磷掺杂硅锗合金热电材料的高压合成及热电性能

韩鹏举 胡美华 毕宁 王月月 周绪彪 李尚升

韩鹏举, 胡美华, 毕宁, 王月月, 周绪彪, 李尚升. 磷掺杂硅锗合金热电材料的高压合成及热电性能[J]. 高压物理学报, 2022, 36(6): 061101. doi: 10.11858/gywlxb.20220601
引用本文: 韩鹏举, 胡美华, 毕宁, 王月月, 周绪彪, 李尚升. 磷掺杂硅锗合金热电材料的高压合成及热电性能[J]. 高压物理学报, 2022, 36(6): 061101. doi: 10.11858/gywlxb.20220601
HAN Pengju, HU Meihua, BI Ning, WANG Yueyue, ZHOU Xubiao, LI Shangsheng. Enhanced Thermoelectric Performance of P-Doped Silicon-Germanium Alloys Synthesized by High-Pressure Method[J]. Chinese Journal of High Pressure Physics, 2022, 36(6): 061101. doi: 10.11858/gywlxb.20220601
Citation: HAN Pengju, HU Meihua, BI Ning, WANG Yueyue, ZHOU Xubiao, LI Shangsheng. Enhanced Thermoelectric Performance of P-Doped Silicon-Germanium Alloys Synthesized by High-Pressure Method[J]. Chinese Journal of High Pressure Physics, 2022, 36(6): 061101. doi: 10.11858/gywlxb.20220601

磷掺杂硅锗合金热电材料的高压合成及热电性能

doi: 10.11858/gywlxb.20220601
基金项目: 国家自然科学基金(52072113)
详细信息
    作者简介:

    韩鹏举(2000-),男,硕士研究生,主要从事热电材料研究. E-mail:han824132143@163.com

    通讯作者:

    胡美华(1982-),男,博士,副教授,主要从事超硬及热电材料研究. E-mail:humh@hpu.edu.cn

  • 中图分类号: O521.2

Enhanced Thermoelectric Performance of P-Doped Silicon-Germanium Alloys Synthesized by High-Pressure Method

  • 摘要: 热电材料是一种可以实现热能与电能相互转换的功能材料,硅锗合金作为优良的高温热电材料被应用于深空探测。采用高压合成法制备了磷掺杂n型SiGe合金Si80Ge20Pxx=0, 1, 2),研究了其电输运和热输运特性。结果表明,高压合成样品具有多尺度缺陷。磷掺杂可以优化SiGe合金的电导率和Seebeck系数,1050 K时Si80Ge20P1样品的功率因子较未掺杂样品提升了100%。同时,掺磷量的增加导致晶格热导率下降,1050 K时Si80Ge20P2样品的热导率降低约80%。此外,Si80Ge20Px的热电性能得到显著提升,1050 K时Si80Ge20P2样品的热电优值达到1.1。

     

  • 图  国产六面顶压机(a)、碳化钨顶砧(b)和高压合成SiGe合金组装(c)

    Figure  1.  Domestic cubic high-pressure equipment (a), tungsten carbide anvil (b), and assembly of SiGe alloy synthesized by high-pressure (c)

    图  SiGe样品的XRD谱:(a) 混合球磨4 h的Si80Ge20P2原料粉末;(b)~(d) 高压合成的Si80Ge20Px (x=0, 1, 2)合金

    Figure  2.  XRD patterns of SiGe samples: (a) Si80Ge20P2 raw materials mixed by ball milling for 4 h; (b) – (d) Si80Ge20Px (x=0, 1, 2) alloys synthesized by high-pressure method

    图  高压合成的Si80Ge20P1显微图像:(a) SEM图像,(b) HR-TEM图像

    Figure  3.  SEM (a) and HR-TEM (b) images of Si80Ge20P1 alloys synthesized by high-pressure method

    图  Si80Ge20Pxx=0, 1, 2)的电导率(a)、Seebeck系数(b)、功率因子(c)与温度的关系

    Figure  4.  Temperature dependence of (a) electrical conductivity, (b) Seebeck coefficient, and (c) power factor of Si80Ge20Px (x=0, 1, 2) alloys

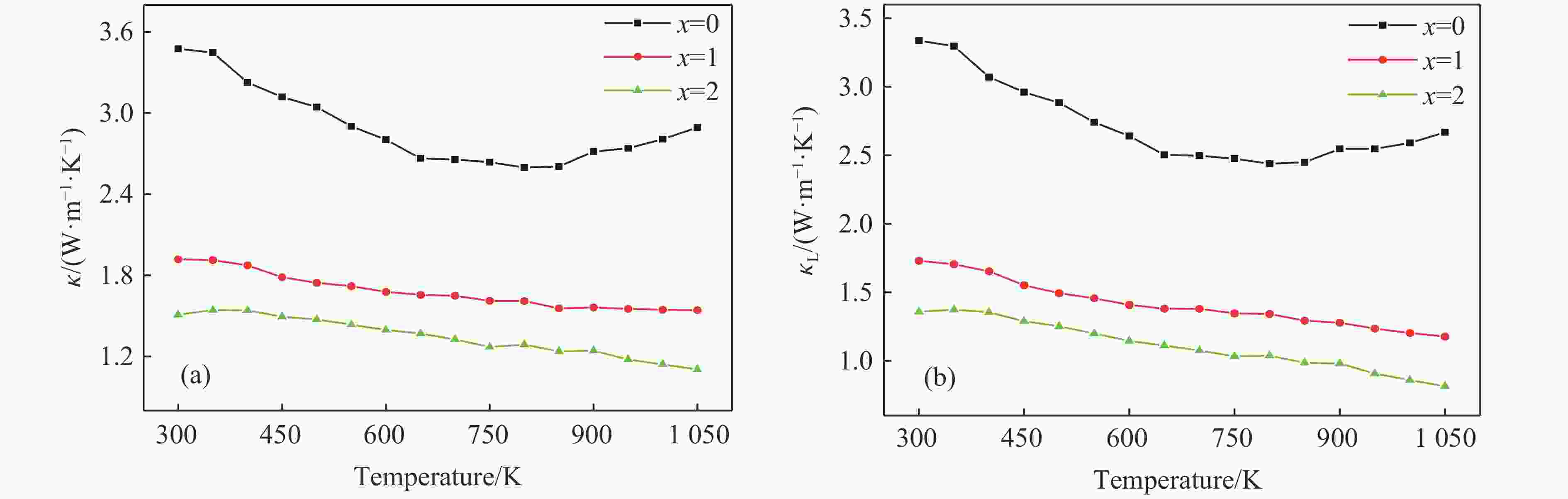
    图  Si80Ge20Pxx=0, 1, 2)合金的热导率(a)与晶格热导率(b)与温度的关系

    Figure  5.  Temperature dependence of (a) thermal conductivity and (b) lattice thermal conductivity of Si80Ge20Px (x=0, 1, 2) alloys

    图  Si80Ge20Pxx=0, 1, 2)合金的热电优值ZT与温度的关系

    Figure  6.  Temperature dependence of thermoelectric optimum ZT of Si80Ge20Px (x=0, 1, 2) alloys

  • [1] SHI X L, ZOU J, CHEN Z G. Advanced thermoelectric design: from materials and structures to devices [J]. Chemical Reviews, 2020, 120(15): 7399–7515. doi: 10.1021/acs.chemrev.0c00026
    [2] BELL L E. Cooling, heating, generating power, and recovering waste heat with thermoelectric systems [J]. Science, 2008, 321(5895): 1457–1461. doi: 10.1126/science.1158899
    [3] CHAMPIER D. Thermoelectric generators: a review of applications [J]. Energy Conversion and Management, 2017, 140: 167–181. doi: 10.1016/j.enconman.2017.02.070
    [4] DISALVO F J. Thermoelectric cooling and power generation [J]. Science, 1999, 285(5428): 703−706.
    [5] LIU W, XIAO Y, GANG C, et al. Recent advances in thermoelectric nanocomposites [J]. Nano Energy, 2012, 1(1): 42–56. doi: 10.1016/j.nanoen.2011.10.001
    [6] BASU R, SINGH A. High temperature Si-Ge alloy towards thermoelectric applications: a comprehensive review [J]. Materials Today Physics, 2021, 21: 100468. doi: doi.org/10.1016/j.mtphys.2021.100468
    [7] DISMUKES J P, EKSTROM L, STEIGMEIER E F, et al. Thermal and electrical properties of heavily doped Ge-Si alloys up to 1300 °K [J]. Journal of Applied Physics, 1964, 35(10): 2899–2907. doi: 10.1063/1.1713126
    [8] JOSHI G, LEE H, WANG X, et al. Enhanced thermoelectric figure-of-merit in nanostructured p-type silicon germanium bulk alloys [J]. Applied Physics Letters, 2008, 93(19): 459–259.
    [9] OKUTANI T, KABEYA Y, NAGAI H. Thermoelectric n-type silicon germanium synthesized by unidirectional solidification in microgravity [J]. Journal of Alloys and Compounds, 2013, 551: 607–615. doi: 10.1016/j.jallcom.2012.11.022
    [10] VISHWAKARMA A, CHAUHAN N S, BHARDWAJ R, et al. Melt-spun SiGe nano-alloys: microstructural engineering towards high thermoelectric efficiency [J]. Journal of Electronic Materials, 2021, 50(1): 364–374. doi: 10.1007/s11664-020-08560-6
    [11] MURUGASAMI R, VIVEKANANDHAN P, KUMARAN S, et al. Synergetic enhancement of thermoelectric and mechanical properties of n-type SiGe-P alloy through solid state synthesis and spark plasma sintering [J]. Materials Research Bulletin, 2019, 118: 110483. doi: 10.1016/j.materresbull.2019.05.008
    [12] MURUGASAMI R, VIVEKANANDHAN P, KUMARAN S, et al. Thermoelectric power factor performance of silicon-germanium alloy doped with phosphorus prepared by spark plasma assisted transient liquid phase sintering [J]. Scripta Materialia, 2018, 143: 35–39. doi: 10.1016/j.scriptamat.2017.08.048
    [13] 周绪彪, 李尚升, 李洪涛, 等. Sn1− xGexTe的高温高压合成及热电性能 [J]. 高压物理学报, 2022, 36(1): 011102.

    ZHOU X B, LI S S, LI H T, et al. Synthesis and thermoelectric properties of Sn 1−xGexTe by high temperature and high pressure [J]. Chinese Journal of High Pressure Physics, 2022, 36(1): 011102.
    [14] KALLEL A C, ROUX G, MARTIN C L. Thermoelectric and mechanical properties of a hot pressed nanostructured n-type Si80Ge20 alloy [J]. Materials Science & Engineering A, 2013, 564: 65–70.
    [15] BATHULA S, JAYASIMHADRI M, SINGH N, et al. Enhanced thermoelectric figure-of-merit in spark plasma sintered nanostructured n-type SiGe alloys [J]. Applied Physics Letters, 2012, 101(21): 213902.
    [16] SURYANARAYANA C. Mechanical alloying and milling [J]. Progress in Materials Science, 2001, 46: 1–184. doi: 10.1016/S0079-6425(99)00010-9
    [17] YANG M, SU T, ZHOU D, et al. High-pressure synthesis and thermoelectric performance of tellurium doped with bismuth [J]. Journal of Materials Science, 2017, 52(17): 10526–10532. doi: 10.1007/s10853-017-1180-9
    [18] ZHU H, SU T, LI H, et al. High pressure synthesis, structure and thermoelectric properties of BiCuChO (Ch = S, Se, Te) [J]. Journal of the European Ceramic Society, 2017, 37(4): 1541–1546. doi: 10.1016/j.jeurceramsoc.2016.10.021
    [19] YANG M, ZHU H, LI H, et al. Electrical transport and thermoelectric properties of PbTe1− xIx synthesized by high pressure and high temperature [J]. Journal of Alloys and Compounds, 2017, 696: 161–165. doi: 10.1016/j.jallcom.2016.11.253
    [20] 宿太超, 朱品文, 马红安, 等. 高温高压下掺杂N型PbTe的热电性能 [J]. 高压物理学报, 2007, 21(1): 55–58. doi: 10.3969/j.issn.1000-5773.2007.01.009

    SU T C, ZHU P W, MA H A, et al. Thermoelectric properties of N-PbTe doped with Sb2Te3 prepared by high-pressure and high-temperature [J]. Chinese Journal of High Pressure Physics, 2007, 21(1): 55–58. doi: 10.3969/j.issn.1000-5773.2007.01.009
    [21] BUX S K, BLAIR R G, GOGNA P K, et al. Nanostructured bulk silicon as an effective thermoelectric material [J]. Advanced Functional Materials, 2010, 19(15): 2445–2452.
    [22] ZHU G H, LEE H, LAN Y C, et al. Increased phonon scattering by nanograins and point defects in nanostructured silicon with a low concentration of germanium [J]. Physical Review Letters, 2009, 102(19): 196803.
    [23] MINGO N, HAUSER D, KOBAYASHI N P, et al. “Nanoparticle-in-alloy” approach to efficient thermoelectrics: silicides in SiGe [J]. Nano Letters, 2009, 9(2): 711–715. doi: 10.1021/nl8031982
    [24] ROWE D M, SHUKLA V S. The effect of phonon-grain boundary scattering on the lattice thermal conductivity and thermoelectric conversion efficiency of heavily doped fine-grained, hot-pressed silicon germanium alloy [J]. Journal of Applied Physics, 1981, 52(12): 7421–7426. doi: 10.1063/1.328733
    [25] BATHULA S, JAYASIMHADRI M, GAHTORI B, et al. The role of nanoscale defect features in enhancing the thermoelectric performance of p-type nanostructured SiGe alloys [J]. Nanoscale, 2015, 7(29): 12474–12483. doi: 10.1039/C5NR01786F
    [26] SON J H, OH M W, KIM B S, et al. Effect of ball milling time on the thermoelectric properties of p-type (Bi, Sb)2Te3 [J]. Journal of Alloys and Compounds, 2013, 566: 168–174. doi: 10.1016/j.jallcom.2013.03.062
    [27] BERA C, MINGO N, VOLZ S. Marked effects of alloying on the thermal conductivity of nanoporous materials [J]. Physical Review Letters, 2010, 104(11): 115502.
    [28] VINEIS C J, SHAKOURI A, MAJUMDAR A, et al. Nanostructured thermoelectrics: big efficiency gains from small features [J]. Advanced Materials, 2010, 22(36): 3970–3980. doi: 10.1002/adma.201000839
    [29] WALKER C T, POHL R O. Phonon scattering by point defects [J]. Physical Review, 1963, 131(4): 1433–1442. doi: 10.1103/PhysRev.131.1433
    [30] ZOU J, KOTCHETKOV D, BALANDIN A A, et al. Thermal conductivity of GaN films: effects of impurities and dislocations [J]. Journal of Applied Physics, 2002, 92(5): 2534–2539. doi: 10.1063/1.1497704
    [31] CARRUTHERS P. Theory of thermal conductivity of solids at low temperatures [J]. Reviews of Modern Physics, 1961, 33(1): 92−138.
    [32] MORELLI D T, HEREMANS J P, SLACK G A. Estimation of the isotope effect on the lattice thermal conductivity of group Ⅳ and group Ⅲ-Ⅴ semiconductors [J]. Physical Review B, 2002, 66(19): 195304.
    [33] VINING C B. Thermoelectric properties of pressure-sintered Si0.8Ge0.2 thermoelectric alloys [J]. Journal of Applied Physics, 1991, 69(8): 4333–4340. doi: 10.1063/1.348408
    [34] REGEL A R, SMIRNOV I A, SHADRICHEV E V. Investigation of thermal conductivity of semiconducting melts [J]. Journal of Non-Crystalline Solids, 1972, 8: 266–271.
    [35] KIM H S, GIBBS Z M, TANG Y, et al. Characterization of Lorenz number with Seebeck coefficient measurement [J]. APL Materials, 2015, 3(4): 041506.
    [36] ZHAO L J, YANG J, ZOU Y H, et al. Tuning Ag content to achieve high thermoelectric properties of Bi-doped p-type Cu3SbSe4-based materials [J]. Journal of Alloys and Compounds, 2021, 872: 159659.
    [37] SLACK G A, HUSSAIN M A. The maximum possible conversion efficiency of silicon-germanium thermoelectric generators [J]. Journal of Applied Physics, 1991, 70(5): 2694–2718. doi: 10.1063/1.349385
  • 加载中
图(6)
计量
  • 文章访问数:  870
  • HTML全文浏览量:  438
  • PDF下载量:  52
出版历程
  • 收稿日期:  2022-05-31
  • 修回日期:  2022-06-28
  • 网络出版日期:  2022-11-21
  • 刊出日期:  2022-12-05

目录

    /

    返回文章
    返回