Construction Stability of Rectangular Pipe Jacking Shield Tunnel Crossing High-Speed Railway in Composite Stratum
-
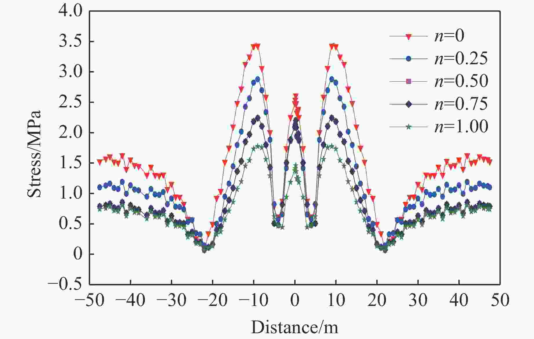
摘要: 为保证矩形顶管盾构隧道下穿高铁近接施工的稳定性,以某火车站东侧地下通道工程为例,采用ABAQUS有限元分析软件建立了复合地层下穿高铁矩形顶管盾构隧道近接施工的精细化计算模型,分析了硬岩比、埋深因子和管节因子对复合地层顶管盾构隧道近接下穿施工时地表位移、轨道变形、管节收敛和安全系数的影响。结果表明:随着复合地层硬岩比的增加、埋深因子的减小和管节因子的增加,矩形顶管盾构隧道施工时的地层位移极值、地表沉降、上覆高铁轨道变形和管节收敛逐渐减小,管节安全系数逐渐增加,复合地层矩形顶管盾构隧道的施工稳定性提升。研究结果可为类似工程施工提供参考。Abstract: To ensure the construction stability of rectangular pipe jacking shield tunnel, taking the underground passage project on the east side of a railway station as the case study, the refined model of rectangular pipe jacking shield tunnel under high-speed railway in composite stratum was established using the finite element software ABAQUS. The effects of hard rock ratio, buried depth and pipe joint factors on surface displacement, track deformation, pipe joint convergence and safety factor were analyzed. The results show that with the increase of hard rock ratio in composite stratum, the decrease of buried depth factor and the increase of pipe joint factor, the extreme value of stratum displacement, surface settlement, the overlying high-speed rail track deformation and pipe joint convergence gradually decrease, the safety factor of pipe joint gradually increases, and the construction stability of rectangular pipe jacking shield in composite stratum becomes better and better. The research conclusion can provide reference for similar projects.
-
表 1 计算工况
Table 1. Calculation cases
Influence factor Value of influence factor Impact factor Value of impact factor Burial depth C0=4.2 m ζC= C/C0 1.00,1.50,2.00 Hard rock ratio h0=7.65 m n= h/h0 0,0.25,0.50,0.75,1.00 Length of pipe joint d0=1.8 m ζd= d/d0 1.00,2.00,3.00 表 2 计算参数
Table 2. Calculation parameters
Structure Density/(kg·m−3) Elastic modulus/MPa Poisson’s ratio Internal friction angle/(°) Cohesion/MPa Soft rock 1860 210 0.37 18 0.0005 Hard rock 2500 6000 0.25 45 1 Track 7800 2.06×105 0.23 Ballast 2500 130 0.35 Segment 2500 3.45×104 0.25 Sleeper 2450 3.15×104 0.20 Foundation 2300 2.80×104 0.33 -
[1] 田四明, 王伟, 杨昌宇, 等. 中国铁路隧道40年发展与展望 [J]. 隧道建设, 2021, 41(11): 1903–1930. doi: 10.3973/j.issn.2096-4498.2021.11.007TIAN S M, WANG W, YANG C Y, et al. Development and prospect of railway tunnels in China in recent 40 years [J]. Tunnel Construction, 2021, 41(11): 1903–1930. doi: 10.3973/j.issn.2096-4498.2021.11.007 [2] 魏纲, 赵得乾麟, 黄睿. 盾构施工对邻近隧道影响的模型试验研究综述 [J]. 现代隧道技术, 2021, 58(5): 1–8. doi: 10.13807/j.cnki.mtt.2021.05.001WEI G, ZHAO D Q L, HUANG R. A review of model test studies on the impact of shield construction on adjacent tunnels [J]. Modern Tunnelling Technology, 2021, 58(5): 1–8. doi: 10.13807/j.cnki.mtt.2021.05.001 [3] SENENT S, JIMENEZ R. A tunnel face failure mechanism for layered ground, considering the possibility of partial collapse [J]. Tunnelling and Underground Space Technology, 2015, 47: 182–192. doi: 10.1016/j.tust.2014.12.014 [4] ZHANG C P, HAN K H, ZHANG D L. Face stability analysis of shallow circular tunnels in cohesive-frictional soils [J]. Tunnelling and Underground Space Technology, 2015, 50: 345–357. doi: 10.1016/j.tust.2015.08.007 [5] 陈家康, 刘陕南, 肖晓春, 等. 复合地层中超大直径泥水盾构施工开挖面泥水压力确定方法研究 [J]. 隧道建设, 2018, 38(4): 619–626. doi: 10.3973/j.issn.2096-4498.2018.04.013CHEN J K, LIU S N, XIAO X C, et al. Study of determination method for slurry pressure on excavation face of super-large slurry shield tunnel in composite ground [J]. Tunnel Construction, 2018, 38(4): 619–626. doi: 10.3973/j.issn.2096-4498.2018.04.013 [6] 柳献, 叶宇航, 刘震, 等. 连接螺栓对类矩形盾构隧道结构极限承载力影响的试验研究与分析 [J]. 土木工程学报, 2018, 51(8): 81–88. doi: 10.15951/j.tmgcxb.2018.08.009LIU X, YE Y H, LIU Z, et al. Experimental investigation and analysis on effect of connecting bolts on ultimate bearing capacity of quasi-rectangular shield tunnel [J]. China Civil Engineering Journal, 2018, 51(8): 81–88. doi: 10.15951/j.tmgcxb.2018.08.009 [7] ZHANG W X, DE CORTE W, LIU X, et al. Optimization study on longitudinal joints in quasi-rectangular shield tunnels [J]. Applied Sciences, 2021, 11(2): 573. doi: 10.3390/app11020573 [8] PHAM V V, DO N A, DIAS D. Sub-rectangular tunnel behavior under seismic loading [J]. Applied Sciences, 2021, 11(21): 9909. doi: 10.3390/app11219909 [9] 李培楠, 石来, 刘俊, 等. 软土地区类矩形盾构隧道同步注浆填充扩散压力空间分布模式 [J]. 中国铁道科学, 2021, 42(2): 77–87. doi: 10.3969/j.issn.1001-4632.2021.02.09LI P N, SHI L, LIU J, et al. Spatial distribution mode of diffusion pressure of synchronous grouting filling for quasi-rectangular shield tunnel in soft soil area [J]. China Railway Science, 2021, 42(2): 77–87. doi: 10.3969/j.issn.1001-4632.2021.02.09 [10] DUAN C, DING W Q, ZHAO T C, et al. Brief introduction of synchronous grouting model test based on quasi-rectangular shield tunnel [C]//Transportation Research Congress, 2018: 640−647. [11] 司金标, 朱瑶宏, 季昌, 等. 软土层中类矩形盾构掘进施工引起地层竖向变形实测与分析 [J]. 岩石力学与工程学报, 2017, 36(6): 1551–1559. doi: 10.13722/j.cnki.jrme.2016.0963SI J B, ZHU Y H, JI C, et al. Measurement and analysis of vertical deformation of stratum induced by quasi-rectangular shield tunneling in soft ground [J]. Chinese Journal of Rock Mechanics and Engineering, 2017, 36(6): 1551–1559. doi: 10.13722/j.cnki.jrme.2016.0963 [12] 张雪辉, 陈吉祥, 白云, 等. 类矩形土压平衡盾构施工引起的地表变形 [J]. 浙江大学学报(工学版), 2018, 52(2): 317–324. doi: 10.3785/j.issn.1008-973X.2018.02.014ZHANG X H, CHEN J X, BAI Y, et al. Ground surface deformation induced by quasi-rectangle EPB shield tunneling [J]. Journal of Zhejiang University (Engineering Science), 2018, 52(2): 317–324. doi: 10.3785/j.issn.1008-973X.2018.02.014 [13] 贾远航. 矩形顶管隧道施工对地层及邻近地下管线的影响研究 [D]. 石家庄: 石家庄铁道大学, 2020.JIA Y H. Study on the influence of rectangular pipe jacking tunnel construction on stratum and adjacent underground pipeline [D]. Shijiazhuang: Shijiazhuang Tiedao University, 2020. [14] ZHANG Z G, ZHANG M X, ZHAO Q H, et al. Interaction analyses between existing pipeline and quasi-rectangular tunneling in clays [J]. KSCE Journal of Civil Engineering, 2021, 25(1): 326–344. doi: 10.1007/s12205-020-2366-2 [15] 中华人民共和国交通运输部. 公路隧道设计规范 第一册 土建工程: JTG 3370.1—2018 [S]. 北京: 人民交通出版社, 2019.Ministry of Transport of the People’s Republic of China. Specifications for design of highway tunnels section 1 civil engineering: JTG 3370.1—2018 [S]. Beijing: China Communications Press, 2019. -

下载: