Effect of Near-Field Overpressure Enhancement of Reactive Material on Low Collateral Damage Ammunition
-
摘要: 为了实现低附带毁伤弹药的近场爆炸威力增强效应,提出在分装式低附带毁伤弹药的重金属颗粒嵌层中加入活性元成分,以期增强近场超压与比冲量。开展了不同含量活性元的静爆实验,利用自由场压力测试系统测得爆炸后近场及中远场的冲击波压力曲线。结果表明:在重金属颗粒嵌层中加入一定含量的活性元后,冲击波超压峰值和比冲量在37.5倍装药直径处分别提高31.6%和21.3%。根据实验结果,利用数值模拟确定了Miller反应速率模型参数,讨论了活性元后燃反应能量释放规律以及活性元组分反应度随时间的变化关系,在充分燃烧的理想情况下,活性元二次燃烧持续时间可达300 ms,且活性元含量区间极有可能存在最优配比。研究结果可为分装式低附带毁伤武器的近场冲击波区域增强效应及其工程化设计提供参考。Abstract: To realize the effect of the near-field shock wave enhancement of low collateral damage ammunition, this study proposes to add reactive material into the embedding layer of heavy metal particle in the sub-package low collateral damage ammunition to enhance the near-field overpressure and specific impulse. Static explosion experiments with different contents of reactive material were carried out, and the pressure curves of the near field and the mid-far field shock wave after the explosion were measured by the free field pressure test system. The results show that: after adding a certain content of reactive material into the heavy metal particle intercalation, the peak value of the overpressure and the specific impulse of shock wave at 37.5 times charge diameter are increased by 31.6% and 21.3%, respectively. According to the experimental results, the parameters of the Miller reaction rate model were determined by numerical simulation, and the law of energy release after-combustion reaction of the active element and the time-dependent change of the reactivity of the reactive material components were discussed. The duration of the secondary combustion can reach 300 ms under the ideal situation of sufficient combustion, and an optimal proportion of the range of reactive material content is likely exist. This research provides considerable development direction and application prospects for the regional enhancement effect of near-field shock wave and its engineering design of sub-packaged low collateral damage weapons.
-
表 1 活性重金属颗粒嵌层配方
Table 1. Embedded formulation of reactive heavy metal particle
Serial number Mass fraction of heavy metal particle embedded/% WC diameter/µm WC RM Additive LCD-1 90 0 10 150–250 LCD-2 82 10 8 150–250 表 2 JWL状态方程参数
Table 2. Parameters of JWL equation of state
Explosives and RM A/GPa B/GPa R1 R2 ω Q/(kJ·g−1) E/(kJ·g−1) Composition B/0% Al 524.63 7.678 4.2 1.1 0.34 0 4.95 Composition B/10% Al 524.63 7.678 4.2 1.1 0.34 15.67 4.95 表 3 冲击波超压峰值数值模拟结果与实验对比
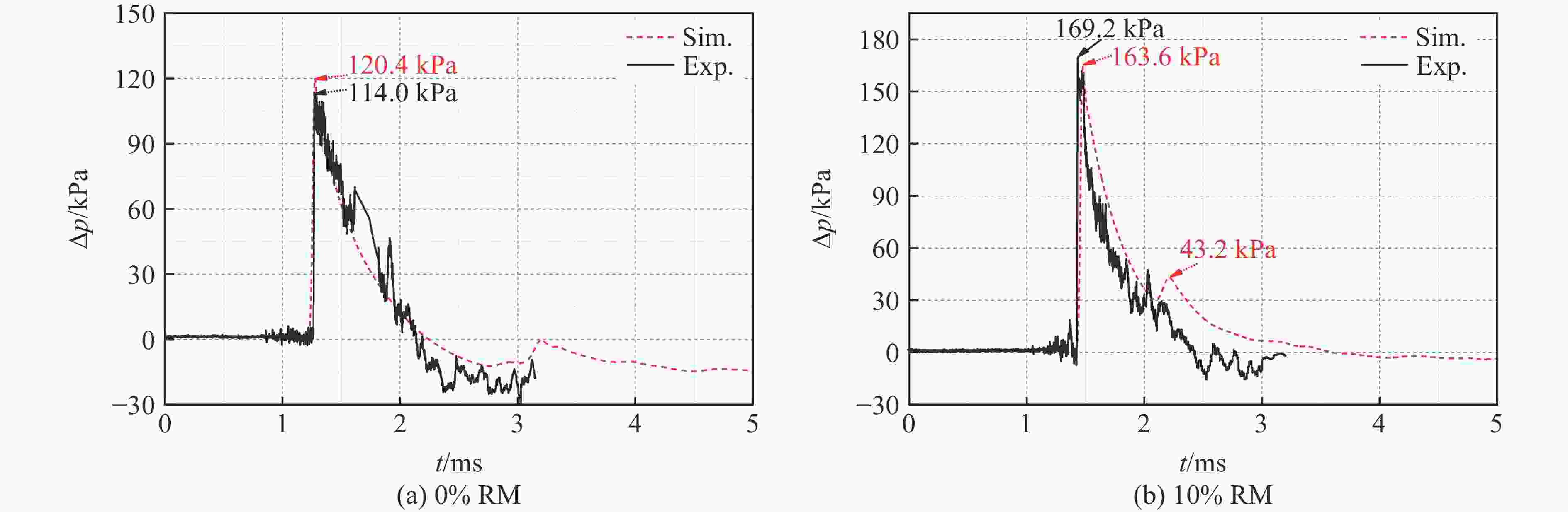
Table 3. Comparison of numerical simulation results of the peak overpressure of shock wave with experiments
R/m Δp/kPa δ/% Δpe Δps 1.5 169.2 163.6 3.3 2.0 86.0 89.5 4.4 3.0 40.0 42.8 3.3 -
[1] SIRAK M. Air Force focuses on new low-collateral-damage warhead for small bomb [N]. Defense Daily, 2006, 230(10): 1. [2] 刘意. 高密度惰性金属炸药爆轰与粒子流形成过程研究 [D]. 北京: 北京理工大学, 2015: 7–37.LIU Y. Detonation of dense inert metal explosive and the formation of particles flow [D]. Beijing: Beijing Institute of Technology, 2015: 7–37. [3] 申超. 重金属粉末嵌层CFRP壳体内爆下低附带毁伤特性表征 [D]. 北京: 北京理工大学, 2015: 9–22.SHEN C. The low collateral damage characterization of CFRP shell structure with heavy mental powder embedded as a layer under implosion [D]. Beijing: Beijing Institute of Technology, 2015: 9–22. [4] FROST D L, ORNTHANALAI C, ZAREI Z, et al. Particle momentum effects from the detonation of heterogeneous explosives [J]. Journal of Applied Physics, 2007, 101(11): 113529. doi: 10.1063/1.2743912 [5] FROST D L, GRÉGOIRE Y, PETEL O, et al. Particle jet formation during explosive dispersal of solid particles [J]. Physics of Fluids, 2012, 24(9): 091109. doi: 10.1063/1.4751876 [6] XUE K, YU Q Q, BAI C H. Dual fragmentation modes of the explosively dispersed granular materials [J]. The European Physical Journal E, 2014, 37(9): 88. doi: 10.1140/epje/i2014-14088-y [7] 黄德雨, 王坚茹, 陈智刚, 等. 炸药配比对陶瓷低附带毁伤战斗部能量输出的影响 [J]. 弹箭与制导学报, 2012, 32(1): 108–110, 130. doi: 10.3969/j.issn.1673-9728.2012.01.032HUANG D Y, WANG J R, CHEN Z G, et al. Influence of explosive radio on energy output of ceramic low collateral damage warhead [J]. Journal of Projectiles, Rockets, Missiles and Guidance, 2012, 32(1): 108–110, 130. doi: 10.3969/j.issn.1673-9728.2012.01.032 [8] 霍奕宇, 王坚茹. 某新型破片材料在低附带毁伤弹药中的应用研究 [J]. 科学技术与工程, 2015, 15(35): 175–178. doi: 10.3969/j.issn.1671-1815.2015.35.031HUO Y Y, WANG J R. Application of the research on the low collateral damage ammunition about new materials fragment [J]. Science Technology and Engineering, 2015, 15(35): 175–178. doi: 10.3969/j.issn.1671-1815.2015.35.031 [9] 霍奕宇, 王坚茹, 陈智刚, 等. 碳纤维壳体壁厚对陶瓷球初速及性能的影响 [J]. 爆破器材, 2016, 45(1): 30–33, 38. doi: 10.3969/j.issn.1001-8352.2016.01.007HUO Y Y, WANG J R, CHEN Z G, et al. Influence of thickness of carbon fiber shell on initial velocity and capability of ceramic ball [J]. Explosive Materials, 2016, 45(1): 30–33, 38. doi: 10.3969/j.issn.1001-8352.2016.01.007 [10] 李俊承, 樊壮卿, 梁斌, 等. 一种低附带弹药金属颗粒定向加载技术 [J]. 爆炸与冲击, 2018, 38(4): 869–875. doi: 10.11883/bzycj-2016-0376LI J C, FAN Z Q, LIANG B, et al. Experimental study on directed loading metal particles of low collateral damage ammunition [J]. Explosion and Shock Waves, 2018, 38(4): 869–875. doi: 10.11883/bzycj-2016-0376 [11] 刘俊, 姚文进, 郑宇, 等. 低附带毁伤弹药的炸药/钨粉质量比对钨粉抛撒特性的影响 [J]. 含能材料, 2015, 23(3): 258–264. doi: 10.11943/j.issn.1006-9941.2015.03.011LIU J, YAO W J, ZHENG Y, et al. Effect of explosive/tungsten powder mass ratio for LCD ammunition on dispersal characteristics of tungsten powder [J]. Chinese Journal of Energetic Materials, 2015, 23(3): 258–264. doi: 10.11943/j.issn.1006-9941.2015.03.011 [12] 左腾, 皮爱国. 亚毫米级金属微粒的爆炸驱动: 模型与数值计算 [J]. 兵工学报, 2016, 37(Suppl 2): 165–170.ZUO T, PI A G. Detonation driving of submillimeter-sized metal particles: model and numerical calculation [J]. Acta Armamentarii, 2016, 37(Suppl 2): 165–170. [13] 杨世全, 孙传杰, 钱立新, 等. 非金属壳体低附带战斗部实验与破片飞散分析 [J]. 高压物理学报, 2018, 32(4): 045103. doi: 10.11858/gywlxb.20170573YANG S Q, SUN C J, QIAN L X, et al. Experimentation and fragment flight analysis of low-collateral-damage warhead with nonmetal shell [J]. Chinese Journal of High Pressure Physics, 2018, 32(4): 045103. doi: 10.11858/gywlxb.20170573 [14] 冯吉奎, 皮爱国, 刘源, 等. 爆炸驱动亚毫米级金属颗粒群的飞散特性 [J]. 高压物理学报, 2019, 33(6): 065104. doi: 10.11858/gywlxb.20190741FENG J K, PI A G, LIU Y, et al. Scattering characteristics of sub-millimeter metal particle group driven by explosion [J]. Chinese Journal of High Pressure Physics, 2019, 33(6): 065104. doi: 10.11858/gywlxb.20190741 [15] 仲倩, 王伯良, 邓金榜. 化学活性材料对温压炸药冲击波参数影响规律研究 [C]//中国力学大会2011暨钱学森诞辰100周年纪念大会论文集. 哈尔滨: 中国力学学会, 2011.ZHONG Q, WANG B L, DENG J B. Study on effect rule of chemically active material on blast wave of thermobaric explosive[C]//Proceedings of the Chinese Society of Theoretical and Applied Mechanics. Harbin: Chinese Society of Mechanics, 2011. [16] 王晓峰, 冯晓军. 温压炸药设计原则探讨 [J]. 含能材料, 2016, 24(5): 418–420. doi: 10.11943/j.issn.1006-9941.2016.05.00XWANG X F, FENG X J. Discussion on the design principle for thermobaric explosives [J]. Chinese Journal of Energetic Materials, 2016, 24(5): 418–420. doi: 10.11943/j.issn.1006-9941.2016.05.00X [17] JIANG C, LU G, MAO L, et al. Effects of aluminum content on the energy output characteristics of CL-20-based aluminized explosives in a closed vessel [J]. Shock Waves, 2021, 31(2): 141–151. doi: 10.1007/s00193-021-01001-1 [18] 隋树元, 王树山. 终点效应学 [M]. 北京: 国防工业出版社, 2000.SUI S Y, WANG S S. Terminal effects [M]. Beijing: National Defense Industry Press, 2000. [19] 田少康, 李席, 刘波, 等. 一种RDX基温压炸药的JWL-Miller状态方程研究 [J]. 含能材料, 2017, 25(3): 226–231. doi: 10.11943/j.issn.1006-9941.2017.03.009TIAN S K, LI X, LIU B, et al. Study on JWL-miller equation of state of RDX-based thermobaric explosive [J]. Chinese Journal of Energetic Materials, 2017, 25(3): 226–231. doi: 10.11943/j.issn.1006-9941.2017.03.009 [20] 张宝銔, 张庆明, 黄风雷. 爆轰物理学 [M]. 北京: 兵器工业出版社, 2001.ZHANG B P, ZHANG Q M, HUANG F L. Detonation physics [M]. Beijing: Weapon Industry Press, 2001. [21] MILLER P J, GUIRGUIS R H. Experimental study and model calculations of metal combustion in Al/Ap underwater explosives [J]. MRS Online Proceedings Library, 1992, 296(1): 299–304. doi: 10.1557/PROC-296-299 [22] 张奇, 白春华, 刘庆明, 等. 一次引爆燃料空气炸药及其爆炸效应研究 [J]. 实验力学, 2000, 15(4): 448–453. doi: 10.3969/j.issn.1001-4888.2000.04.014ZHANG Q, BAI C H, LIU Q M, et al. Investigation on single igniting fuel-air explosive and its explosion effect [J]. Journal of Experimental Mechanics, 2000, 15(4): 448–453. doi: 10.3969/j.issn.1001-4888.2000.04.014 [23] 黄菊, 王伯良, 仲倩, 等. 温压炸药能量输出结构的初步研究 [J]. 爆炸与冲击, 2012, 32(2): 164–168. doi: 10.11883/1001-1455(2012)02-0164-05HUANG J, WANG B L, ZHONG Q, et al. A preliminary investigation on energy output structure of a thermobaric explosive [J]. Explosion and Shock Waves , 2012, 32(2): 164–168. doi: 10.11883/1001-1455(2012)02-0164-05 -

下载: