2022年  第36卷  第6期

封面
2022-06封面封底
2022, 36(6)
摘要:
2022 年 6 期目录
2022, 36(6): 1-2.
摘要:
特别约稿与研究综述
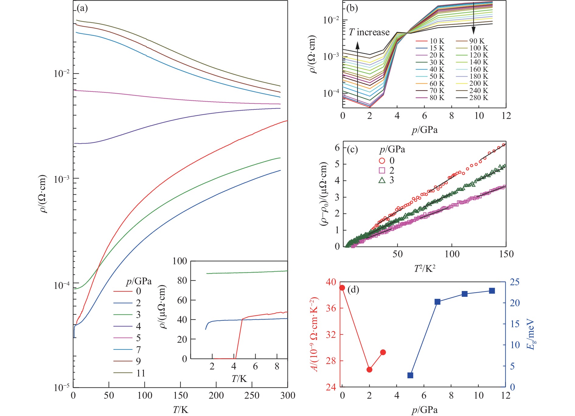
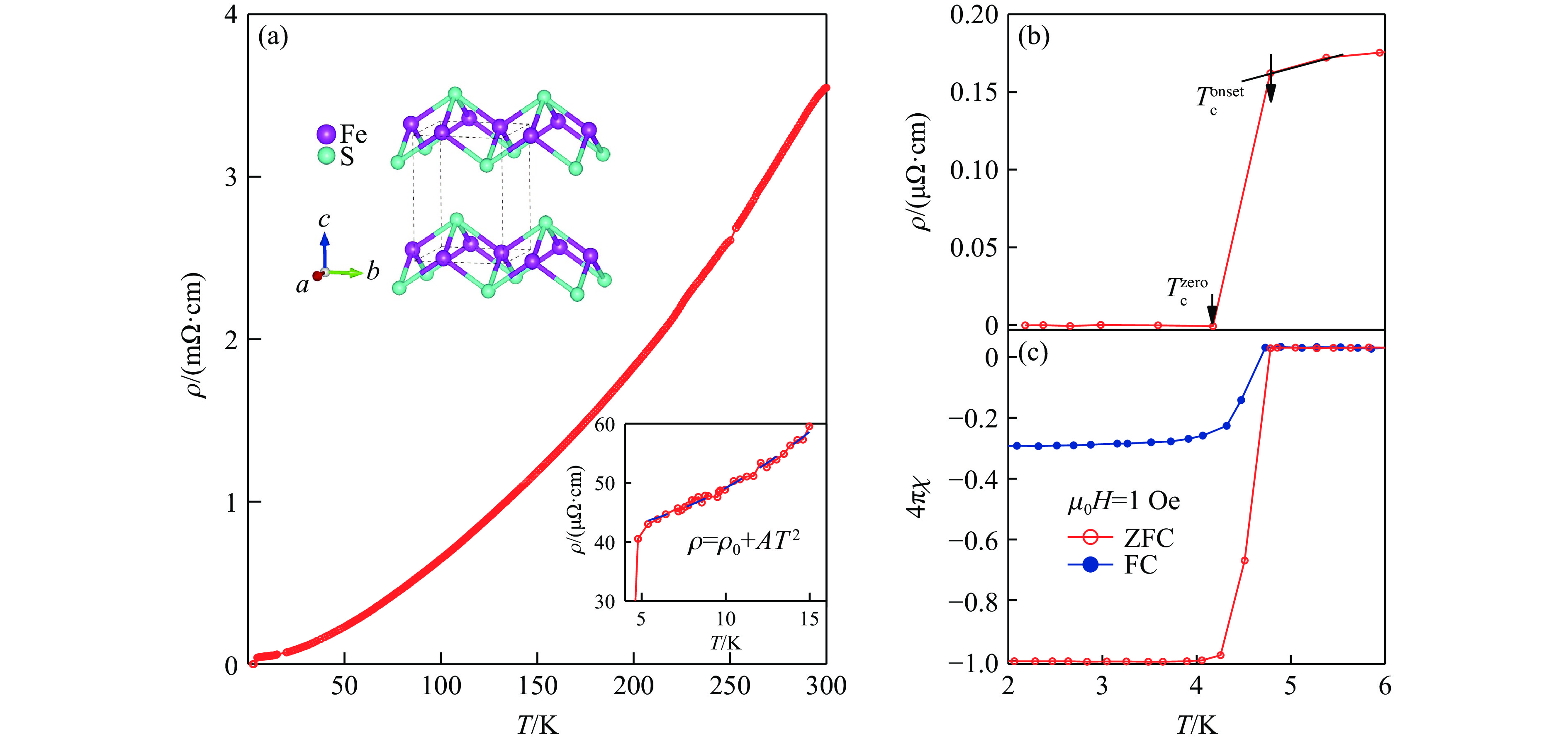
四方相FeS超导体的高压调控研究
孙建平, 杨芃焘, 刘少博, 周放, 董晓莉, 闻海虎, 程金光
2022, 36(6): 060101. doi: 10.11858/gywlxb.20220677
摘要:

高压调控在提高铁基超导体的临界温度(Tc)、揭示竞争电子序之间的联系以及超导机理等方面发挥了重要作用。大量的高压研究结果显示,不同的压力环境(静水压或非静水压)会造成材料物性的高压响应出现明显差异。目前,对四方相FeS超导体的高压研究结果仍存在分歧。为此,采用能够产生良好静水压环境的活塞-圆筒和六面砧压腔,详细测量了FeS单晶在0~11 GPa压力范围内的磁化率和电阻率,确认其Tc随压力升高而单调降低,压力系数dTc/dp约为−1.5 K/GPa,即约3 GPa的压力可完全抑制超导。当FeS单晶在4~5 GPa发生四方-六角结构相变时,电阻率的温度依赖关系由金属行为转变为半导体行为,且电阻率随着压力升高而逐步增大,在11 GPa以内没有出现第2个超导相,因此不支持FeS在高压下具有两个超导相的结论。最后,结合微观晶体结构信息,对比讨论了等结构的FeSe和FeS的物性在高压下迥异响应的物理机制。

高压下卤素化合物的反常物性
刘妍, 李达, 崔田
2022, 36(6): 060102. doi: 10.11858/gywlxb.20220672
摘要:

凝聚态物质的基本性质强烈依赖其微观构型及电子结构,而高压可以有效地减小原子间距离,引起物质电子构型的重新排布并改变键合模式,从而使物质以有违传统的物理、化学状态存在,形成常压下无法获得的新结构、新现象和新性质。以第七主族卤素为例,简要介绍卤素化合物在高压下所呈现的反常物理性质。相关研究表明:在高压下卤素化合物呈现出异于常压的价态、配位以及成键方式。这些研究不仅提升了对卤素的基本认识,同时也拓宽了高压物理研究的新视野。

高压物性与结构
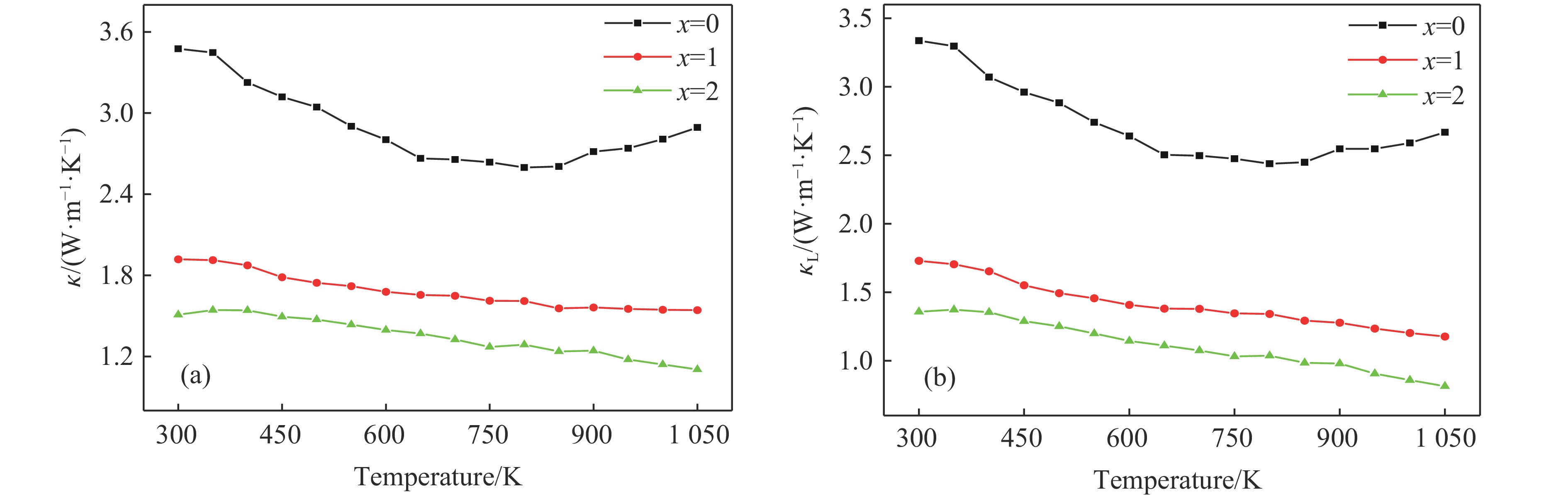
磷掺杂硅锗合金热电材料的高压合成及热电性能
韩鹏举, 胡美华, 毕宁, 王月月, 周绪彪, 李尚升
2022, 36(6): 061101. doi: 10.11858/gywlxb.20220601
摘要:

热电材料是一种可以实现热能与电能相互转换的功能材料,硅锗合金作为优良的高温热电材料被应用于深空探测。采用高压合成法制备了磷掺杂n型SiGe合金Si80Ge20Pxx=0, 1, 2),研究了其电输运和热输运特性。结果表明,高压合成样品具有多尺度缺陷。磷掺杂可以优化SiGe合金的电导率和Seebeck系数,1050 K时Si80Ge20P1样品的功率因子较未掺杂样品提升了100%。同时,掺磷量的增加导致晶格热导率下降,1050 K时Si80Ge20P2样品的热导率降低约80%。此外,Si80Ge20Px的热电性能得到显著提升,1050 K时Si80Ge20P2样品的热电优值达到1.1。

平板撞击和磁驱动加载下铈镧合金的相变
朱浏镇, 李江涛, 徐亮, 李绪海, 罗斌强, 胡建波
2022, 36(6): 061102. doi: 10.11858/gywlxb.20220607
摘要:

为探究铈镧合金在γ相区的压缩特性以及加载应变率对铈镧合金动态相变行为的影响,采用火炮驱动平面撞击和磁驱动斜波压缩两种加载方式对铈镧合金(Ce-5%La,La的质量分数为5%)进行动态加载,通过测量波剖面获得铈镧合金在γ相区的弹塑性转变、状态方程以及γα相变压力。结果表明,铈镧合金在平面撞击下会形成准等熵压缩波,证实铈镧合金在γ相区具有理论预测的反常压缩特性。正因为这一反常压缩特性,两种加载方式下铈镧合金在γ相区的应变率响应非常接近,从而导致γα相变压力对加载应变率不敏感。镧的掺入显著提高了铈合金的动态相变压力,显示出该相变具有4f电子驱动结构相变的特征。

高压理论与计算
点火源参数对旋转爆轰波特征影响的数值模拟
彭澳, 张静雯, 陈先锋, 孙绪绪
2022, 36(6): 062301. doi: 10.11858/gywlxb.20220593
摘要:

采用欧拉方程和两步诱导反应模型,详细研究了点火源参数对旋转爆轰波特征的影响规律,详细考虑了点火源尺寸、数量和间距的影响。利用提前计算得到的C-J爆轰波作为点火源,改变C-J爆轰波的大小便可得到不同尺寸的点火源。数值模拟结果表明:旋转爆轰波特征与点火源参数密切相关;仅可观察到双波和三波模式;旋转爆轰波数量与点火源尺寸之间呈现非线性关系。对于一个点火源,在相同的点火源宽度下,双波模式出现的概率超过80%,而三波模式的出现是一个随机现象。旋转爆轰波的形成机理可总结如下:第一个旋转爆轰波来源于入射C-J爆轰波的直接起爆,后续的旋转爆轰波则起源于压缩波与可燃气体射流之间的相互作用。旋转爆轰波特征与点火源数量及间距密切相关,它们之间的关系也都呈现非线性。

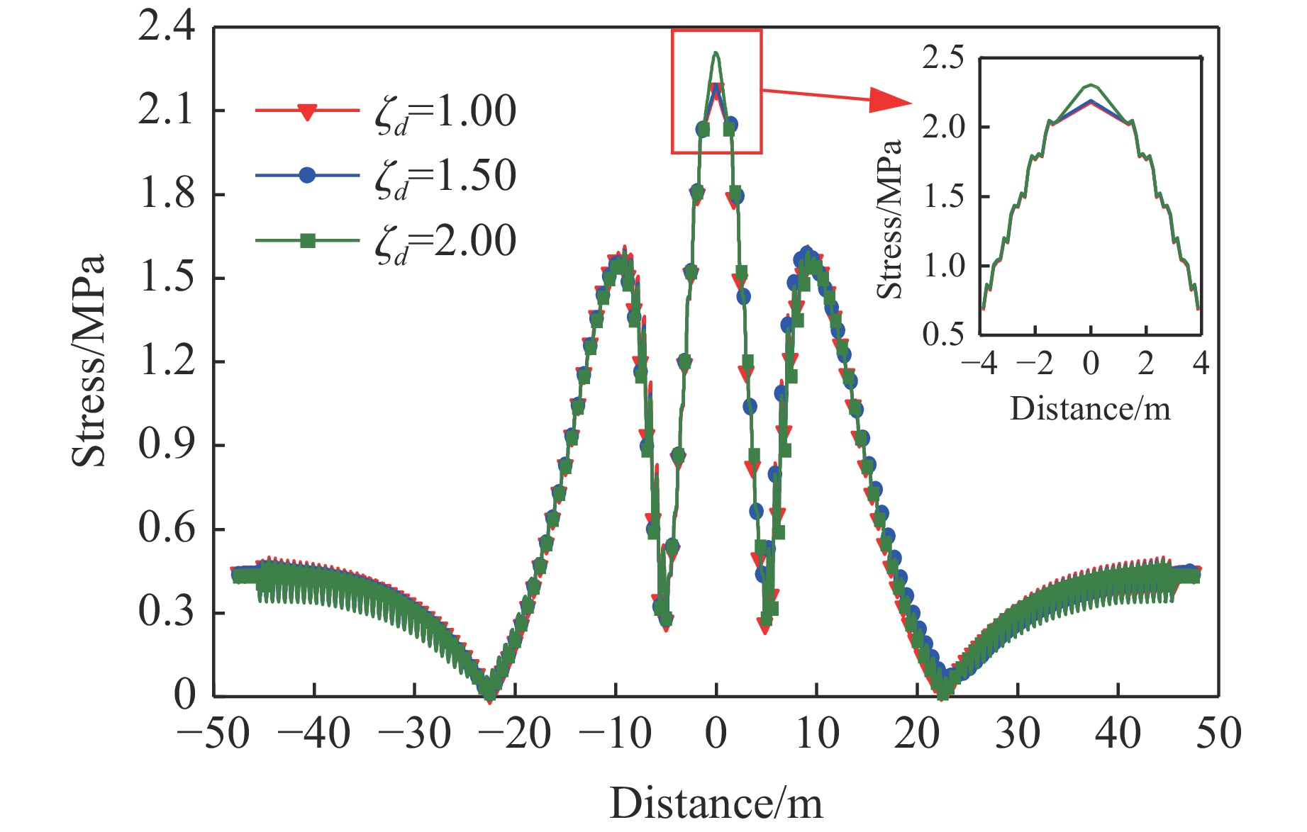
上土下岩地层中平面SH波的传播特性分析
周俊, 石文革, 董玉飞, 路世伟, 杜国锋, 刘洪宇
2022, 36(6): 062302. doi: 10.11858/gywlxb.20220564
摘要:

为研究爆破地震波在层状地层的传播规律,选取平面SH(水平剪切)波作为研究对象,基于弹性波动理论,建立了一般层状地层的刚度矩阵和动力平衡方程,分析了土层与基岩的阻抗比、土层厚度、入射波频率和入射波角度对地表速度与土岩地层界面速度的比值(|u1/u2|)的影响。结果表明:|u1/u2|的各个峰值随着入射波频率的增大而减小,且第2个峰值明显小于第1个峰值,实际工程中应重点关注土层的一阶卓越频率;随着土层阻抗的增大,高频部分的响应越来越强烈,且受入射角的影响也越来越大;当土层较薄时,|u1/u2|高频部分的响应比较明显,但随着土层厚度增加,高频部分的响应越来越小,说明土层的高频滤波作用随着厚度的增加而增强。

扰动作用下爆轰形成机理
张静雯, 彭澳, 陈先锋, 孙绪绪
2022, 36(6): 062303. doi: 10.11858/gywlxb.20220600
摘要:

为详细研究扰动作用下爆轰触发机理,在内径为90 mm的圆管内用阻塞比为0.923的孔板使稳定爆轰完全失效,然后在孔板下游0.5 m处安装一个由直径为2 mm的圆柱杆构成的小型障碍物,用以研究人为添加的小扰动对不稳定爆轰触发的影响。通过改变小型圆柱杆的数量(1、2、3),得到了3种不同类型的小扰动,其阻塞比分别为0.03、0.04和0.07。采用PCB压力传感器记录爆轰波的到达时间,以获得爆轰平均传播速度,同时采用烟熏板技术记录爆轰胞格结构。实验结果表明:小扰动可显著促进爆轰起爆,爆轰触发临界压力从光滑管道内的37 kPa降低到25 kPa;小扰动还增强了波阵面的不稳定性,诱导形成局部爆炸点,这是导致爆轰触发的重要原因;在极限条件下,爆轰触发条件可近似量化为DH/λ>1(DH为水力直径,λ为爆轰胞格尺寸)。采用忽略黏性的二维欧拉方程作为控制方程,两步诱导反应速率模型描述化学反应过程,模拟研究了扰动波长和振幅对爆轰触发的影响。数值模拟结果表明,低振幅、高频率的扰动可诱导产生更多的横波增强波阵面的不稳定性,有助于爆轰触发。

高压技术
爆磁准等熵加载下真空管道压缩与通光特性
陈光华, 张旭平, 谷卓伟, 钟敏, 周中玉, 陆禹, 袁帅
2022, 36(6): 063401. doi: 10.11858/gywlxb.20220682
摘要:

柱面爆磁准等熵加载技术可实现低密度材料的超高压力加载。为获取压缩后样品的光学特性,新提出了一种利用金属真空管道作为光传输通道的真空导光探针结构,以避免加载压力对光测路径的影响。为评估爆磁准等熵加载实验中真空导光探针光学诊断通道的闭合性质,对高密度金属真空管道在柱面内爆准等熵加载下的压缩特性和通光特性进行了分析和实验测试。采用单级爆磁加载装置CJ-100开展了水的爆磁准等熵压缩实验,通过对比分析钽管内壁速度测量结果和理论计算结果,发现对于外径3 mm、内径2 mm的真空钽管,当压力约为485 GPa时,钽管内径被压缩至1.28 mm,钽管空腔内的光信号传输以及钽管内光纤和光纤探头的传输通道一直保持畅通,钽管内径被压缩至1.28 mm之后,光信号仍然存在约50 ns。这说明采用由钽等高密度金属材料制成的真空导光管道开展柱面内爆加载下样品的光学特性测量是可行的,为爆磁准等熵加载实验中样品高压光学特性测量提供了新的技术途径。

高压下物质的动态响应
高能转子轮盘包容机理和包容环结构优化
刘志强, 鞠晓蓉, 宣海军, 陈利强, 何泽侃
2022, 36(6): 064101. doi: 10.11858/gywlxb.20220584
摘要:

为研究高能转子轮盘的包容机理,加工了预制裂纹的试验轮盘,在高速旋转试验台上进行高能转子轮盘的包容性试验,采用非线性显式动力学商用软件对高能转子包容性进行数值仿真。试验结果和仿真分析结果表明,轮盘碎片与包容壳撞击后,撞击区域和边缘材料分别受压缩和剪切作用,如果局部的穿孔失效没有发生,则碎片是否逃逸由壳体材料撞击区和延伸区域的拉伸应变能决定。以某空气涡轮起动机为例,讨论了轮盘包容环厚度与选材,证明了以1.15倍临界包容厚度值作为安全系数确定工程许用包容环厚度的设计方法,通过比较不同材料包容环的包容能力,得出用高极限强度和高延伸率的材料作为包容环材料能够实现明显减重。研究结果对高能转子轮盘的包容结构设计具有指导意义。

不同试验条件和含水状态下花岗岩的声发射与破裂演化特征
张恒源, 郭佳奇, 孙飞跃, 石晓燕, 朱子辉
2022, 36(6): 064102. doi: 10.11858/gywlxb.20220577
摘要:

为进一步揭示含水岩石破裂演化机制和裂纹扩展规律,开展了不同含水状态花岗岩的单轴压缩试验、巴西劈裂试验和直剪试验,得到了岩石在变形破坏过程中的力学、声学信息,结合声发射振铃计数和特征参数(RA)与平均频率(AF)的相对关系,厘清了含水花岗岩在不同试验条件下的微观破裂特征。结果表明:水对岩石的抗压、抗拉、抗剪强度以及弹性模量均有明显的弱化作用;不同试验条件下花岗岩的声发射信号存在明显差异,单轴压缩条件下声发射振铃计数在峰值应力点附近激增且信号活动主要出现在峰值应力点后,巴西劈裂条件下声发射振铃计数的整体波动相对较小,直剪试验条件下振铃计数激增现象比单轴压缩明显提前,呈阶梯式增长;单轴压缩条件下张拉裂纹数量呈现先减少再增加的趋势,而剪切裂纹始终在减少,直剪试验条件下剪切裂纹占主导作用,巴西劈裂条件下张拉裂纹占主导作用;不同试验条件下水对花岗岩剪切裂纹和张拉裂纹的影响机制类似,水会促进岩石内部张拉裂纹的发育而抑制剪切裂纹的发育。研究结果可为进一步探究工程围岩在不同应力场下的破裂特征提供一定的参考依据。

三轴应力下孔隙水泥环的压裂破坏机制
杨永明, 孙梦珂
2022, 36(6): 064103. doi: 10.11858/gywlxb.20220544
摘要:

针对多孔水泥环的井下失效问题,制备了液硅水泥环岩心试样,开展了力学性能测试试验,同时利用Flac 3D自编程序构建了多孔“单层水泥环”和“水泥环/套管/水泥环”模型,模拟深部地应力作用下水泥环的压裂过程,探明在水压和地应力耦合作用下水泥环的变形破坏机制。研究表明:单层水泥环在应力作用下表现为脆性破坏,外层套管和水泥环的保护能有效提高水泥环的峰值载荷。研究结果为揭示水泥环密封失效的破坏机理提供了理论基础。

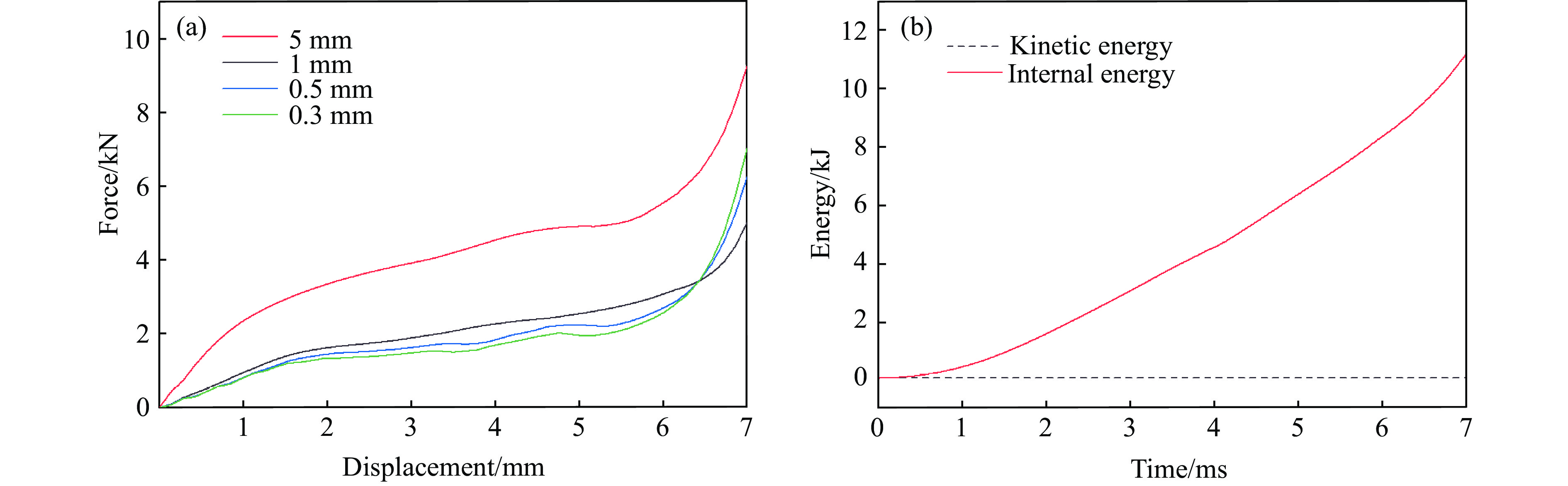
基于TPU材料层级结构的优化设计及吸能特性
李腾, 张晨帆, 邓庆田, 李新波, 温金鹏
2022, 36(6): 064104. doi: 10.11858/gywlxb.20220542
摘要:

选择柔性热塑性聚氨酯(TPU)为原料制备实验试样。基于面心立方层级结构,改变结构的直梁样式、间距,并将蜂窝结构层引入结构中,通过实验和有限元分析,研究层级结构在准静态加载下的变形模式和吸能特性。实验结果与有限元分析得到的载荷-位移曲线吻合较好。结果表明:与初始面心立方层级结构相比,增大直梁的振幅,调整直梁间距为2 mm,即增加塑性铰个数时,又或将蜂窝结构层引入层级结构,可以大幅提高层级结构的能量吸收性能;减小间距、增多塑性铰数目对改善层级结构吸能能力的效果最优;D-1构型与M-1构型相比,比吸能提高了46%;调整塑性铰位置时,层级结构会发生屈曲,不利于层级结构的能量吸收;与M-1构型相比,D-2和D-3构型的比吸能分别降低了27%和34%。

波纹芯层夹芯管的轴向压缩吸能特性与多目标优化
马梦娇, 刘志芳, 李世强
2022, 36(6): 064201. doi: 10.11858/gywlxb.20220554
摘要:

将正弦波纹薄壁管作为芯层引入多边形薄壁管,获得了四边形、五边形、六边形3种波纹芯层夹芯管。首先,采用实验与数值模拟相结合的方法研究了3种波纹芯层夹芯管在轴向准静态压缩载荷下的力学响应,包括能量吸收性能,分析了结构壁厚和芯层波幅对夹芯管压缩性能的影响,数值模拟与实验结果吻合较好。其次,基于超折叠单元理论,给出了准静态压缩载荷下波纹芯层夹芯管的平均轴向压缩力的解析解。其中,波纹芯层六边形夹芯管在准静态轴向压缩过程中表现出渐进折叠屈曲的变形模式,理论预测的平均压缩力与实验结果吻合较好,相对误差为6.1%,与数值模拟结果相比,相对误差均在9.8%以内。波纹芯层夹芯管的比吸能随着结构壁厚和芯层波幅的增大而增大;而当波幅和壁厚相同时,六边形夹芯管的吸能能力优于四边形夹芯管和五边形夹芯管。最后,以最大比吸能和最小初始峰值力为目标,对3种结构的芯层波幅和结构壁厚进行了多目标优化,给出了最大比吸能与最小峰值载荷之间的平衡策略,得到了相应的Pareto前沿。

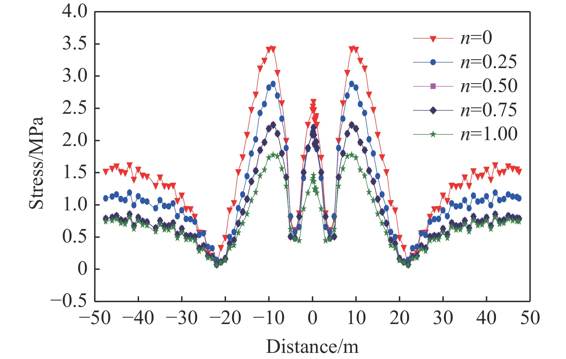
高地应力下岩体的爆破损伤及能量特性
梁瑞, 李生荣, 包娟, 周文海
2022, 36(6): 064202. doi: 10.11858/gywlxb.20220599
摘要:

在深层岩体地下工程中,岩体的爆破效果与地应力密切相关。基于岩体-空气流固耦合模型,采用理论分析与LS-DYNA有限元数值模拟相结合的方式,研究了不同地应力和侧压系数条件下岩体爆破损伤效果以及岩体非弹性边界处能量及质点峰值振动速度阈值的变化规律。结果表明:岩体的损伤范围和裂纹扩展在一定程度上受到地应力的抑制作用,地应力越大,损伤范围和裂纹长度越小;不同地应力下,非弹性区与弹性区边界处的能量差随侧压系数的增大而减小,当侧压系数一定时,能量随地应力的增大而增大;高地应力状态下,利用质点峰值振动速度阈值判据进行岩体爆破安全控制是不可靠的。

冲击加载下多晶铝的晶体塑性有限元模拟
叶常青, 陈然, 刘桂森, 刘静楠, 胡建波, 俞宇颖, 王栋, 陈开果, 沈耀
2022, 36(6): 064203. doi: 10.11858/gywlxb.20220605
摘要:

在多晶材料中,不同取向晶粒间的晶界往往对材料在冲击加载下的动力学响应有极大的影响。在单晶晶体塑性模型的基础上,通过考虑晶界与位错相互作用的微观机理,建立了一个包含晶界阻力、几何必需位错以及背应力的多晶晶体塑性模型,并模拟研究了基于Voronoi几何模型的多晶铝在冲击加载下的力学响应。结果表明:冲击波后的晶界单元存在极高的残余剪应力,而晶粒内部单元的剪应力趋近于零;晶界附近存在较大的塑性变形梯度,产生大量沿晶界分布的几何必需位错和背应力;由滑移不连续性引起的晶界阻力是造成冲击波后大量残余剪应力的主要因素,而几何必需位错和背应力对剪应力松弛程度的影响较小。

弹丸几何形状对石墨烯动态力学响应的影响
张涛, 蒋俊, 孙伟福
2022, 36(6): 064204. doi: 10.11858/gywlxb.20220552
摘要:

为探究弹丸几何形状对石墨烯动态力学响应的影响,考虑了不同形状以及同种形状下不同结构尺寸比例的两种弹丸设计方案,借助分子动力学模拟进行计算,通过表征弹丸的剩余速度、动能损耗以及石墨烯自身破坏的状况和应力波的传播状态研究石墨烯受到冲击时的响应。结果表明:不同形状弹丸冲击石墨烯的剩余速度和动能消耗随冲击速度的变化大致可分为3个区域,其中球形和半球形弹丸冲击情况类似,柱形弹丸的差异性较大;柱形弹丸对石墨烯的破坏要强于球形和半球形弹丸,分形理论模型能够较好地量化描述石墨烯破孔样貌;柱形弹丸自身平头部产生的“屏障效应”能够较好地解释其侵彻单层和双层石墨烯的弹道极限速度分别小于和接近球形和半球形冲击时的弹道极限速度;同种形状下,弹丸结构尺寸比例增大,弹丸侵彻能力增强,但尺寸比增大所带来的优势不具有持续增强性。

高压科学应用
活性元对低附带毁伤弹药的近场超压增强效应
杨秉妍, 范瑞军, 江自生, 皮爱国, 王金英
2022, 36(6): 065101. doi: 10.11858/gywlxb.20220568
摘要:

为了实现低附带毁伤弹药的近场爆炸威力增强效应,提出在分装式低附带毁伤弹药的重金属颗粒嵌层中加入活性元成分,以期增强近场超压与比冲量。开展了不同含量活性元的静爆实验,利用自由场压力测试系统测得爆炸后近场及中远场的冲击波压力曲线。结果表明:在重金属颗粒嵌层中加入一定含量的活性元后,冲击波超压峰值和比冲量在37.5倍装药直径处分别提高31.6%和21.3%。根据实验结果,利用数值模拟确定了Miller反应速率模型参数,讨论了活性元后燃反应能量释放规律以及活性元组分反应度随时间的变化关系,在充分燃烧的理想情况下,活性元二次燃烧持续时间可达300 ms,且活性元含量区间极有可能存在最优配比。研究结果可为分装式低附带毁伤武器的近场冲击波区域增强效应及其工程化设计提供参考。

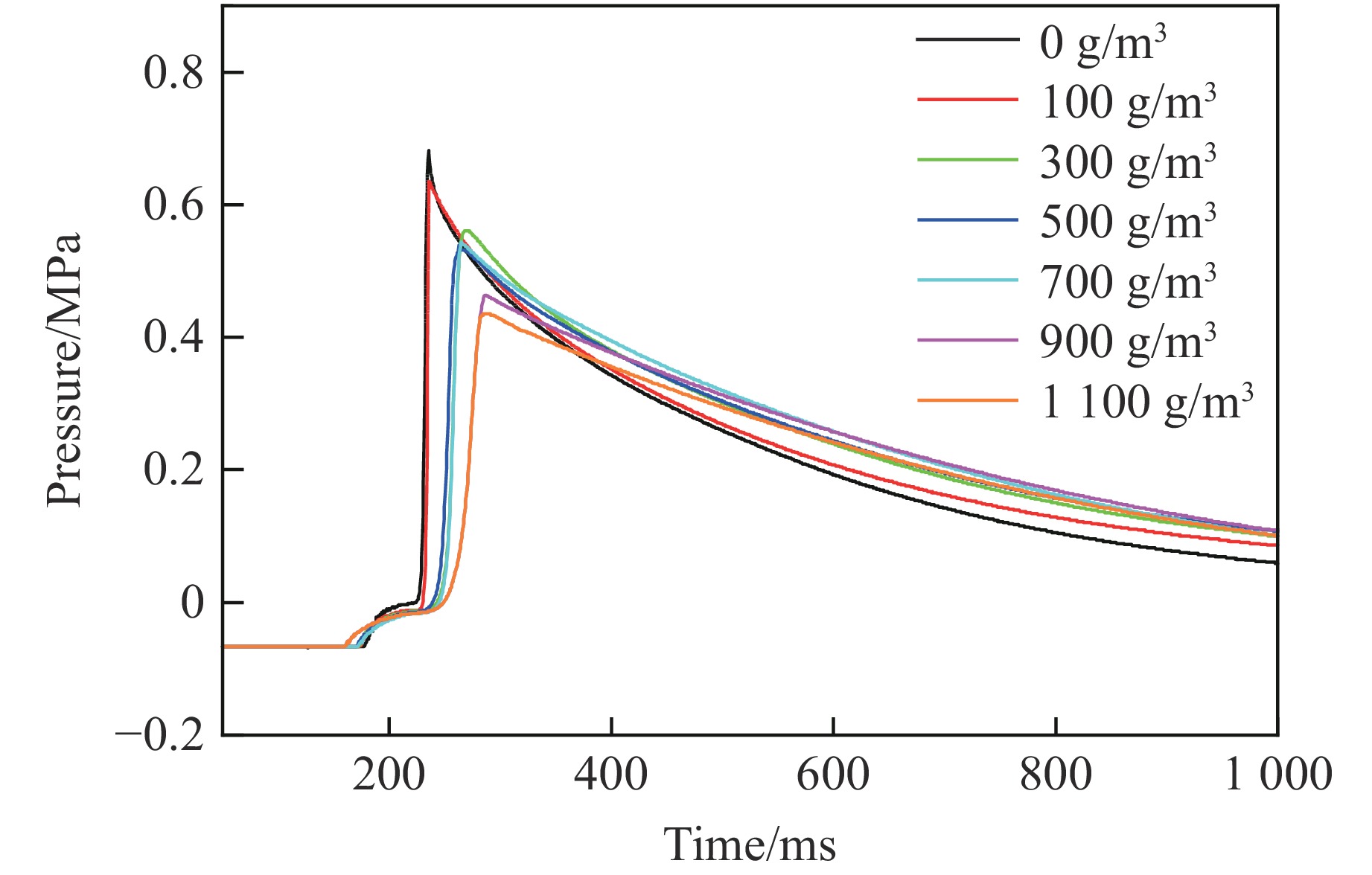
典型固体抑爆剂对乙炔-空气的抑爆特性
夏煜, 程扬帆, 胡芳芳, 王瑞, 朱守军, 沈兆武
2022, 36(6): 065201. doi: 10.11858/gywlxb.20220580
摘要:

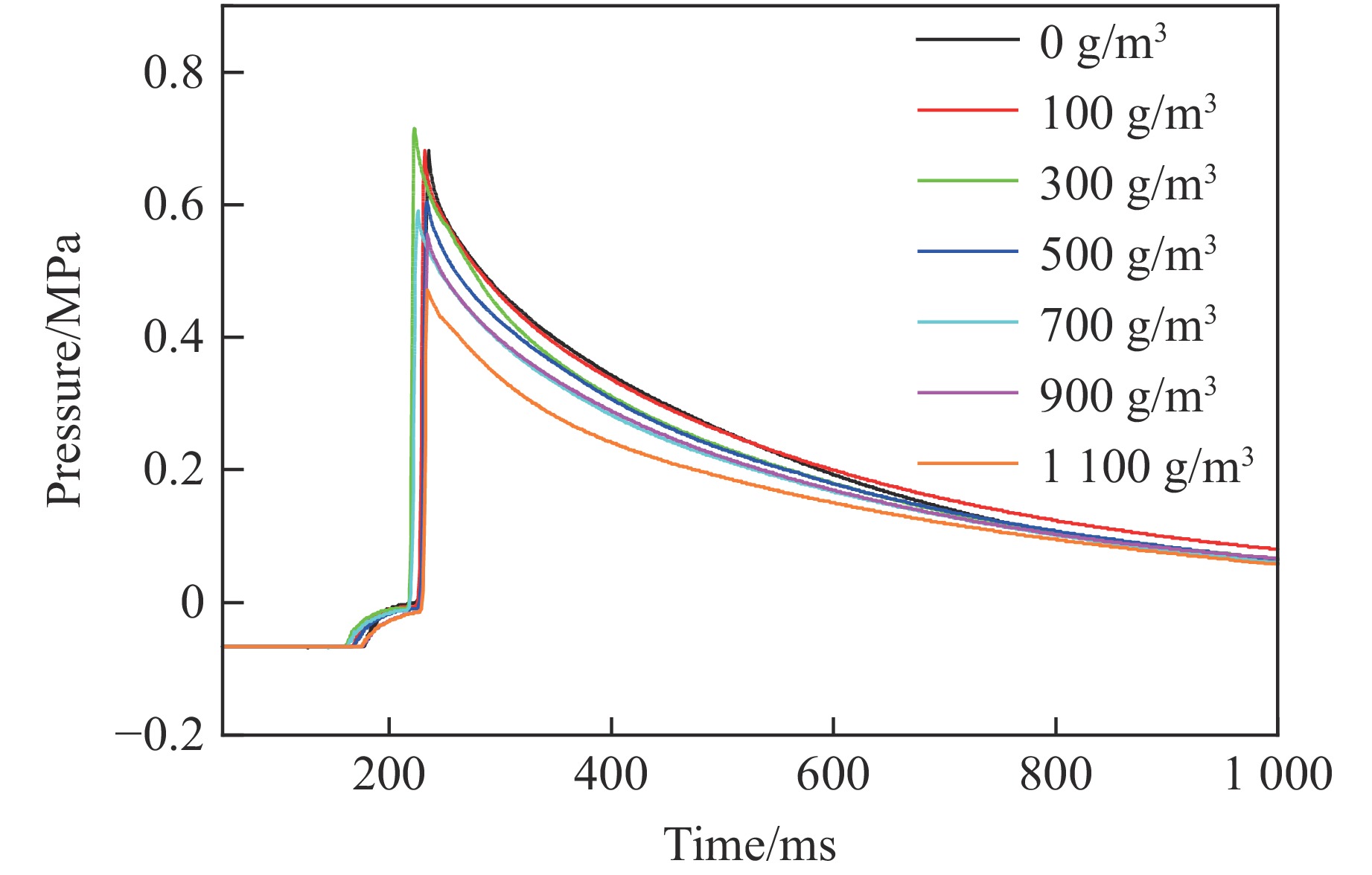
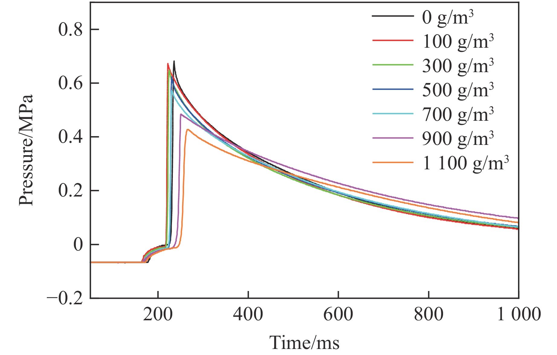
为了揭示固体抑爆剂对乙炔-空气预混气体爆炸的抑爆效果,采用20 L球形爆炸测试系统,研究了典型固体抑爆剂SiO2、Al(OH)3和NaHCO3对乙炔-空气预混气体爆炸特性的影响。结果表明:低粉体浓度(300 g/m3以下)的SiO2对乙炔-空气的爆炸威力具有促进作用,而高粉体浓度的SiO2则具有显著的抑制作用;SiO2、Al(OH)3和NaHCO3 3种固体抑爆剂对乙炔-空气的抑爆效果依次增强;SiO2和Al(OH)3分别通过颗粒自身和分解吸热(生成Al2O3和H2O)来降低乙炔-空气的爆炸威力,而NaHCO3分解会产生Na2CO3、H2O和CO2,兼具气、固、液三相的抑爆特点,因而对乙炔-空气预混气体的抑爆效果最好。

球形非金属材料对甲烷掺氢爆炸抑制机理研究
唐毅, 员亚龙, 李开源, 陈先锋, 袁必和, 贺云龙, 黄楚原
2022, 36(6): 065202. doi: 10.11858/gywlxb.20220609
摘要:

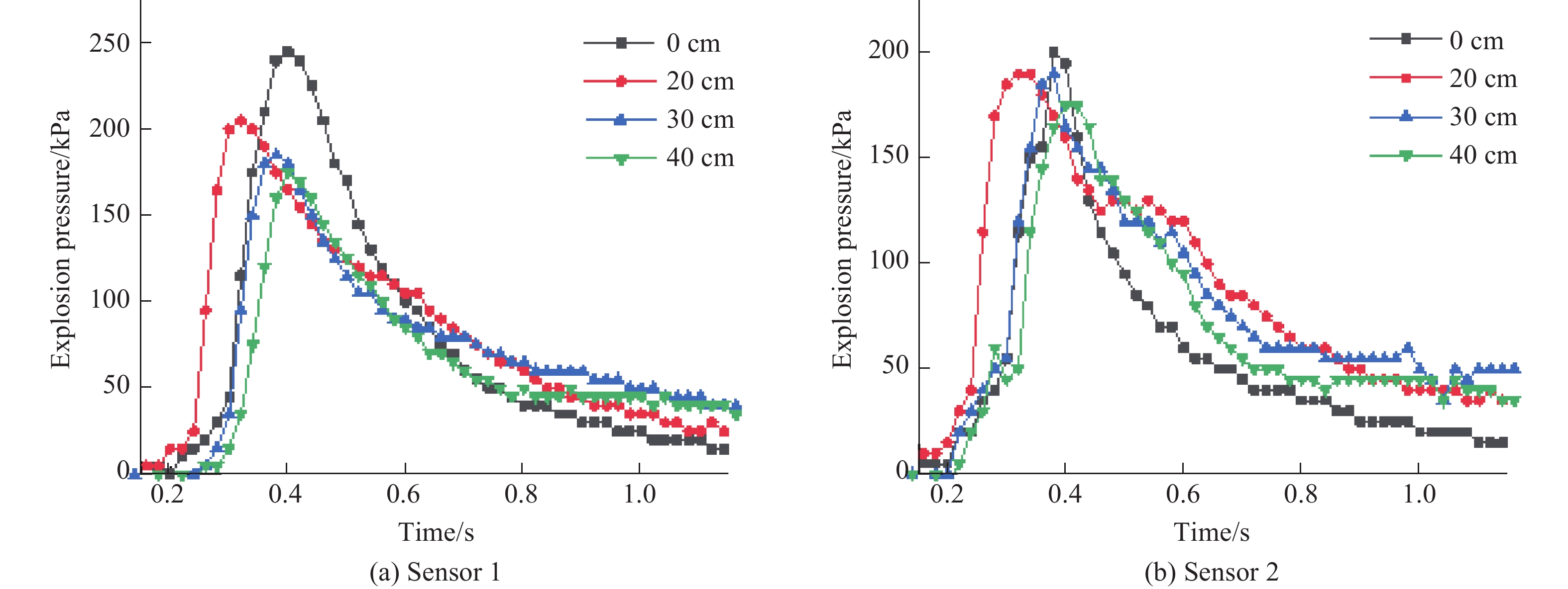
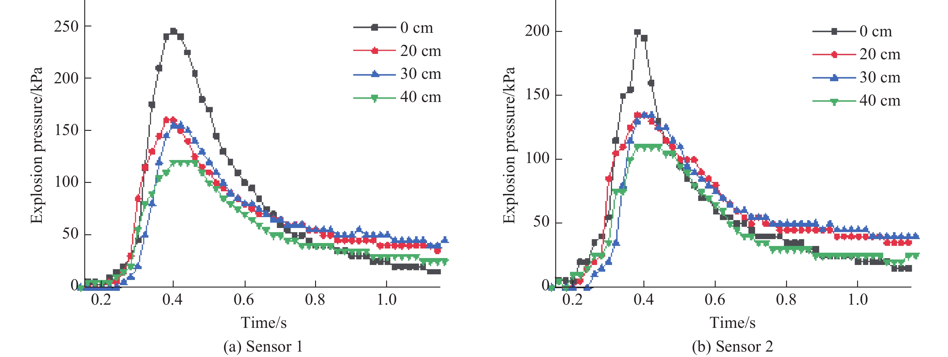
目前甲烷掺氢技术广泛应用于管道运输,为了保障甲烷掺氢气体的运输安全,基于自主搭建的气体爆炸平台,采用实验与理论相结合的方法,研究了掺氢比对甲烷-空气爆炸压力的影响,并探究了单一球形和组合球形多孔非金属材料对甲烷掺氢的抑爆效果,为球形多孔非金属材料在混合燃料阻隔防爆领域的应用提供理论支撑与实验依据。实验结果表明:甲烷掺氢后爆炸强度显著增强,最大爆炸压力以及压力上升速率均随氢气体积分数的增大而增大;与单一球形多孔非金属材料相比,组合球形多孔非金属材料对甲烷掺氢的抑爆效果更突出,并且抑爆效果受填充长度影响,当填充长度为40 cm时,最大爆炸压力降低51.02%,最大爆炸压力上升速率降低53.85%,相较于单一球形多孔非金属材料,抑爆性能提升了78.58%。

复合地层下穿高铁矩形顶管盾构隧道的施工稳定性
宁茂权, 晋学辉, 刘朝钦, 麻建飞, 崔光耀
2022, 36(6): 065301. doi: 10.11858/gywlxb.20220592
摘要:

为保证矩形顶管盾构隧道下穿高铁近接施工的稳定性,以某火车站东侧地下通道工程为例,采用ABAQUS有限元分析软件建立了复合地层下穿高铁矩形顶管盾构隧道近接施工的精细化计算模型,分析了硬岩比、埋深因子和管节因子对复合地层顶管盾构隧道近接下穿施工时地表位移、轨道变形、管节收敛和安全系数的影响。结果表明:随着复合地层硬岩比的增加、埋深因子的减小和管节因子的增加,矩形顶管盾构隧道施工时的地层位移极值、地表沉降、上覆高铁轨道变形和管节收敛逐渐减小,管节安全系数逐渐增加,复合地层矩形顶管盾构隧道的施工稳定性提升。研究结果可为类似工程施工提供参考。