2021年 第35卷 第2期
2021, 35(2): 024104.
doi: 10.11858/gywlxb.20200623
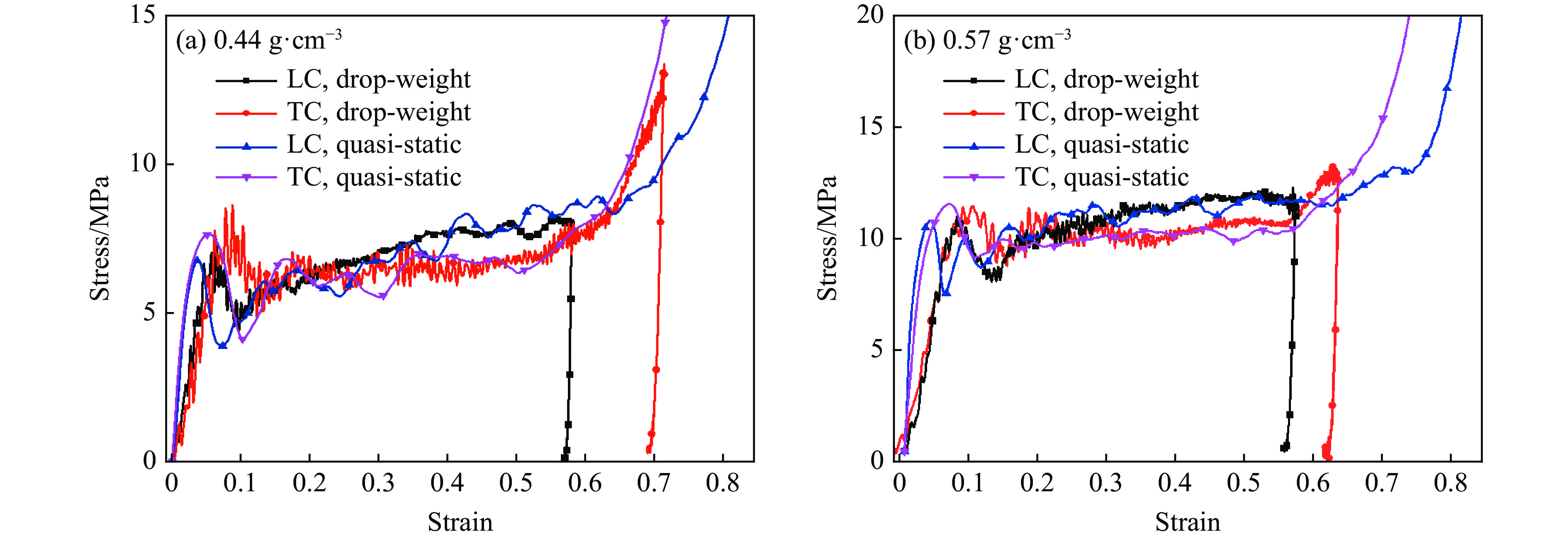
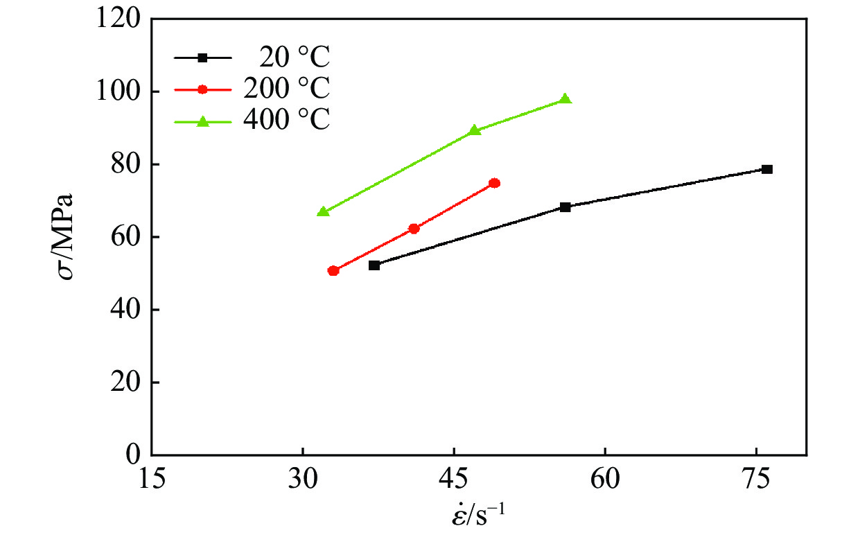
摘要:
2021, 35(2): 025201.
doi: 10.11858/gywlxb.20200631
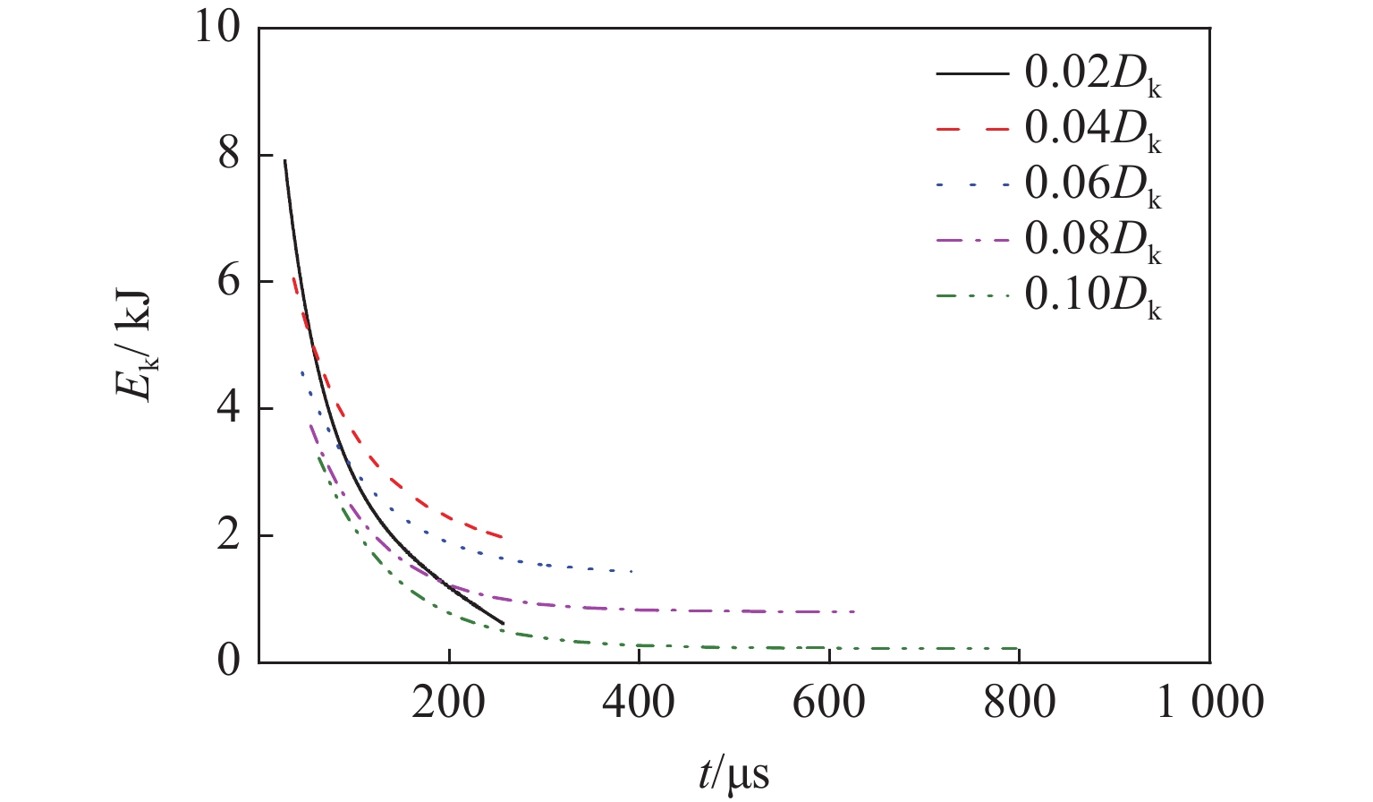
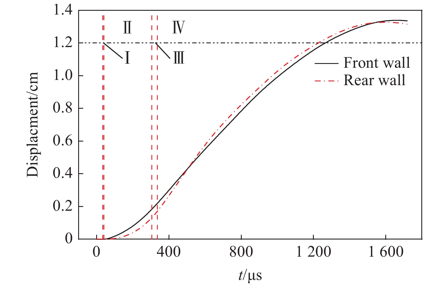
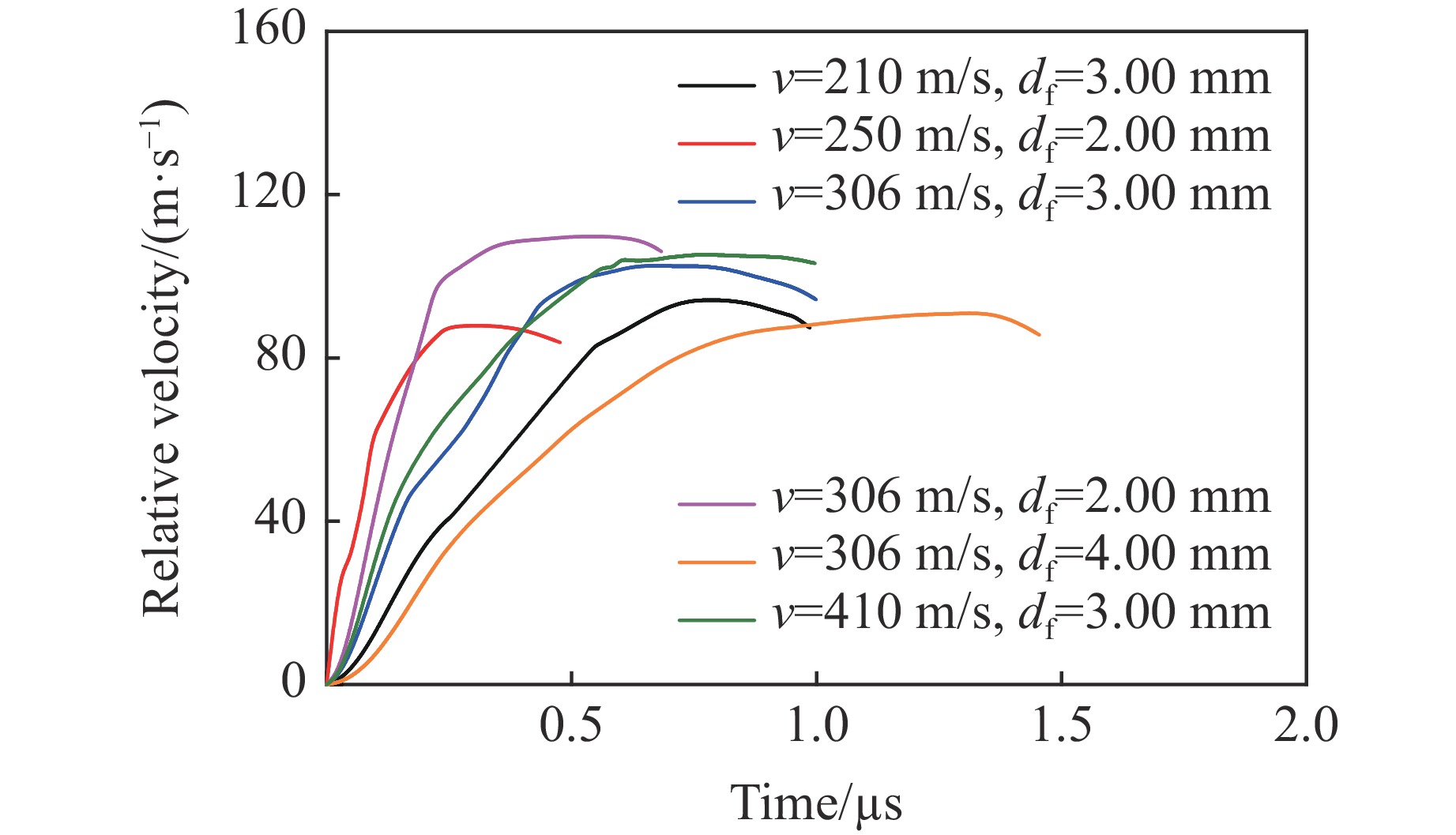
摘要:
2021, 35(2): 025202.
doi: 10.11858/gywlxb.20200626
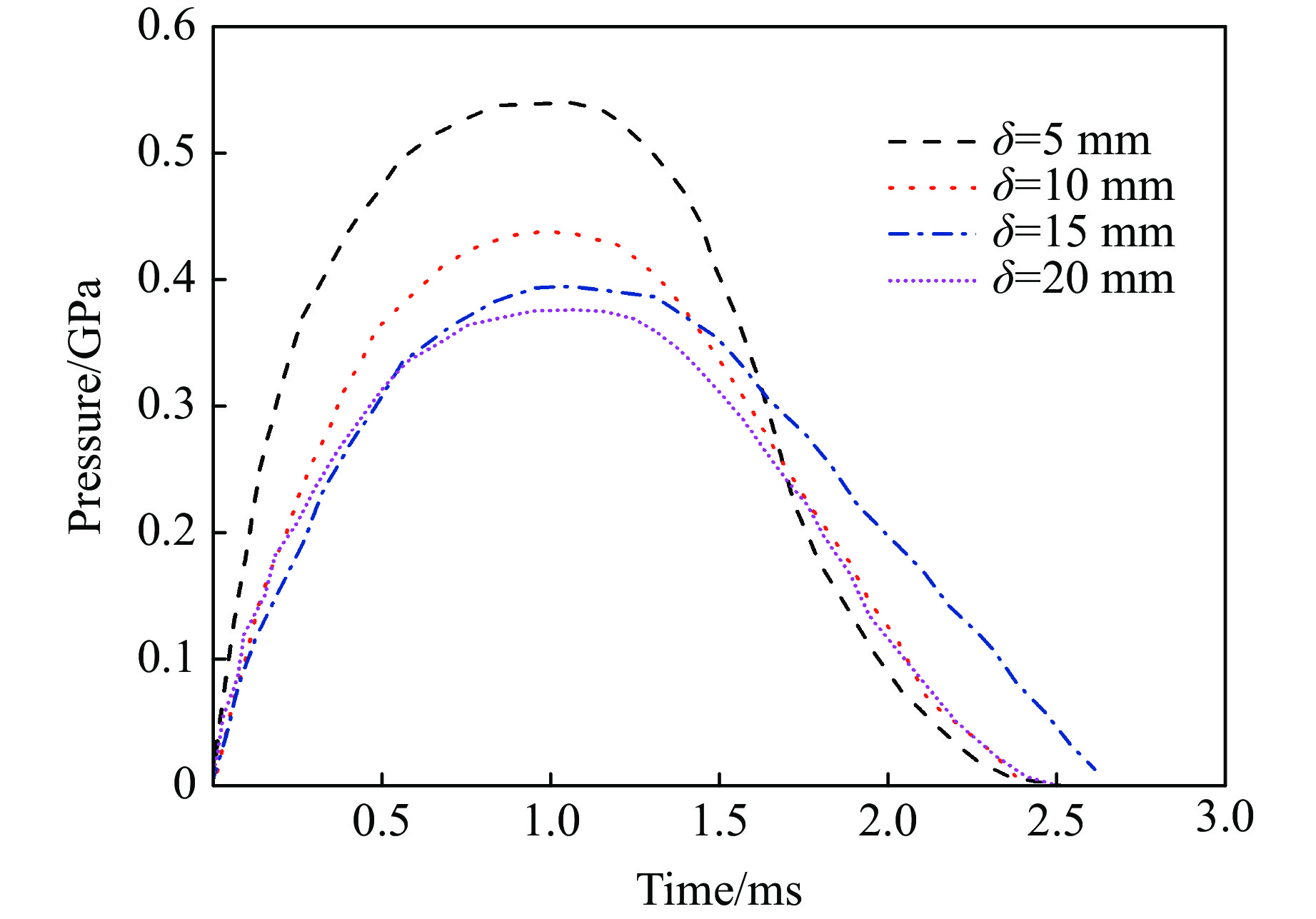
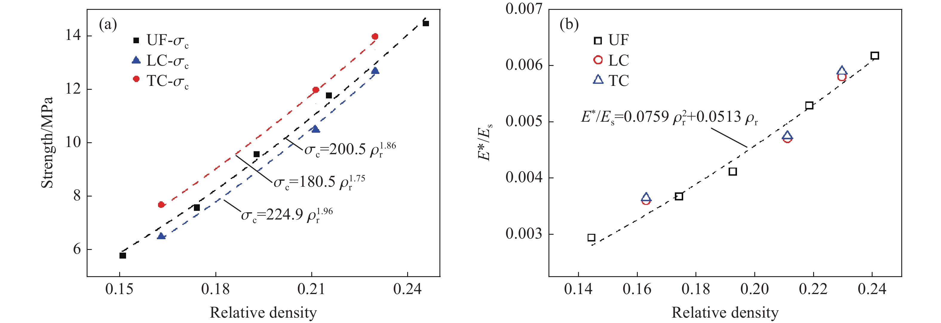
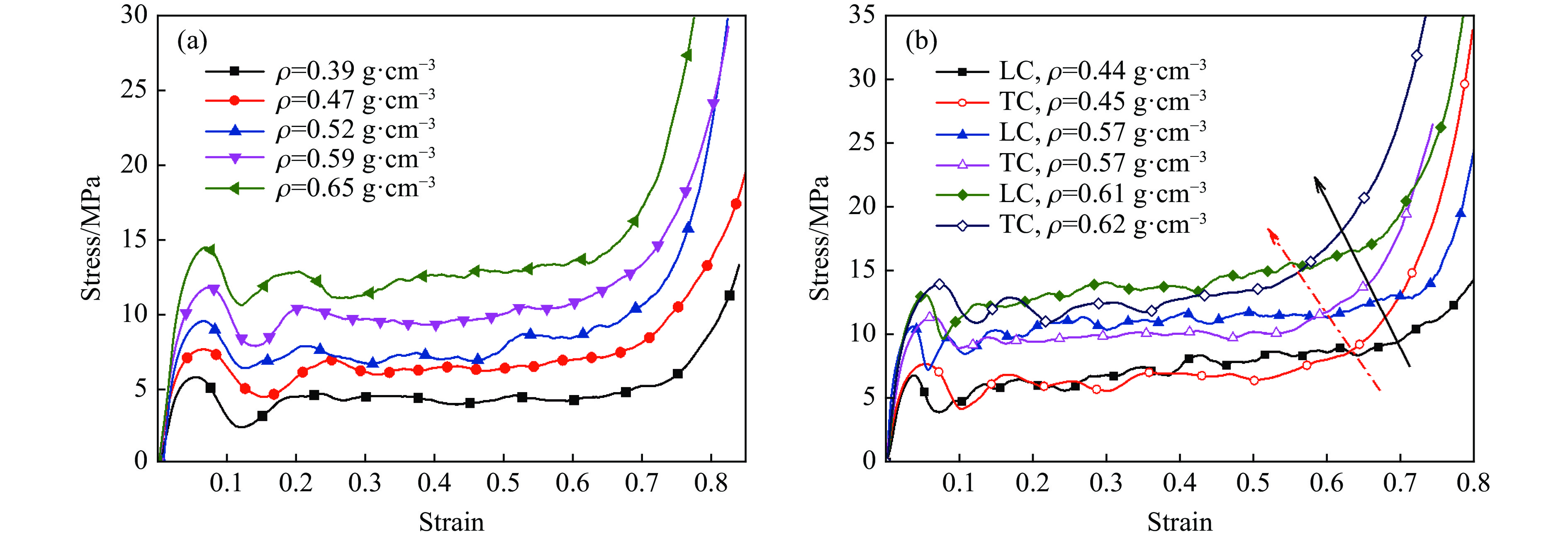
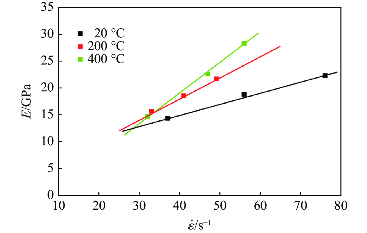
摘要:

阅读全文
PDF
引证文献








