Pressure Effects on the Tetragonal FeS Superconductor
-
摘要: 高压调控在提高铁基超导体的临界温度(Tc)、揭示竞争电子序之间的联系以及超导机理等方面发挥了重要作用。大量的高压研究结果显示,不同的压力环境(静水压或非静水压)会造成材料物性的高压响应出现明显差异。目前,对四方相FeS超导体的高压研究结果仍存在分歧。为此,采用能够产生良好静水压环境的活塞-圆筒和六面砧压腔,详细测量了FeS单晶在0~11 GPa压力范围内的磁化率和电阻率,确认其Tc随压力升高而单调降低,压力系数dTc/dp约为−1.5 K/GPa,即约3 GPa的压力可完全抑制超导。当FeS单晶在4~5 GPa发生四方-六角结构相变时,电阻率的温度依赖关系由金属行为转变为半导体行为,且电阻率随着压力升高而逐步增大,在11 GPa以内没有出现第2个超导相,因此不支持FeS在高压下具有两个超导相的结论。最后,结合微观晶体结构信息,对比讨论了等结构的FeSe和FeS的物性在高压下迥异响应的物理机制。Abstract: High-pressure regulation has played an important role in enhancing the superconducting transition temperature (Tc) and revealing the competing electronic orders and superconducting mechanisms of iron-based superconductors. A large number of high-pressure studies have shown that different pressure conditions (hydrostatic vs. non-hydrostatic pressure) can make great differences in the physical properties of condensed matters under high pressure. To unveil the discrepancies of different high-pressure studies on tetragonal FeS, we performed high-pressure magnetic susceptibility and resistivity measurements on tetragonal FeS single crystal up to 11 GPa by using a piston-cylinder and a cubic anvil cell that can produce good hydrostatic pressures. It is found that its Tc decreases monotonically with increasing pressure with a slope of dTc/dp≈−1.5 K/GPa, which indicates that the superconductivity can be completely suppressed at about 3 GPa. When the tetragonal-hexagonal structural phase transition occurs at about 4−5 GPa, the temperature-dependent resistivity changes from metallic to semiconducting behavior, and the resistivity shows continuous increase upon further increasing pressure. No second superconducting phase was observed up to 11 GPa, and our results thus do not support the conclusion that FeS has two superconducting phases at high pressure. Finally, in light of the structural information under pressure, we discussed briefly the underlying mechanism for the distinct pressure evolutions of the physical properties in FeS and FeSe.
-
Key words:
- tetragonal FeS /
- unconventional superconductivity /
- high-pressure regulation /
- SC-Ⅱ phase
-
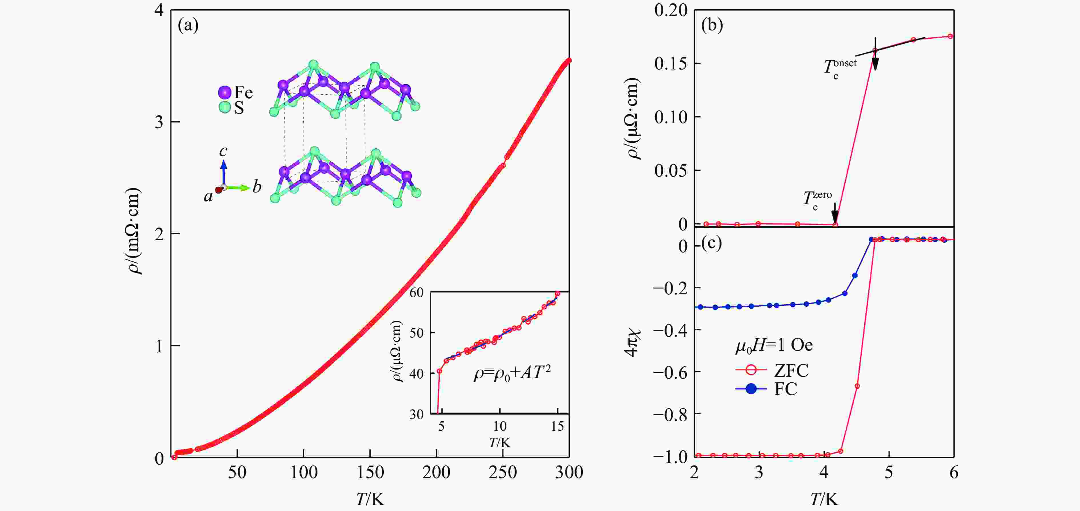
图 1 (a) 常压下FeS单晶的变温电阻率ρ(T)曲线(左上插图为FeS的晶体结构示意图,右下插图为FeS的低温电阻率曲线以及ρ(T)=ρ0+AT2的拟合曲线);(b) FeS单晶在低温区的变温电阻率ρ(T);(c) FeS单晶在低温区的ZFC和FC磁化率χ(T)曲线
Figure 1. (a) Temperature dependence of resistivity for FeS single crystal at ambient pressure (The upper left inset displays the crystal structure of FeS and the lower right inset shows the low temperature resistivity data and the ρ(T) = ρ0+AT2 fitting curve of FeS); (b) the temperature-dependent resistivity ρ(T) and (c) the ZFC/FC magnetic susceptibility χ(T) at low-temperature range
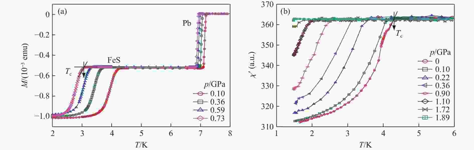
图 2 高压下FeS单晶的直流和交流磁化率:(a) 采用微型活塞-圆筒压腔测试的零场冷直流磁化曲线;(b) 采用活塞-圆筒压腔测试的交流磁化率
Figure 2. DC and AC magnetic susceptibility for FeS single crystal at high pressures: (a) DC susceptibility measured in zero-field cooling process by miniature piston cylinder cell up to 0.73 GPa; (b) AC susceptibility measured in a piston cylinder cell up to 1.89 GPa
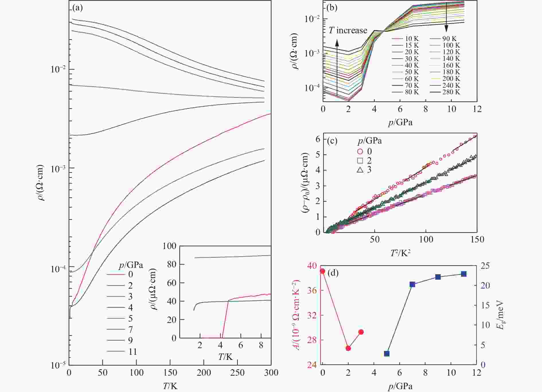
图 3 (a) 利用六面砧测试的FeS单晶在不同压力下的变温电阻率曲线(右下插图显示了低压区电阻率数据);(b) FeS单晶在不同温度下的电阻率随压力的变化关系;(c) 0~3 GPa压力范围内FeS单晶的低温电阻率与T2的依赖关系;(d) FeS单晶在低压区的低温电阻率拟合参数A和高压区由热激活模型拟合的能隙随压力的演化关系
Figure 3. (a) Temperature dependence of resistivity in logarithmic plot for FeS single crystal at various pressures measured with cubic anvil cell (The inset shows the low-pressure range resistivity curves in linear plot.); (b) pressure dependence of resistivity for FeS single crystal at different temperatures; (c) T2 dependence of resistivity for FeS single crystal at 0–3 GPa; (d) evolutions of fitting parameters at low temperature for FeS single crystal under high pressure
-
[1] WU W, CHENG J G, MATSUBAYASHI K, et al. Superconductivity in the vicinity of antiferromagnetic order in CrAs [J]. Nature Communications, 2014, 5: 5508. doi: 10.1038/ncomms6508 [2] CHENG J G, MATSUBAYASHI K, WU W, et al. Pressure induced superconductivity on the border of magnetic order in MnP [J]. Physical Review Letters, 2015, 114(11): 117001. doi: 10.1103/PhysRevLett.114.117001 [3] SUN J P, MATSUURA K, YE G Z, et al. Dome-shaped magnetic order competing with high-temperature superconductivity at high pressures in FeSe [J]. Nature Communications, 2016, 7: 12146. doi: 10.1038/ncomms12146 [4] LI Y, SUN Z, CAI J W, et al. Pressure-induced charge-order melting and reentrant charge carrier localization in the mixed-valent Pb3Rh7O15 [J]. Chinese Physics Letters, 2017, 34(8): 087201. doi: 10.1088/0256-307X/34/8/087201 [5] ZHANG C, SUN J P, LIU F L, et al. Evidence for pressure-induced node-pair annihilation in Cd3As2 [J]. Physical Review B, 2017, 96(15): 155205. doi: 10.1103/physrevb.96.155205 [6] MATSUDA M, LIN F K, YU R, et al. Evolution of magnetic double helix and quantum criticality near a dome of superconductivity in CrAs [J]. Physical Review X, 2018, 8(3): 031017. doi: 10.1103/PhysRevX.8.031017 [7] SUN J P, JIAO Y Y, YI C J, et al. Magnetic-competition-induced colossal magnetoresistance in n-type HgCr2Se4 under high pressure [J]. Physical Review Letters, 2019, 123(4): 047201. doi: 10.1103/PhysRevLett.123.047201 [8] LIU Z Y, ZHANG T, XU S X, et al. Pressure effect on the anomalous Hall effect of ferromagnetic Weyl semimetal Co3Sn2S2 [J]. Physical Review Materials, 2020, 4(4): 044203. doi: 10.1103/physrevmaterials.4.044203 [9] CHEN K Y, WANG N N, YIN Q W, et al. Double superconducting dome and triple enhancement of Tc in the Kagome superconductor CsV3Sb5 under high pressure [J]. Physical Review Letters, 2021, 126(24): 247001. doi: 10.1103/PhysRevLett.126.247001 [10] WANG N N, CHEN K Y, YIN Q W, et al. Competition between charge-density-wave and superconductivity in the kagome metal RbV3Sb5 [J]. Physical Review Research, 2021, 3(4): 043018. doi: 10.1103/PHYSREVRESEARCH.3.043018 [11] YUAN H Q, GROSCHE F M, DEPPE M, et al. Observation of two distinct superconducting phases in CeCu2Si2 [J]. Science, 2003, 302(5653): 2104–2107. doi: 10.1126/science.1091648 [12] 孙建平, 王铂森, 程金光. FeSe单晶的高压研究进展 [J]. 科学通报, 2017, 62(34): 3925–3934. doi: 10.1360/N972017-00713SUN J P, WANG B S, CHENG J G. Recent progress on the high-pressure studies of FeSe single crystal [J]. Chinese Science Bulletin, 2017, 62(34): 3925–3934. doi: 10.1360/N972017-00713 [13] SUN J P, YE G Z, SHAHI P, et al. High-Tc superconductivity in FeSe at high pressure: dominant hole carriers and enhanced spin fluctuations [J]. Physical Review Letters, 2017, 118(14): 147004. doi: 10.1103/PhysRevLett.118.147004 [14] SHAHI P, SUN J P, WANG S H, et al. High-Tc superconductivity up to 55 K under high pressure in a heavily electron doped Li0.36(NH3) yFe2Se2 single crystal [J]. Physical Review B, 2018, 97(2): 020508. doi: 10.1103/physrevb.97.020508 [15] 孙建平, SHAHI P, 周花雪, 等. 插层FeSe高温超导体的高压研究进展 [J]. 物理学报, 2018, 67(20): 207404. doi: 10.7498/aps.67.20181319SUN J P, SHAHI P, ZHOU H X, et al. Effect of high pressure on intercalated FeSe high-Tc superconductors [J]. Acta Physica Sinica, 2018, 67(20): 207404. doi: 10.7498/aps.67.20181319 [16] SUN J P, SHAHI P, ZHOU H X, et al. Reemergence of high-Tc superconductivity in the (Li1- xFe x)OHFe1- ySe under high pressure [J]. Nature Communications, 2018, 9(1): 380. doi: 10.1038/s41467-018-02843-7 [17] LIU Z Y, DONG Q X, SHAN P F, et al. Pressure-induced metallization and structural phase transition in the quasi-one-dimensional TlFeSe2 [J]. Chinese Physical Letters, 2020, 37(4): 047102. doi: 10.1088/0256-307X/37/4/047102 [18] SUN J P, SHI M Z, LEI B, et al. Pressure-induced second high-Tc superconducting phase in the organic-ion-intercalated (CTA)0.3FeSe single crystal [J]. Europhysics Letters, 2020, 130(6): 67004. doi: 10.1209/0295-5075/130/67004 [19] 程金光, 孙建平. 铁硒基超导体的高压研究进展 [J]. 中国科学: 物理学 力学 天文学, 2021, 51(4): 047403. doi: 10.1360/SSPMA-2020-0414CHENG J G, SUN J P. Pressure effects on the FeSe-based superconductors [J]. Scientia Sinica Physica, Mechanica & Astronomica, 2021, 51(4): 047403. doi: 10.1360/SSPMA-2020-0414 [20] HSU F C, LUO J Y, YEH K W, et al. Superconductivity in the PbO-type structure α-FeSe [J]. Proceedings of the National Academy of Sciences of the United States of America, 2008, 105(38): 14262–14264. doi: 10.1073/pnas.0807325105 [21] MEDVEDEV S, MCQUEEN T M, TROYAN I A, et al. Electronic and magnetic phase diagram of β-Fe1.01Se with superconductivity at 36.7 K under pressure [J]. Nature Materials, 2009, 8(8): 630–633. doi: 10.1038/nmat2491 [22] HOLENSTEIN S, PACHMAYR U, GUGUCHIA Z, et al. Coexistence of low-moment magnetism and superconductivity in tetragonal FeS and suppression of Tc under pressure [J]. Physical Review B, 2016, 93(14): 140506. doi: 10.1103/PhysRevB.93.140506 [23] LAI X F, LIU Y, LÜ X J, et al. Suppression of superconductivity and structural phase transitions under pressure in tetragonal FeS [J]. Scientific Reports, 2016, 6: 31077. doi: 10.1038/srep31077 [24] ZHANG J, LIU F L, YING T P, et al. Observation of two superconducting domes under pressure in tetragonal FeS [J]. NPJ Quantum Materials, 2017, 2(1): 49. doi: 10.1038/s41535-017-0050-7 [25] SHIMIZU M, TAKEMORI N, GUTERDING D, et al. Two-dome superconductivity in FeS induced by a lifshitz transition [J]. Physical Review Letters, 2018, 121(13): 137001. doi: 10.1103/PhysRevLett.121.137001 [26] LAI X F, ZHANG H, WANG Y Q, et al. Observation of superconductivity in tetragonal FeS [J]. Journal of the American Chemical Society, 2015, 137(32): 10148–10151. doi: 10.1021/jacs.5b06687 [27] LIN H, LI Y F, DENG Q, et al. Multiband superconductivity and large anisotropy in FeS crystals [J]. Physical Review B, 2016, 93(14): 144505. doi: 10.1103/PhysRevB.93.144505 [28] CHENG J G, MATSUBAYASHI K, NAGASAKI S, et al. Integrated-fin gasket for palm cubic-anvil high pressure apparatus [J]. Review of Scientific Instruments, 2014, 85(9): 093907. doi: 10.1063/1.4896473 [29] CHENG J G, WANG B S, SUN J P, et al. Cubic anvil cell apparatus for high-pressure and low-temperature physical property measurements [J]. Chinese Physics B, 2018, 27(7): 077403. doi: 10.1088/1674-1056/27/7/077403 [30] YING T P, LAI X F, HONG X C, et al. Nodal superconductivity in FeS: evidence from quasiparticle heat transport [J]. Physical Review B, 2016, 94(10): 100504. doi: 10.1103/PhysRevB.94.100504 [31] TERASHIMA T, KIKUGAWA N, LIN H, et al. Upper critical field and quantum oscillations in tetragonal superconducting FeS [J]. Physical Review B, 2016, 94(10): 100503. doi: 10.1103/PhysRevB.94.100503 [32] BORG C K H, ZHOU X Q, ECKBERG C, et al. Strong anisotropy in nearly ideal tetrahedral superconducting FeS single crystals [J]. Physical Review B, 2016, 93(9): 094522. doi: 10.1103/PhysRevB.93.094522 [33] LUO X G, CHEN X H. Crystal structure and phase diagrams of iron-based superconductors [J]. Science China Materials, 2015, 58(1): 77–89. doi: 10.1007/s40843-015-0022-9 [34] MIZUGUCHI Y, TOMIOKA F, TSUDA S, et al. Substitution effects on FeSe superconductor [J]. Journal of the Physical Society of Japan, 2009, 78(7): 074712. doi: 10.1143/JPSJ.78.074712 [35] MAN H R, GUO J G, ZHANG R, et al. Spin excitations and the Fermi surface of superconducting FeS [J]. NPJ Quantum Materials, 2017, 2(1): 14. doi: 10.1038/s41535-017-0019-6 [36] BAUM A, MILOSAVLJEVIĆ A, LAZAREVIĆ N, et al. Phonon anomalies in FeS [J]. Physical Review B, 2018, 97(5): 054306. doi: 10.1103/PhysRevB.97.054306 [37] TAKELE S, HEARNE G R. Electrical transport, magnetism, and spin-state configurations of high-pressure phases of FeS [J]. Physical Review B, 1999, 60(7): 4401–4403. doi: 10.1103/PhysRevB.60.4401 -

下载: