球形非金属材料对甲烷掺氢爆炸抑制机理研究

唐毅 员亚龙 李开源 陈先锋 袁必和 贺云龙 黄楚原

唐毅, 员亚龙, 李开源, 陈先锋, 袁必和, 贺云龙, 黄楚原. 球形非金属材料对甲烷掺氢爆炸抑制机理研究[J]. 高压物理学报, 2022, 36(6): 065202. doi: 10.11858/gywlxb.20220609
引用本文: 唐毅, 员亚龙, 李开源, 陈先锋, 袁必和, 贺云龙, 黄楚原. 球形非金属材料对甲烷掺氢爆炸抑制机理研究[J]. 高压物理学报, 2022, 36(6): 065202. doi: 10.11858/gywlxb.20220609
TANG Yi, YUAN Yalong, LI Kaiyuan, CHEN Xianfeng, YUAN Bihe, HE Yunlong, HUANG Chuyuan. Explosion Suppression Performance of Spherical Non-Metallic Materials for Methane Hydrogen-Doped Syngas Explosion[J]. Chinese Journal of High Pressure Physics, 2022, 36(6): 065202. doi: 10.11858/gywlxb.20220609
Citation: TANG Yi, YUAN Yalong, LI Kaiyuan, CHEN Xianfeng, YUAN Bihe, HE Yunlong, HUANG Chuyuan. Explosion Suppression Performance of Spherical Non-Metallic Materials for Methane Hydrogen-Doped Syngas Explosion[J]. Chinese Journal of High Pressure Physics, 2022, 36(6): 065202. doi: 10.11858/gywlxb.20220609

球形非金属材料对甲烷掺氢爆炸抑制机理研究

doi: 10.11858/gywlxb.20220609
基金项目: 国家重点研发计划(2021YFB4000904);湖北省重点研发计划(2021BCA218);中央高校基本科研业务费(2022IVA086)
详细信息
    作者简介:

    唐 毅(1999- ),男,硕士研究生,主要从事工业防火防爆研究. E-mail:277100@whut.edu.cn

    通讯作者:

    黄楚原(1991- ),男,博士,副研究员,主要从事工业热安全及应急技术研究. E-mail:hcy@whut.edu.cn

  • 中图分类号: O382.1; X932

Explosion Suppression Performance of Spherical Non-Metallic Materials for Methane Hydrogen-Doped Syngas Explosion

  • 摘要: 目前甲烷掺氢技术广泛应用于管道运输,为了保障甲烷掺氢气体的运输安全,基于自主搭建的气体爆炸平台,采用实验与理论相结合的方法,研究了掺氢比对甲烷-空气爆炸压力的影响,并探究了单一球形和组合球形多孔非金属材料对甲烷掺氢的抑爆效果,为球形多孔非金属材料在混合燃料阻隔防爆领域的应用提供理论支撑与实验依据。实验结果表明:甲烷掺氢后爆炸强度显著增强,最大爆炸压力以及压力上升速率均随氢气体积分数的增大而增大;与单一球形多孔非金属材料相比,组合球形多孔非金属材料对甲烷掺氢的抑爆效果更突出,并且抑爆效果受填充长度影响,当填充长度为40 cm时,最大爆炸压力降低51.02%,最大爆炸压力上升速率降低53.85%,相较于单一球形多孔非金属材料,抑爆性能提升了78.58%。

     

  • 图  实验装置示意图

    Figure  1.  Schematic diagram of the experiment setup

    图  多孔非金属抑爆材料

    Figure  2.  Porous non-metallic explosion suppression material

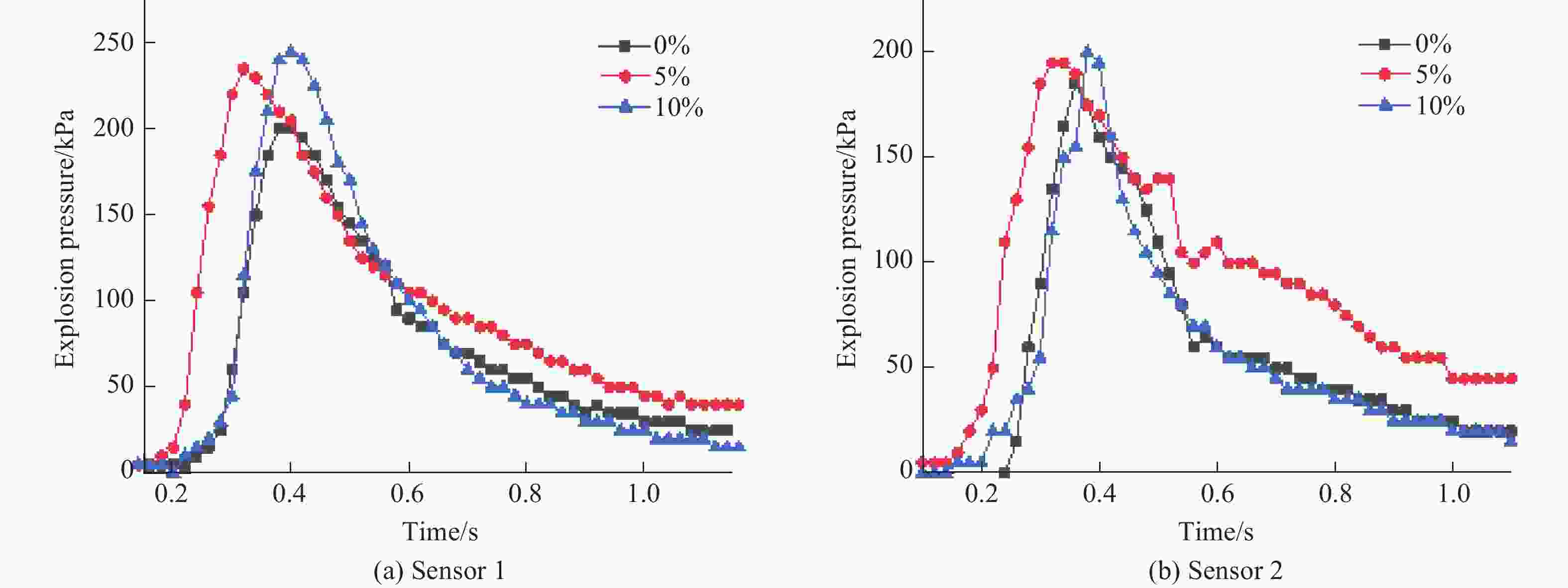
    图  掺氢比对预混气体爆炸压力的影响

    Figure  3.  Effect of hydrogen doping ratio on explosion pressure of premixed gas

    图  不同掺氢比条件下甲烷掺氢爆炸火焰传播图像

    Figure  4.  Flame propagation images of methane hydrogen-doped syngas under different hydrogen doping ratios

    图  不同掺氢比条件下最大爆炸压力和最大爆炸压力上升速率曲线

    Figure  5.  Maximum explosion pressure and maximum pressure rise rate for different hydrogen doping ratios

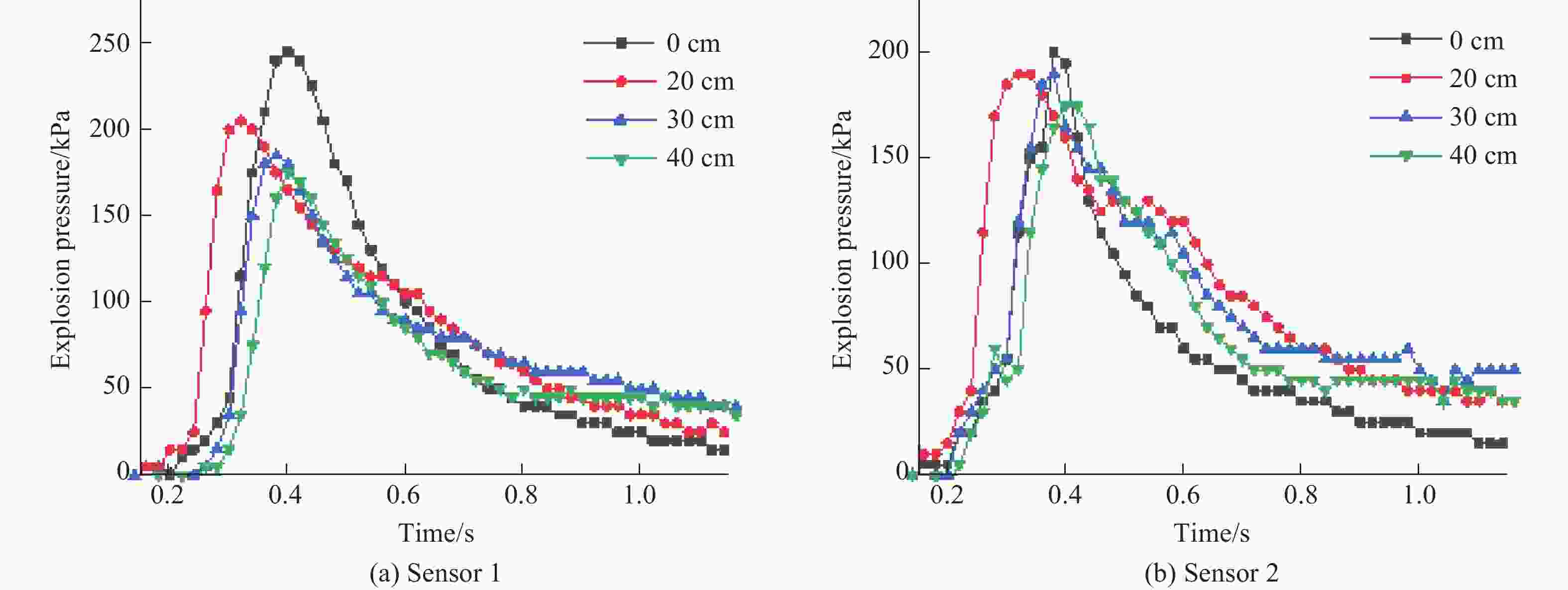
    图  不同填充长度条件下单一球形材料对预混气体爆炸压力的影响

    Figure  6.  Effect of single spherical material with different filling lengths on explosion pressure of premixed gas

    图  不同填充长度条件下最大爆炸压力和最大爆炸压力上升速率曲线

    Figure  7.  Maximum explosion pressure and maximum pressure rise rate for different filling lengths

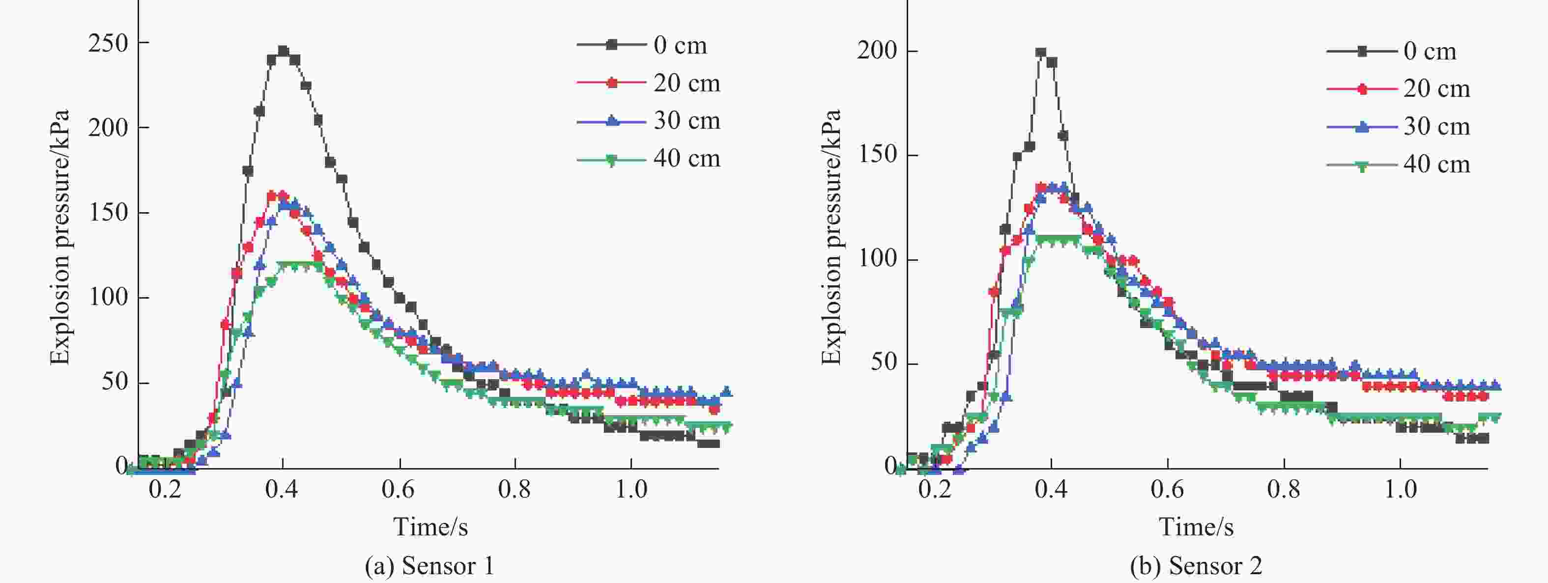
    图  不同填充长度的组合球形材料对预混气体爆炸压力的影响

    Figure  8.  Effect of combined spherical material with different filling lengths on explosion pressure of premixed gas

    图  不同填充长度条件下最大爆炸压力和最大爆炸压力上升速率曲线

    Figure  9.  Maximum explosion pressure and maximum pressure rise rate for different filling lengths

  • [1] 周承商, 黄通文, 刘煌, 等. 混氢天然气输氢技术研究进展 [J]. 中南大学学报(自然科学版), 2021, 52(1): 31–43. doi: 10.11817/j.issn.1672-7207.2021.01.004

    ZHOU C S, HUANG T W, LIU H, et al. Research progress of hydrogen transport technology for blended hydrogen natural gas [J]. Journal of Central South University (Science and Technology), 2021, 52(1): 31–43. doi: 10.11817/j.issn.1672-7207.2021.01.004
    [2] 倪靖, 潘剑锋, 姜超, 等. 掺氢比对甲烷-氧气爆轰特性的影响 [J]. 爆炸与冲击, 2020, 40(4): 25–33. doi: 10.11883/bzycj-2019-0237

    NI J, PAN J F, JIANG C, et al. Effects of hydrogen-blending ratio on detonation characteristics of premixed methane-oxygen gas [J]. Explosion and Shock Waves, 2020, 40(4): 25–33. doi: 10.11883/bzycj-2019-0237
    [3] 余明高, 阳旭峰, 郑凯, 等. 障碍物对甲烷/氢气爆炸特性的影响 [J]. 爆炸与冲击, 2018, 38(1): 19–27. doi: 10.11883/bzycj-2017-0172

    YU M G, YANG X F, ZHENG K, et al. Effect of obstacles on explosion characteristics of methane/hydrogen [J]. Explosion and Shock Waves, 2018, 38(1): 19–27. doi: 10.11883/bzycj-2017-0172
    [4] YU M G, ZHENG K, ZHENG L G, et al. Effects of hydrogen addition on propagation characteristics of premixed methane/air flames [J]. Journal of Loss Prevention in the Process Industries, 2015, 34: 1–9. doi: 10.1016/j.jlp.2015.01.017
    [5] LI M H, XU J C, WANG C J, et al. Thermal and kinetics mechanism of explosion mitigation of methane-air mixture by N2/CO2 in a closed compartment [J]. Fuel, 2019, 255: 115747. doi: 10.1016/j.fuel.2019.115747
    [6] LUO Z M, SU Y, CHEN X K, et al. Effect of BC powder on hydrogen/methane/air premixed gas deflagration [J]. Fuel, 2019, 257: 116095. doi: 10.1016/j.fuel.2019.116095
    [7] 陈鹏, 杨永波, 郭实龙, 等. 金属丝网对甲烷/空气预混火焰传播影响的研究 [J]. 中国安全科学学报, 2014, 24(7): 33–36.

    CHEN P, YANG Y B, GUO S L, et al. Effect of metal mesh on methane/air premixed flame propagation [J]. China Safety Science Journal, 2014, 24(7): 33–36.
    [8] 徐海顺, 高林杰, 苏登. 铝镁合金泡沫抑制甲烷-空气混合物爆炸火焰传播 [J]. 中国安全科学学报, 2019, 29(1): 81–86.

    XU H S, GAO L J, SU D. Suppression of methane-air mixtures explosion flame propagation using aluminum-magnesium alloy-based foam composite [J]. China Safety Science Journal, 2019, 29(1): 81–86.
    [9] 袁必和, 张玉铎, 员亚龙, 等. 多孔聚丙烯复合材料的抑爆性能研究 [J]. 中国安全科学学报, 2021, 31(8): 91–96.

    YUAN B H, ZHANG Y D, YUN Y L, et al. Study on explosion suppression performance of porous polypropylene [J]. China Safety Science Journal, 2021, 31(8): 91–96.
    [10] AN G J, LU C B, ZHU X D, et al. Study on explosion suppression performance of spherical nonmetallic materials [C]//Proceedings of the 9th International Symposium on Safety Science and Technology (ISSST). Beijing, 2014.
    [11] 邵继伟, 庄春吉, 王志荣, 等. 组合型多孔材料对容器管道系统内甲烷/空气的抑爆效果 [J]. 爆炸与冲击, 2018, 38(4): 905–912.

    SHAO J W, ZHUANG C J, WANG Z R, et al. Explosion suppression effect of CH4/air by combined porous materials in a container piping system [J]. Explosion and Shock Waves, 2018, 38(4): 905–912.
    [12] 孙绪绪, 郭进, 陆守香. 柴油舱组集中透气管燃爆危险性及阻隔防爆技术 [J]. 爆炸与冲击, 2021, 41(5): 138–144. doi: 10.11883/bzycj-2020-0131

    SUN X X, GUO J, LU S X. Explosion hazard in the concentrated ventilation tube for a group of diesel tanks and its suppression technologies [J]. Explosion and Shock Waves, 2021, 41(5): 138–144. doi: 10.11883/bzycj-2020-0131
    [13] 鲁长波, 朱祥东, 王浩喆, 等. 非金属阻隔防爆材料防爆性能综合评价研究 [J]. 中国安全生产科学技术, 2014, 10(12): 125–130.

    LU C B, ZHU X D, WANG H Z, et al. Comprehensive evaluation on the explosion-proof performance of non-metallic barrier and explosion-proof material [J]. Journal of Safety Science and Technology, 2014, 10(12): 125–130.
    [14] BIVOL G, GOLOVASTOV S. Effects of polyurethane foam on the detonation propagation in stoichiometric hydrogen-air mixture [J]. Process Safety and Environmental Protection, 2019, 130: 14–21. doi: 10.1016/j.psep.2019.06.032
    [15] OKAFOR E C, HAYAKAWA A, NAGANO Y, et al. Effects of hydrogen concentration on premixed laminar flames of hydrogen-methane-air [J]. International Journal of Hydrogen Energy, 2014, 39(5): 2409–2417. doi: 10.1016/j.ijhydene.2013.11.128
    [16] 马秋菊, 邵俊程, 王众山, 等. 氢气比例和点火能量对CH4-H2混合气体爆炸强度影响的实验研究 [J]. 高压物理学报, 2020, 34(1): 131–136. doi: 10.11858/gywlxb.20190803

    MA Q J, SHAO J C, WANG Z S, et al. Experimental study of the hydrogen proportion and ignition energy effects on the CH4-H2 mixture explosion intensity [J]. Chinese Journal of High Pressure Physics, 2020, 34(1): 131–136. doi: 10.11858/gywlxb.20190803
  • 加载中
图(9)
计量
  • 文章访问数:  638
  • HTML全文浏览量:  362
  • PDF下载量:  56
出版历程
  • 收稿日期:  2022-06-13
  • 修回日期:  2022-07-08
  • 网络出版日期:  2022-11-21
  • 刊出日期:  2022-12-05

目录

    /

    返回文章
    返回