Inhibition Characteristics of Typical Solid Explosion Suppressors on Acetylene-Air Explosion
-
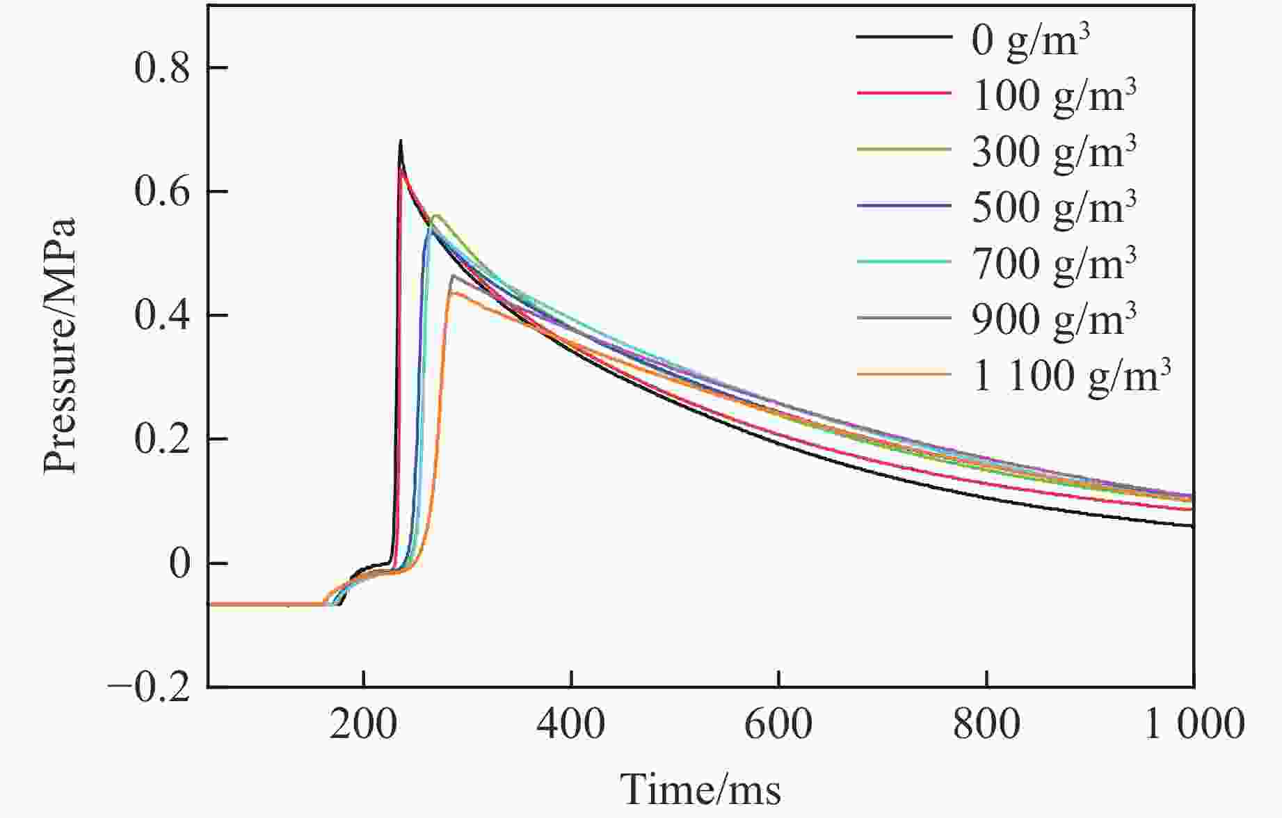
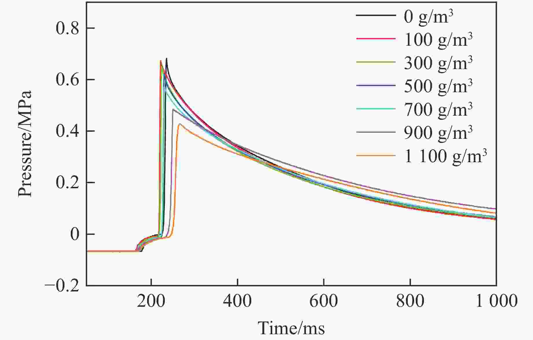
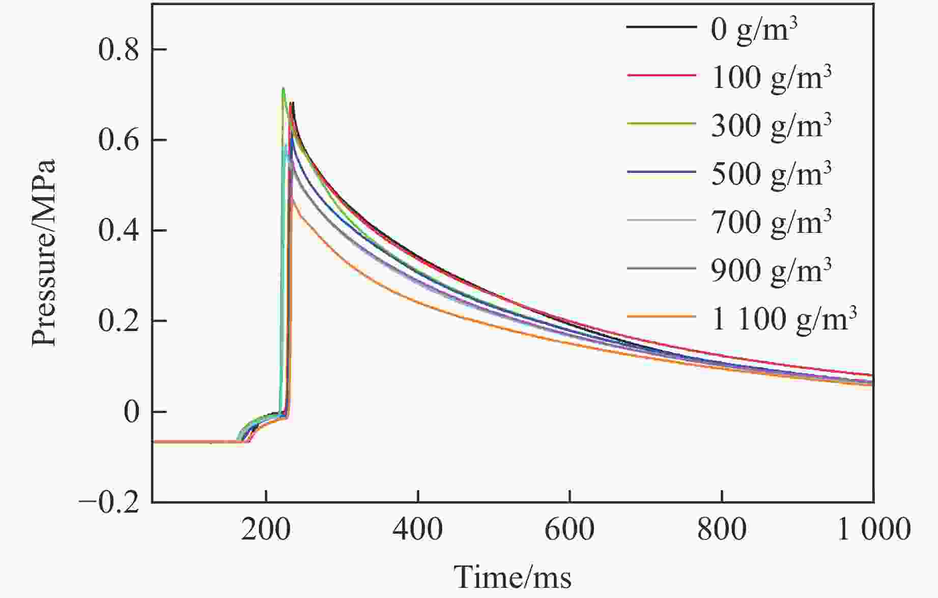
摘要: 为了揭示固体抑爆剂对乙炔-空气预混气体爆炸的抑爆效果,采用20 L球形爆炸测试系统,研究了典型固体抑爆剂SiO2、Al(OH)3和NaHCO3对乙炔-空气预混气体爆炸特性的影响。结果表明:低粉体浓度(300 g/m3以下)的SiO2对乙炔-空气的爆炸威力具有促进作用,而高粉体浓度的SiO2则具有显著的抑制作用;SiO2、Al(OH)3和NaHCO3 3种固体抑爆剂对乙炔-空气的抑爆效果依次增强;SiO2和Al(OH)3分别通过颗粒自身和分解吸热(生成Al2O3和H2O)来降低乙炔-空气的爆炸威力,而NaHCO3分解会产生Na2CO3、H2O和CO2,兼具气、固、液三相的抑爆特点,因而对乙炔-空气预混气体的抑爆效果最好。Abstract: In order to reveal the inhibition effect of solid explosion suppressors on acetylene-air premixed gas explosion, a 20 L spherical explosion test system was used to study the impact of typical solid explosion suppressors of SiO2, Al(OH)3 and NaHCO3 on the explosion characteristics of premixed acetylene-air gas. The results showed that the low-concentration SiO2 (less than 300 g/m3) can promote the explosion intensity of acetylene-air, while the high-concentration SiO2 has a significant explosion inhibition effect. The explosion inhibition effect of SiO2, Al(OH)3 and NaHCO3 on acetylene-air explosion increases in turn. The explosion inhibition effects of SiO2 and Al(OH)3 are dependent on the heat absorption and decomposition of particles (generating Al2O3 and H2O). By contrast, the explosion inhibition effect of NaHCO3 is dependent on the gas-solid-liquid three-phase suppression characteristics as the decomposition of NaHCO3 produced Na2CO3, H2O and CO2. Therefore, the NaHCO3 possessed the optimal effect of explosion inhibition.
-
Key words:
- explosion suppressor /
- acetylene /
- gas explosion /
- explosion pressure /
- pressure rise rate
-
表 1 影响爆炸压力的主要反应
Table 1. Main reactions affecting explosion pressure
No. Reaction No. Reaction R1 H+O2↔O+OH R158 C2H2+O↔HCCO+H R39 HCO+M↔CO+H+M R161 C2H2+OH↔C2H+H2O R41 HCO+O2↔CO+HO2 R166 C2H2+C2H↔C4H2+H R141 C2H+O2↔HCO+CO R194 C2H3+O2↔CH2CHO+O R155 C2H3(+M) ↔C2H2+H(+M) R195 C2H3+O2↔HCO+CH2O -
[1] 苏武, 石孝刚, 吴迎亚, 等. 乙炔加氢制乙烯浆态床反应器的CFD模拟 [J]. 化工学报, 2019, 70(5): 1858–1867. doi: 10.11949/j.issn.0438-1157.20181245SU W, SHI X G, WU Y Y, et al. CFD simulation on hydrogenation of acetylene to ethylene in slurry bed [J]. CIESC Journal, 2019, 70(5): 1858–1867. doi: 10.11949/j.issn.0438-1157.20181245 [2] 魏雪梅, 马占伟, 慕新元, 等. 乙炔羰基化反应催化剂: 由均相到多相 [J]. 化学进展, 2021, 33(2): 243–253. doi: 10.7536/PC200504WEI X M, MA Z W, MU X Y, et al. Catalyst in acetylene carbonylation: from homogeneous to heterogeneous [J]. Progress in Chemistry, 2021, 33(2): 243–253. doi: 10.7536/PC200504 [3] 郭璐, 徐徽, 朱云峰, 等. 杂质对乙炔气体分解爆炸的影响研究 [J]. 现代化工, 2019, 39(Suppl 1): 153–157. doi: 10.16606/j.cnki.issn0253-4320.2019.S.034GUO L, XU H, ZHU Y F, et al. Study on influence of impurities on decomposition and explosion of acetylene gas [J]. Modern Chemical Industry, 2019, 39(Suppl 1): 153–157. doi: 10.16606/j.cnki.issn0253-4320.2019.S.034 [4] 牟秀娟, 朱干宇, 颜坤, 等. 干法电石渣性质分析及乙炔气逸出行为研究 [J]. 化工学报, 2021, 72(2): 1107–1115. doi: 10.11949/0438-1157.20201263MU X J, ZHU G Y, YAN K, et al. Properties analysis of dry-process calcium carbide slag and study on acetylene gas escape behavior [J]. CIESC Journal, 2021, 72(2): 1107–1115. doi: 10.11949/0438-1157.20201263 [5] 王文涛, 程扬帆, 姚雨乐, 等. 当量比对乙炔/空气爆炸特性和火焰速度的影响 [J]. 中南大学学报(自然科学版), 2022, 53(2): 433–442. doi: 10.11817/j.issn.1672-7207.2022.02.008WANG W T, CHENG Y F, YAO Y L, et al. Effects of equivalence ratios on explosion characteristics and flame speeds of acetylene/air mixture [J]. Journal of Central South University (Science and Technology), 2022, 53(2): 433–442. doi: 10.11817/j.issn.1672-7207.2022.02.008 [6] 赵禹忱, 金静, 邓兆鋆, 等. 危化品火灾危险性及事故调查技术研究进展 [J]. 消防科学与技术, 2020, 39(1): 132–135. doi: 10.3969/j.issn.1009-0029.2020.01.040ZHAO Y C, JIN J, DENG Z Y, et al. Research progress on fire hazard and accident investigation technology of dangerous chemicals [J]. Fire Science and Technology, 2020, 39(1): 132–135. doi: 10.3969/j.issn.1009-0029.2020.01.040 [7] WANG S M, CAI Y X, GUO H, et al. Effect of fuel concentration, inert gas dilutions, inert gas-water mist twin fluid medium dilutions, and end boundary condition on overpressure transients of premixed fuel vapor explosion [J]. Fuel, 2022, 309: 122083. doi: 10.1016/j.fuel.2021.122083 [8] LUO Z M, WANG T, TIAN Z H, et al. Experimental study on the suppression of gas explosion using the gas-solid suppressant of CO2/ABC powder [J]. Journal of Loss Prevention in the Process Industries, 2014, 30: 17–23. doi: 10.1016/j.jlp.2014.04.006 [9] WANG F H, CHEN W, WEN X P, et al. Numerical simulation and mechanism analysis of gas explosion suppression by ultrasonic water mist [J]. Energy Sources, Part A: Recovery, Utilization, and Environmental Effects, 2019, 41(23): 2821–2833. doi: 10.1080/15567036.2019.1576077 [10] WEN X P, SU T F, WANG F H, et al. Inert nanoparticle suppression of gas explosion in the presence of obstacles [J]. RSC Advances, 2018, 8(68): 39120–39125. doi: 10.1039/C8RA06000B [11] 丁超, 王信群, 徐海顺, 等. 喷射超细ABC粉体对瓦斯爆炸的抑制与增强作用 [J]. 煤炭学报, 2021, 46(6): 1799–1807. doi: 10.13225/j.cnki.jccs.HZ21.0350DING C, WANG X Q, XU H S, et al. Suppression and enhancement of methane/air explosion by discharge of ultrafine ABC powders [J]. Journal of China Coal Society, 2021, 46(6): 1799–1807. doi: 10.13225/j.cnki.jccs.HZ21.0350 [12] 宋诗祥. 悬浮CaC2粉尘气固两相爆炸特性及抑爆机理研究 [D]. 淮南: 安徽理工大学, 2020: 24−25.SONG S X. Study on the gas-solid two-phase explosion performance and suppression mechanism of suspended CaC2 dust [D]. Huainan: Anhui University of Science & Technology, 2020: 24−25. [13] MIZUTANI T, MIYAKE A, MATSUI H. Decomposing deflagration properties of acetylene under low temperatures [J]. Journal of Loss Prevention in the Process Industries, 2007, 20(4): 688–690. doi: 10.1016/j.jlp.2007.04.040 [14] 王犇, 曹居正, 马翔, 等. 乙炔燃爆特性的研究 [J]. 安全与环境学报, 2012, 12(3): 168–171. doi: 10.3969/j.issn.1009-6094.2012.03.040WANG B, CAO J Z, MA X, et al. Study of the characteristic features of the acetylene explosives [J]. Journal of Safety and Environment, 2012, 12(3): 168–171. doi: 10.3969/j.issn.1009-6094.2012.03.040 [15] KOPYLOV S N, GUBINA T V. Inhibiting the combustion of air-acetylene mixtures [J]. Russian Journal of Physical Chemistry A, 2016, 90(1): 43–47. doi: 10.1134/S0036024416010155 [16] CHEN X F, ZHANG Y, ZHANG Q M, et al. Experimental investigation on micro-dynamic behavior of gas explosion suppression with SiO2 fine powders [J]. Theoretical and Applied Mechanics Letters, 2011, 1(3): 032004. doi: 10.1063/2.1103204 [17] LIU B, XU K L, ZHANG Y Y, et al. PAN dust explosion inhibition mechanisms of NaHCO3 and Al(OH)3 [J]. Journal of Loss Prevention in the Process Industries, 2021, 73: 104619. doi: 10.1016/j.jlp.2021.104619 [18] WANG Y, LIN C D, QI Y Q, et al. Suppression of polyethylene dust explosion by sodium bicarbonate [J]. Powder Technology, 2020, 367: 206–212. doi: 10.1016/j.powtec.2020.03.049 [19] 纪文涛, 李璐, 李忠, 等. 聚磷酸铵抑制PMMA粉尘爆炸特性研究 [J]. 化工学报, 2022, 73(1): 461–469. doi: 10.11949/0438-1157.20211267JI W T, LI L, LI Z, et al. Study on suppression of PMMA dust explosion by ammonium polyphosphate [J]. CIESC Journal, 2022, 73(1): 461–469. doi: 10.11949/0438-1157.20211267 [20] SAENKO E V, HUO Y, SHAMSUTDINOV A S, et al. Mesoporous hydrophobic silica nanoparticles as flow-enhancing additives for fire and explosion suppression formulations [J]. ACS Applied Nano Materials, 2020, 3(3): 2221–2233. doi: 10.1021/acsanm.9b02309 [21] 丁信伟, 宋占兵, 喻健良. 预混火焰在冷壁面狭缝中传播与熄灭的判据 [J]. 燃烧科学与技术, 2005, 11(4): 308–314. doi: 10.3321/j.issn:1006-8740.2005.04.004DING X W, SONG Z B, YU J L. Criterion of propagation and quenching of premixed flames in cold walled narrow channels [J]. Journal of Combustion Science and Technology, 2005, 11(4): 308–314. doi: 10.3321/j.issn:1006-8740.2005.04.004 [22] LIU R Z, ZHANG M C, JIA B S. Inhibition of gas explosion by nano-SiO2 powder under the condition of obstacles [J]. Integrated Ferroelectrics, 2021, 216(1): 305–321. doi: 10.1080/10584587.2021.1911296 [23] DASTIDAR A G, AMYOTTE P R, GOING J, et al. Flammability limits of dusts: minimum inerting concentrations [J]. Process Safety Progress, 1999, 18(1): 56–63. doi: 10.1002/prs.680180111 [24] 赵玉成, 王明智, 王艳辉, 等. 液相法纳米氧化铝粉的制备 [J]. 燕山大学学报, 2005, 29(1): 88–91. doi: 10.3969/j.issn.1007-791X.2005.01.021ZHAO Y C, WANG M Z, WANG Y H, et al. Preparation of nanometer alumina powder by liquid method [J]. Journal of Yanshan University, 2005, 29(1): 88–91. doi: 10.3969/j.issn.1007-791X.2005.01.021 [25] 文虎, 王秋红, 邓军, 等. 超细Al(OH)3粉体浓度对甲烷爆炸压力的影响 [J]. 煤炭学报, 2009, 34(11): 1479–1482. doi: 10.3321/j.issn:0253-9993.2009.11.009WEN H, WANG Q H, DENG J, et al. Effect of the concentration of Al(OH)3 ultrafine powder on the pressure of methane explosion [J]. Journal of China Coal Society, 2009, 34(11): 1479–1482. doi: 10.3321/j.issn:0253-9993.2009.11.009 [26] 陈祖敏, 吕建梅, 宁进生. 低烟阻燃PVC电缆料的研制 [J]. 塑料科技, 1997(4): 1–2, 5. doi: 10.15925/j.cnki.issn1005-3360.1997.04.001CHEN Z M, LYU J M, NING J S. The studying of the lower smokingness and flame retardance PVC cable [J]. Plastics Science and Technology, 1997(4): 1–2, 5. doi: 10.15925/j.cnki.issn1005-3360.1997.04.001 [27] 孙刚. 淀粉/EVA复合发泡材料的制备与性能研究 [D]. 株洲: 湖南工业大学, 2014: 27−28.SUN G. Preparation and performance study of starch/EVA foam composite materials [D]. Zhuzhou: Hunan University of Technology, 2014: 27−28. [28] 郑立刚, 王亚磊, 于水军, 等. NaHCO3抑制瓦斯爆炸火焰与压力的耦合分析 [J]. 化工学报, 2018, 69(9): 4129–4136. doi: 10.11949/j.issn.0438-1157.20180433ZHENG L G, WANG Y L, YU S J, et al. Coupled relationship between flame and overpressure of gas explosion inhibited by NaHCO3 [J]. CIESC Journal, 2018, 69(9): 4129–4136. doi: 10.11949/j.issn.0438-1157.20180433 -

下载:

