusing on four parameters: vertical displacement, vertical stress, effective plastic strain, and shear stress. These simulations revealed the failure mechanisms of the cavern roof and surrounding rock under dynamic impact, as well as the variation patterns of key stability indicators. The results demonstrated that reduced overburden thickness intensified the dynamic response of the surrounding rock and expands plastic deformation zones. Displacements of the roof and surrounding rock exhibited an initial increase followed by a decrease. Salt rock in low vertical stress regions experienced higher shear stresses, increasing susceptibility to failure. The surrounding rock accumulated greater plastic strain, showing heightened sensitivity to penetration-induced disturbances.
Characterization of Damage to Adjacent Fill Bodies by Blasting of Slit Packets
ZHU Benliu, LI Xianglong
, Available online  , doi: 10.11858/gywlxb.20251111
[Abstract](304) PDF (4)
Abstract:
In order to accurately regulate the damage effect of slit pack blasting on the filling body of the quarry in deep mines, this study focuses on the damage control mechanism of the peripheral hole spacing (500mm, 600mm, 700mm, 800mm). Based on the theory of elastic fluctuation and the dynamic propagation characteristics of shock waves in rocky media, the diffusion mechanism of the stress wave under the action of multi-media in the constrained orientation during slit packet blasting is established; and combined with the strong correlation between brittle concrete materials and the damage evolution of the filling body, the cross-media equivalence calibration framework of the RHT intrinsic model is established; and the “filling body-mining body” model is constructed on the basis of the numerical simulation software, ANSYS/LS-DYNA, and the “filling body-mining body” model is developed by using the numerical simulation software, ANSYS/LS-DYNA. Based on the numerical simulation software ANSYS/LS-DYNA, we constructed a multi-media dynamic coupling numerical model of “filling body-mineral body-cutting slit package”, arranged observation points at the junction of filling body-mineral body, and conducted a combined analysis of the peak stress change, the change of the blast vibration velocity, and the damage evolution of the filling body at the observation points. Then, based on the blasting test of the approach and return stage of the neighboring filling body in Jinchuan Three Mining Area, the blasting test of conventional packs, slit packs and different peripheral hole spacing was conducted. The test shows that: slit pack blasting triggers gas-phase jet and strain-energy convergence effects in the unconfined direction, synchronously suppresses the stress and vibration peaks in the confined direction, and achieves directional attenuation of the blasting load on the neighboring filling body; the field test shows that, compared with the conventional charge, the slit pack significantly reduces the degree of damage of the filling body by more than 36%; the degree of blasting damage and the peripheral hole spacing show a negative correlation, and the damage suppression efficiency is improved with the increase of the spacing. The damage suppression efficiency is improved when the spacing increases.
Microstructure and Properties of the Energetic Structural Material of Ti1.5ZrNbMo0.5W0.5 High-Entropy Alloy
WU Xiaohan, HE Jinyan, ZHUANG Zhihua, ZHANG Xinggao, PENG Wenlian, CHEN Hao, XU Hanqing
, Available online  , doi: 10.11858/gywlxb.20251105
[Abstract](326) PDF (16)
Abstract:
With the increasing demand for enhanced mechanical properties and energy release capabilities in energetic structural materials, traditional materials struggle to concurrently achieve both high mechanical properties and energy release properties. In this study, a novel Ti1.5ZrNbMo0.5W0.5 high-entropy alloy was developed by powder metallurgy process, and its microstructure, mechanical properties, damage effectiveness and energy release mechanisms were comprehensively investigated. The result indicates that the sintered Ti1.5ZrNbMo0.5W0.5 alloy, characterized by high density and fine grain size, demonstrates superior quasi-static and dynamic compression properties. During the ballistic gun experiments, the Ti1.5ZrNbMo0.5W0.5 alloy projectile can penetrate the Q235 steel plate with thickness range of 6-10 mm at the speed range of about 600-1100 m/s. Meanwhile, after penetrating through the target, the fragment was broken into small-sized fragments and causing the severe energy release reaction. This energy release reaction is primarily driven by the substantial oxidation of Zr-rich regions, releasing significant thermal energy and successfully igniting the cotton and gasoline placed behind the steel target. This research provides a thorough characterization of the microstructure and mechanical properties of Ti1.5ZrNbMo0.5W0.5 alloy. Furthermore, it evaluates its overall performance in practical armor-piercing application and reveals its energy release mechanisms. The research results provides a theoretical foundation and experimental data for the further study and application of Ti-Zr-Nb-Mo-W system high-entropy alloy.
High-Pressure Preparation of High-Strength Wood Materials
YE Zi, ZHOU Xuefeng, XU Jianing, ZHOU Chenglin, YANG Yi, ZHENG Linpeng, CHEN Bin
, Available online  , doi: 10.11858/gywlxb.20251127
[Abstract](334) PDF (15)
Abstract:
Mineral resources on Earth are finite, but wood is renewable. Consequently, replacing limited industrial materials with modified wood remains a long-term human pursuit. This study processed samples of three wood types: (Balsa Ochroma lagopus, Basswood Tilia tuan, and African blackwood Dalbergia melanoxylon). The research team used a large volume cubic press to compress these samples at room temperature under high pressure. The effects of high-pressure treatment on the air-dry density, compressive strength, and elastic modulus of the three wood species were analyzed, and changes in their internal microstructures were observed using CT and SEM. The results showed that the physical and mechanical properties of all three wood species improved. After high-pressure processing at 5.5 GPa, the density of lightwood, linden, and blackwood increased by 239%, 112%, and 11%, respectively; the surface hardness increased by 79%, 46%, and 15%, respectively; and the compressive strength increased by 33%, 9%, and 28%, respectively. Notably, the specific strength of compressed African blackwood (101.55 kJ·kg-1) approaches that of aluminum alloys(109.23 kJ·kg-1). Results demonstrate that African Blackwood is lighter than ceramic materials. Furthermore, this wood offers superior electrical insulation and thermal insulation compared to aluminum alloy. Crucially, African Blackwood possesses high specific strength. This property gives it significant potential to replace aluminum alloy in numerous special environments. Such application supports sustainable development for future industries. Ultimately, this research opens new possibilities for high-value wood applications.
Static/Dynamic Mechanical Properties and Ballistic Behavior of 6061 Aluminum Alloy
FENG Zhijian, HU Menglei, ZHANG Xuefeng
, Available online  , doi: 10.11858/gywlxb.20251108
[Abstract](429) PDF (32)
Abstract:
Due to its excellent mechanical properties, aluminum alloy has significant engineering application value in aerospace, ship engineering, new energy, and electronic devices. However, during its service, it often needs to withstand dynamic impact loads. Studying its mechanical response behavior under high strain rate conditions has important theoretical and practical significance for engineering applications. This study takes 6061 aluminum alloy as the research object and conducts in-depth research on its static and dynamic mechanical properties and ballistic response characteristics through systematic experimental tests and numerical simulations. The experimental results show that within the strain rate range of 0.001 - 3800 s-1, 6061 aluminum alloy exhibits a significant strain rate strengthening effect. The flow stress increases significantly with the increase in strain rate, by 18.5%. However, its strain hardening behavior remains relatively stable under different strain rate conditions. The parameters of the Johnson-Cook constitutive model calibrated by the least square method can accurately describe the mechanical response of the material under different strain rates. The ballistic experiment results show that the ballistic limit of a spherical projectile penetrating a 6061 aluminum alloy target plate is 282.6 m/s, and the residual velocity has a good linear relationship with the incident velocity under the super-ballistic limit condition. The failure morphology analysis of the target plate reveals that its failure mode is related to the impact velocity: at low impact velocities, the main failure mode is overall deformation dominated by composite stress, while at high penetration velocities, it is mainly local shear failure. The finite element model established successfully reproduces the ballistic response and failure mode observed in the experiments, with an error of less than 5%, verifying the reliability of the fitted constitutive model parameters and numerical methods. Using an experimentally verified finite element model, the ballistic responses of spherical projectiles of different diameters penetrating a 6061 aluminum alloy target plate were studied. When the projectile diameters were 10mm, 8mm, and 6mm, the ballistic limit velocities of the target plate were 283m/s, 392m/s, and 443m/s respectively. Therefore, under the condition that the thickness of the target plate remains unchanged, the higher the projectile mass, the greater the ballistic limit velocity of the target plate. This study provides important theoretical basis and experimental data support for the engineering application of 6061 aluminum alloy under impact load conditions.
Shock Wave Propagation Law of Curved Tunnel and Curved Diffusion Tunnel
CHENG Hao, PENG Yong, XUE Xiaoguang, LU Qiu, LI Xiangyu, LI Zhibin
, Available online  , doi: 10.11858/gywlxb.20251099
[Abstract](277) PDF (18)
Abstract:
In view of the unclear attenuation law of shock wave in curved tunnel is unclear, the influence of radius and turning angle on shock wave propagation in curved tunnel is analyzed. It was found that its influence on the wave dissipation efficiency was limited, and the wave dissipation efficiency of curved tunnel is similar to that of direct turning tunnel with the same angle, which is basically less than 7.2%. In order to improve the attenuation efficiency of shock wave in curved tunnel, a new protective idea of constructing arc-shaped diffusion tunnels based on arc-shaped tunnels by setting up diffusion chambers was proposed. The influence laws of diffusion ratio and diffusion forms (inner diffusion, two side diffusion and outer diffusion) on the wave dissipation efficiency of curved diffusion tunnels were also discussed. The calculation shows that curved diffusion tunnel can greatly improve the attenuation efficiency of shock wave, and the attenuation rate can reach 55.9%. Among them, the outer diffusion curved tunnel has the highest wave dissipation efficiency, followed by the inner diffusion type and the double-sided diffusion type. Moreover, the wave attenuation efficiency increases continuously with the increase of the diffusion ratio. As the peak pressure of the shock wave increases, the wave attenuation efficiency of the curved diffusion tunnel also improves, reaching up to 64.4%. When the peak pressure continues to increase, the wave attenuation efficiency of the curved diffusion tunnel slightly decreases but remains basically unchanged. The wave attenuation efficiency of the curved diffusion tunnel decreases with the increase of the positive pressure duration of the shock wave. When the positive pressure duration is 100 ms, the wave attenuation efficiency drops to 25.4%. However, as the positive pressure duration further increases, the wave attenuation efficiency of the curved diffusion tunnel remains almost unchanged.
Physical Mechanisms of "Shock Cooling" at the Molecular Fluid/Window Interface under Shock Loading
LI Kewei, Muhammad Sabeeh Akram, YANG Lei, YUAN Wenshuo, LIU Fusheng
, Available online  , doi: 10.11858/gywlxb.20251092
[Abstract](383) PDF (21)
Abstract:
The physical mechanism of "shock cooling" at the molecular fluid/window interface has long puzzled the shock wave physics community. There are three distinct viewpoints explaining the cooling effect at the shock interface: (1) thermal equilibrium between the molecular fluid and the window; (2) extinction effect of the molten optical window; and (3) shock response characteristics of the molecular fluid. This paper comparatively investigates the shock radiative behavior and radiation temperature variation characteristics at the interfaces between the chemically active fluid CHBr3, the inert liquid argon (LAr), and the LiF optical window. Under the same shock pressure, the interface radiation characteristics of the two media exhibit distinct evolution features, indicating that the interface cooling effect is closely related to the fluid medium and its chemical activity. Therefore, the observational results of this paper strongly support that the interface cooling effect is caused by the shock response of the fluid itself, rather than the heat conduction mechanism or the window melting extinction mechanism.
Numerical Simulation Study on the Effect of the Wave Shaper on Shaped Charge Jet Formation in Centrally-Apertured Liners
LIANG Zhouguang, FU Jianping, REN Kai, YANG Rui, SHI Junqing, WANG Bo, GAO Yueguang, CHEN Zhigang
, Available online  , doi: 10.11858/gywlxb.20251104
[Abstract](453) PDF (40)
Abstract:
To investigate the application of wave shapers in small-caliber shaped charges, the effects of aligning wave shaper parameters with those of center-holed liners on detonation product leakage and jet penetration performance were studied. Based on the regular oblique reflection theory of detonation waves, quantitative relationships between wave shaper parameters and detonation wave initial incident angles/pressure distributions at various positions on the liner surface were derived. Systematic analysis using LS-DYNA software revealed the influence patterns of wave shaper diameter and height on jet formation and penetration performance. The results indicate that adding wave shapers to center-holed liners effectively increases the collapse pressure on the liner, suppresses detonation product leakage, enhances energy utilization efficiency, and improves jet penetration performance. Jet penetration capability initially increases and then decreases with increasing wave shaper diameter. Wave shaper height exhibits a multi-extremum response effect on jet performance. The largest penetration depth of 158.17 mm into 45# steel targets was achieved with a wave shaper diameter of 6 mm and a height of 4 mm, representing a 17.21% improvement compared to structures without wave shapers. These findings offer valuable insights for designing small-caliber shaped charge warheads.
Experimental and Simulation Study on Impact Response of Submarine Optoelectronic Composite Cables
LUO Longqi, LI Kebin, ZHAO Yuantao, ZHOU Fenghua, ZHENG Yuxuan
, Available online  , doi: 10.11858/gywlxb.20251083
[Abstract](349) PDF (18)
Abstract:
This thesis aims to explore the impact resistance mechanical properties of Submarine Optical-Electrical Composite Cable (SOCC) under different working conditions. Firstly, a hammer impact experiment was carried out on SOCC to reveal the structural deformation characteristics of the outer armour under different variables and to record the impact evolution process and the maximum degree of concave deformation; secondly, a finite element simulation analysis was carried out on SOCC, and a comparison analysis was made with the experimental results; lastly, the deformation characteristics of SOCC under the influence of different parameters were explored. The results show that both the inner and outer armour undergo depression deformation, while the copper armour, copper conductor, and optical cable armour mainly show bending deformation, coupled with local depression deformation. With the increase of impact energy, the time required for metal components to reach the maximum deformation decreases, and the rebound becomes faster. The impact angle does not have a significant effect on the depression deformation of the inner and outer armour and produces significant damage to other internal components, of which the upper component has the most serious deformation damage. This paper is conducive to the evaluation of the dynamic performance of SOCC and provides a reference for the design of SOCC protection measures in engineering.
Ballistic and Compression after Impact Behaviors of Carbon/Basalt Fiber Hybrid Laminate
ZHANG Longfei, LIN Gaojian, YUAN Ye, ZHOU Zhipeng
, Available online  , doi: 10.11858/gywlxb.20251073
[Abstract](477) PDF (16)
Abstract:
This study examines the ballistic and compression-after-impact (CAI) performance of carbon fiber/basalt fiber (CF/BF) hybrid laminates with different CF/BF ratios. The results show that the basalt fiber significantly enhances the energy absorption capacity of the hybrid laminates. C-scanning and electron microscopy were used to investigate the damage mechanisms, providing insights into the improved performance. Although the compression strength of the original hybrid laminates monotonically decreases with the increasing BF content ratio, the residual compression strength measured from CAI tests for the damaged laminates shows a locally wavy trend due to the competition between the increased energy absorption capacity and decreased original compression strength. This study offers guidance for designing lightweight, impact-resistant composite structures.
Influence of Temperature on Mechanical Properties and Spall Damage of Invar36 Alloy
TANG Zeming, HU Jianbo, HU Changming, CHEN Sen
, Available online  , doi: 10.11858/gywlxb.20251057
[Abstract](462) PDF (42)
Abstract:
This study systematically investigated the effects of temperature on the spall behavior of Invar36 alloy through plate impact experiments and microstructural characterization techniques. Utilizing a single-stage light gas gun loading platform combined with a high-temperature heating device, the experiments measured free surface velocity profiles and spall strength variations in samples with different segregation orientations within the temperature range of 20°C to 300°C. Results demonstrate that the spall strength of Invar36 alloy exhibits a linear decrease with increasing temperature, with elevated temperatures significantly weakening its dynamic tensile resistance. Microstructural damage analysis reveals that at room temperature, voids nucleate and propagate along element segregation bands, while high-temperature damage concentrates at grain boundaries. Elevated temperatures reduce the constraining effect of segregation and facilitate material softening through thermally activated dislocation motion. The research elucidates the central role of temperature in governing spall strength and damage mechanisms, providing a theoretical foundation for failure-resistant design of Invar alloys under high-temperature impact conditions.
Research Progress on Dynamic Mechanical Response Characteristics of High-Velocity Particle Flow Impacting Multilayer Sandwich Composite Structures
ZHENG Wei, WANG Kunxuan, WANG Dengwang, LI Jun, GAO Yubo
, Available online  , doi: 10.11858/gywlxb.20251059
[Abstract](499) PDF (20)
Abstract:
Multi-layer sandwich composite structures have significant applications in impact protection. In particular, they demonstrate superior protective performance when subjected to impacts from explosive fragment particle clusters. Based on an analysis of the impact resistance and failure mechanisms of single-layer materials, this paper reviews the research progress regarding the dynamic mechanical response characteristics of composite structures under both single-particle and multi-particle impacts. The results indicate that metallic materials predominantly exhibit features such as plastic deformation, crack propagation, and localized thermal softening. By contrast, ceramics rapidly disperse impact energy due to their high hardness and propensity for brittle fracture. Meanwhile, fiber-reinforced composites achieve hierarchical energy dissipation through their continuous fiber network. Studies on multi-layer sandwich structures show that high-speed particle impacts on the target plate have been found to induce phenomena such as localized stress wave propagation, micro-crack formation, and interfacial delamination. The mechanisms underlying impact resistance in these structures are complex. However, current research primarily focuses on the impact resistance of structures under single-impact conditions. The protective mechanisms under multi-particle impacts remain unclear, and the employed research methods are relatively limited. Experimentally, approaches such as the modified split Hopkinson pressure bar (SHPB) apparatus are predominantly utilized to achieve high-speed loading of particle clusters. Nevertheless, issues regarding secondary impacts and velocity limitations in these experiments have yet to be effectively resolved. In numerical simulations, the smoothed particle hydrodynamics–finite element method (SPH-FEM) coupling approach remains the mainstream method for investigating particle cluster impacts. However, concerns regarding the accuracy of these models still warrant further investigation.
Tensile Fracture Characteristics and Dynamic Crack Evolution Law of Concrete
LIU Jinhao, LI Jinzhu, YAO Zhiyan, ZHANG Liwei
, Available online  , doi: 10.11858/gywlxb.20251046
[Abstract](367) PDF (19)
Abstract:
To investigate the tensile fracture characteristics and crack evolution mechanisms of concrete, Brazilian disc quasi-static splitting tests and falling weight impact tests were conducted. The crack propagation and mechanical responses were analyzed using the finite element-cohesive element method (FCEM). Experimental results demonstrated that under quasi-static loading, concrete discs exhibited tensile fracture with a primary crack penetrating along the loading direction at the disc center, accompanied by minor parallel secondary cracks. Crack propagation primarily occurred within the mortar matrix and along aggregate-mortar interfaces. The tensile performance of three-dimensional concrete discs exhibited significant enhancement with increasing thickness-diameter ratio. Under dynamic impact loading, specimens maintained a center-initiated fracture pattern, where the main crack propagated along the loading diameter, while triangular crushing zones formed at the edges in contact with testing apparatus. With increasing drop height, the specimens sequentially exhibited four distinct failure modes: no crack initiation, crack initiation without penetration, complete crack penetration, and severe fragmentation. High-speed photography quantified time-dependent crack lengths, demonstrating prolonged crack propagation durations at reduced drop heights. Numerical simulations revealed a nonlinear decreasing trend in crack initiation time versus drop height, with an empirical formula established to describe their relationship.