Numerical Simulation on Damage Mechanism and Influencing Factors of JPC Shaped Charge on Liquid-Filled Defensive Structure
-
摘要: 运用ANSYS/LS_DYNA软件分析了聚能射流对充液结构的毁伤,初步获得了药型罩壁厚和材料等参数对聚能战斗部水下作用的影响特性。药型罩壁厚
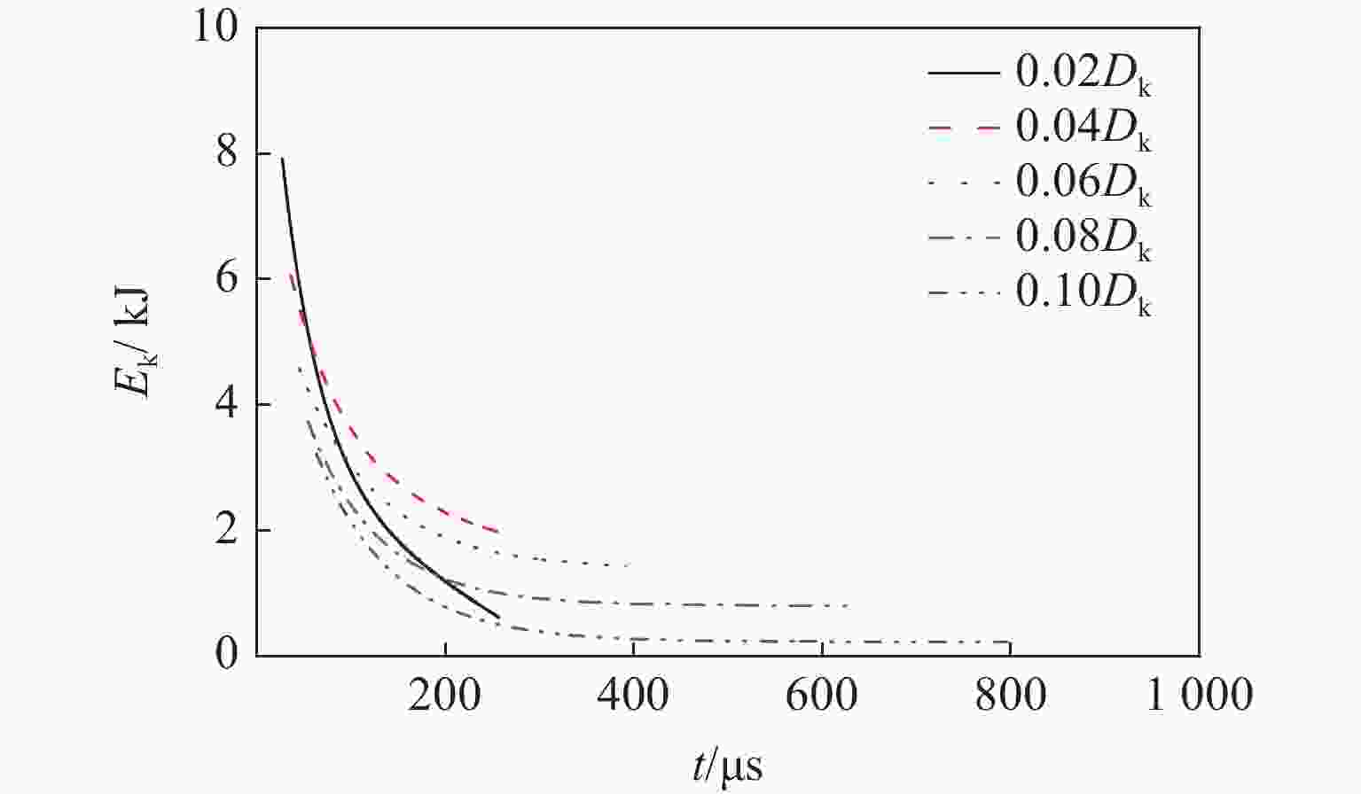
$\delta $ 在0.04Dk~0.06Dk(Dk为装药直径)之间形成的射流对充液防护结构具有较优的侵彻性能;当$\delta $ < 0.04Dk时,杆流成型结构较差,在水中的动能抗衰减性能较低;$\delta $ > 0.06Dk时,射流的初始动能低,靶后效果差。药型罩可采用纯铁、紫铜和钽3种材料,其中纯铁射流的侵彻能力最高,钽射流在水中的动能抗衰减性能最好,紫铜射流具有较好的综合性能。Abstract: The damage of shaped charge jet to liquid-filled structure was analyzed by ANSYS/LS_DYNA software.The influence of liner thickness and material parameters on the performance of shaped charge warhead under water is obtained. The thickness of liner between 0.04Dk and 0.06Dk, jetting penetrator charge (JPC) has excellent penetration performance for the liquid-filled defensive structure; When$\delta $ < 0.04Dk, the JPC forming structure is poor, and the decay rate of the kinetic energy in the water is faster.When$\delta $ > 0.06Dk, the initial kinetic energy of the JPC is low, and the effect of the after-target effect is poor; It is also illustrated that among three kinds of linear materials including iron, copper and tantalum: Pure iron JPC has the highest penetration ability; Tantalum JPC has the best water storage kinetic energey performance; Copper JPC has better overall performance. -
表 1 Comp.B炸药材料参数
Table 1. Material parameters of Comp.B
Material $\;\rho $/(g∙cm−3) D/(km∙${\rm{s} }$−1) A/GPa B/GPa R1 R2 $\omega$C pCJ/GPa Ec/(kJ∙cm−3) Comp.B 1.717 7.98 524.2 7.687 4.2 1.1 0.34 29.5 8.5 Material $\;\rho $/(g∙cm−3) C/(km∙${\rm{s} }$−1) S1 S2 S3 $\omega$m E0/(J∙kg−3) V0 Air 1.25 × 10−3 3.440 0 0 0 1.4 0 0 Water 1.02 1.647 2.56 1.986 1.2268 0.5 0 1 Material $\;\rho $/(g·cm−3) AJ-C/MPa BJ-C/MPa CJ-C n m 45 steel 7.830 350 300 0.014 0.26 1.03 Al 2.797 265 426 0.015 0.34 1.00 Fe 7.890 175 380 0.060 0.32 0.55 Cu 8.960 90 292 0.025 0.31 1.09 Ta 16.654 142 164 0.057 0.32 0.88 W 19.224 1500 180 0.016 0.12 1.00 表 4 杆流动能衰减情况
Table 4. Kinetic energy attenuation of JPC
Penetration stage Eki/kJ ΔEk/kJ Δt/$ {\text{μ}}{\rm{s}}$ Attenuation rate/( kJ·s−1) Front wall 7.60 1.00 10 105 Water 6.60 4.53 265 1.71×104 Rear wall 2.07 0.34 30 1.13×104 表 5 JPC侵彻不同壁厚防护结构的形态对比
Table 5. Comparison of the morphology of JPC after penetrating the defensive structure for different wall thicknesses
$\delta $ v0/(m·s−1) Shape of JPC Dp = 0 cm Dp = 15 cm Dp = 30 cm 0.02Dk 3503 


0.04Dk 2643 0.06Dk 2095 0.08Dk 1691 0.10Dk 1330 表 6 不同壁厚结构形成杆流的壁面穿孔直径和后效靶穿深
Table 6. Wall perforation diameter and target penetration of JPC for different wall thicknesses
$\delta $/cm Front wall
diameter/cmRear wall
diameter/cmAftereffect target
penetration depth/cm0.02Dk 0.252Dk 0.195Dk 0 0.04Dk 0.268Dk 0.146Dk 0.2Dk 0.06Dk 0.308Dk 0.206Dk 0 0.08Dk 0.656Dk 0 0 0.10Dk 1.110Dk 0 0 表 7 JPC侵彻不同材质防护结构的形态对比
Table 7. Morphological comparison of protective structures with different materials penetrated by JPC
Liner v0/(m·s–1) Shape of JPC Dp = 0 cm Dp = 15 cm Dp = 30 cm Al 4547 
Broken Broken Fe 3171 

Cu 2643 Ta 1648 W 910 表 8 不同材质结构形成杆流的壁面穿孔直径和后效靶穿深
Table 8. The wall perforation diameter and the target penetration depth of JPC formed by different material structures
Liner material Front wall
diameter/cmRear wall
diameter/cmAftereffect target
penetration depth/cmAl 0.418Dk 0 0 Fe 0.232Dk 0.098Dk 0.6Dk Cu 0.268Dk 0.146Dk 0.2Dk Ta 0.250Dk 0.162Dk 0 W 0.892Dk 0.116Dk 0 -
[1] HELD M. Verification of the equation for radial crater growth by shaped charge JPC penetration [J]. International Journal of Impact Engineering, 1995, 17(1/2/3): 387–398. doi: 10.1016/0734-743X(95)99864-N [2] HELD M, HUANG N S, JIANG D, et al. Determination of the crater radius as a function of time of a shaped charge jet that penetrates water [J]. Propellants, Explosives, Pyrotechnics, 1996, 21(2): 64–69. doi: 10.1002/prep.19960210203 [3] JU Y Y, ZHANG Q M, YANG L, et al. Analysis on EFP penetrating against water-partitioned armor [J]. Key Engineering Materials, 2013: 543–546. [4] 杨莉, 张庆明, 汪玉, 等. 反舰聚能战斗部装药结构研究 [J]. 兵工学报, 2009(Suppl 2): 154–158.YANG L, ZHANG Q M, WANG Y, et al. Research on shaped charge warhead of anti-ship missile [J]. Acta Armamentarii, 2009(Suppl 2): 154–158. [5] PEI M J, LI C B. Experimental investigation of SCRSP penetrating the compound target with water interlayer [J]. Chinese Journal of Explosives & Propellants, 2008, 31(3): 15–19. [6] 李成兵, 裴明敬, 沈兆武. 聚能杆式弹丸侵彻水夹层复合靶相似律分析 [J]. 火炸药学报, 2006, 29(6): 1–5. doi: 10.3969/j.issn.1007-7812.2006.06.001LI C B, PEI M J, SHEN Z W. Analysis of similitude law of rod-shaped projectile penetrating into compound target with water interlayer [J]. Chinese Journal of Explosives & Propellants, 2006, 29(6): 1–5. doi: 10.3969/j.issn.1007-7812.2006.06.001 [7] 史进伟, 罗兴柏, 蒋建伟, 等. 射流侵彻水夹层间隔靶的理论和实验研究 [J]. 含能材料, 2016, 24(3): 213–218. doi: 10.11943/j.issn.1006-9941.2016.03.001SHI J W, LUO X B, JIANG J W, et al. Numerical simulation and experimental study on the cratering stage of shaped charge jet penetrating into target [J]. Chinese Journal of Energetic Materials, 2016, 24(3): 213–218. doi: 10.11943/j.issn.1006-9941.2016.03.001 [8] 王长利, 周刚, 马坤, 等. 聚能装药水下爆炸冲击波载荷规律 [J]. 高压物理学报, 2017,31(4): 104–112.WANG C L, ZHOU G, MA K, et al. Shockwave characteristics of shaped charge exploded underwater [J]. Chinese Journal of High Pressure Physics, 2017,31(4): 104–112. [9] 王长利, 马坤, 周刚, 等. 防雷舱结构在聚能装药水下爆炸作用下的毁伤研究 [J]. 爆炸与冲击, 2018, 38(5): 1145–1154. doi: 10.11883/bzycj-2017-0119WANG C L, MA K, ZHOU G, et al. Damage effect of cabin near shipboard under shaped charge exploding underwater [J]. Explosion and Shock Waves, 2018, 38(5): 1145–1154. doi: 10.11883/bzycj-2017-0119 [10] 刘念念, 宋丹丹, 金辉, 等. 半球形聚能装药对复合靶板结构的毁伤数值仿真与试验研究 [J]. 振动与冲击, 2018, 37(4): 153–159.LIU N N, SONG D D, JIN H, et al. Numerical simulation and experimental study on the damage characteristics of hem-ispherical shaped charge on composite armor [J]. Journal of Vibration and Shock, 2018, 37(4): 153–159. [11] 李兵, 刘念念, 陈高杰, 等. 水中聚能战斗部毁伤双层圆柱壳的数值模拟与试验研究[J]. 兵工学报, 2018. 39(1): 38−45.LI B, LIU N N, CHEN G J, et al. Numerical simulation and experimental research on damage of shaped charge warhead to double-layer columniform shell [J]. Acta Armamentarii, 2018. 39(1): 38−45. [12] 王雅君, 李伟兵, 王晓鸣, 等. EFP水中飞行特性及侵彻间隔靶的仿真与试验研究 [J]. 含能材料, 2017, 25(6): 459–465. doi: 10.11943/j.issn.1006-9941.2017.06.003WANG Y J, LI W B, WANG X M, et al. Numerical simulation and experimental study on flight characteristics and penetration against spaced targets of EFP in water [J]. Chinese Journal of Energetic Materials, 2017, 25(6): 459–465. doi: 10.11943/j.issn.1006-9941.2017.06.003 [13] 樊雪飞, 李伟兵, 王晓鸣, 等. 药型罩材料性能参数对双模毁伤元成型的影响 [J]. 含能材料, 2017, 25(11): 888–895. doi: 10.11943/j.issn.1006-9941.2017.11.002FAN X F, LI W B, WANG X M, et al. Effects of liner's material properties on the forming of dual mode damage elements [J]. Chinese Journal of Energetic Materials, 2017, 25(11): 888–895. doi: 10.11943/j.issn.1006-9941.2017.11.002 [14] 郭腾飞, 李伟兵, 李文彬, 洪晓文. 钽罩结构参数对EFP成型及侵彻性能的控制 [J]. 高压物理学报, 2018, 32(3): 035104. doi: 10.11858/gywlxb.20170667GUO T F, LI W B, LI W B, et al. Controlling effect of tantalum liner's structural parameters on EFP formation and penetration performance [J]. Chinese Journal of High Pressure Physics, 2018, 32(3): 035104. doi: 10.11858/gywlxb.20170667 -




下载: