2021年  第35卷  第1期

202101FM 目录
2021, 35(1): .
摘要:
GYWLXBML-202101 目录
2021, 35(1): 1-2.
摘要:
压科卓青评述
高压下低维材料的光学特性调控
肖冠军, 邹勃
2021, 35(1): 010201. doi: 10.11858/gywlxb.20200644
摘要:

压力作为独立于物质温度和组分的热力学参量,为物质科学的研究和创新提供了新的维度,已成为发展新概念、创造新理论及探索新材料的重要源泉。本文主要概述了作者近年来在高压下低维材料的光学特性调控方面所取得的一些进展。通过压力改变激子结合能和卤素八面体的扭曲行为,实现了低维卤化物钙钛矿纳米材料发光从“0”到“1”的突破,提出了压力诱导发光的概念;通过引入压力效应,利用压力对纳米材料表面配体的调控,改变了表面配体与CdSe量子点的相互作用和能级耦合,促进了Hirshfeld电荷转移,从而实现了CdSe量子点的荧光大幅度增强近一个数量级;借助高压手段调控能带结构,成功实现了CdSe/CdS半导体纳米晶由准Ⅱ型核壳结构向Ⅰ型核壳结构的构型转变。上述工作加深了对发光材料在极端压缩条件下构效关系的深入理解和认识,研究成果为设计和制备具有特定功能的低维材料提供了新方法。

高压物性与结构
高压下α-石英和柯石英的相变行为
吴也, 陈星, 黄海军
2021, 35(1): 011201. doi: 10.11858/gywlxb.20200587
摘要:

利用金刚石压腔和同步辐射X射线衍射技术,对α-石英和柯石英在常温高压下的相变行为进行了研究。实验结果表明:α-石英在约23 GPa开始发生结构相变,在约44 GPa相变完成,直至59 GPa仍能观察到结晶态;柯石英在约22 GPa转变为柯石英-Ⅱ相,高于36 GPa时,继续发生结构转变,直至59 GPa仍有结晶态;氖气和氩气所提供的不同静水压条件对α-石英和柯石英的高压相变行为影响不大。实验结果为进一步厘清二氧化硅物相的压致相变行为和相变机制提供了实验支撑。

低温下碳酸盐熔体与橄榄石的二面角分布
朱峤, 刘汉永, 杨晓志
2021, 35(1): 011202. doi: 10.11858/gywlxb.20200553
摘要:

碳酸盐熔体是地球内部重要的一种流体介质,具有较硅酸盐熔体更强的物理化学活性。上地幔中少量碳酸盐熔体的出现,会显著影响其诸多地球化学和地球物理学性质,如交代元素组成、高电导异常产生等。高温高压下的实验研究是认识熔体物理化学效应的强有力途径。熔体产生的很多物理化学影响与熔体在体系中的几何分布特征有密切关系,而熔体的二面角分布是相关表征中的一个重要参数。关于碳酸盐熔体二面角(和各种物理效应)的研究往往是在超过1 200 ℃的极高温条件下开展的,其潜在的问题是熔体与体系中固态介质间的复杂反应难以避免,且极端高温下的实验难度非常大。为了克服这些问题,选择一种特殊的低熔点碳酸盐混合物作为模拟介质,在不超过700 ℃的低温下对碳酸盐熔体-橄榄石体系的颗粒边界熔体分布进行了实验研究。相关工作使用活塞圆筒压机在1 GPa条件下进行,采用扫描电镜对产物进行了检测。结果表明,产物中熔体均匀分布,颗粒边界熔体的二面角主要分布在10°~40°,其平均值为24°~27°。这意味着这种熔体具有良好的颗粒边界湿润能力,与已有关于碳酸盐熔体二面角分布的极高温实验研究具有良好的一致性。这为探究碳酸盐熔体的地球物理效应提供了一种新的模拟介质。

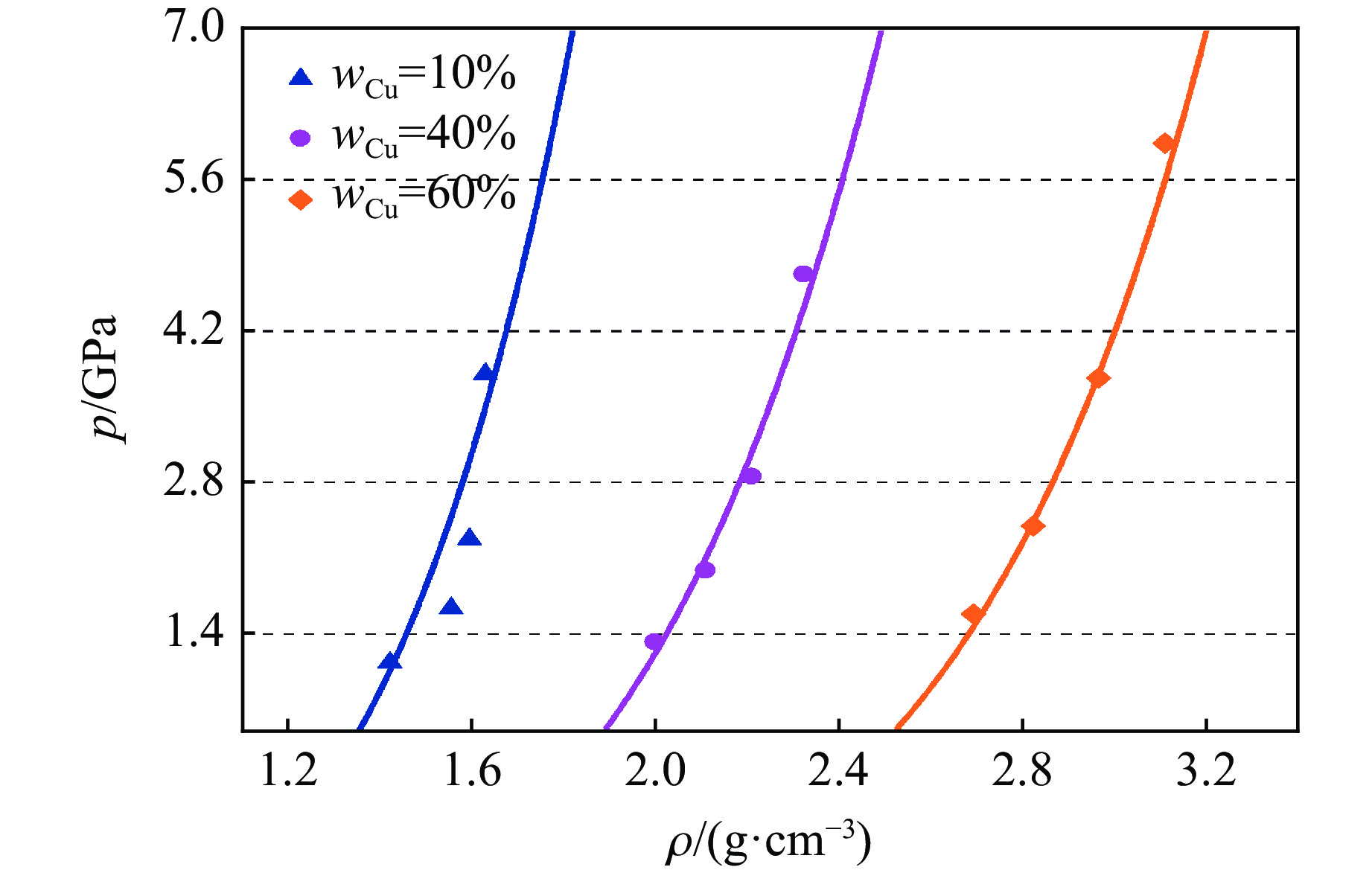
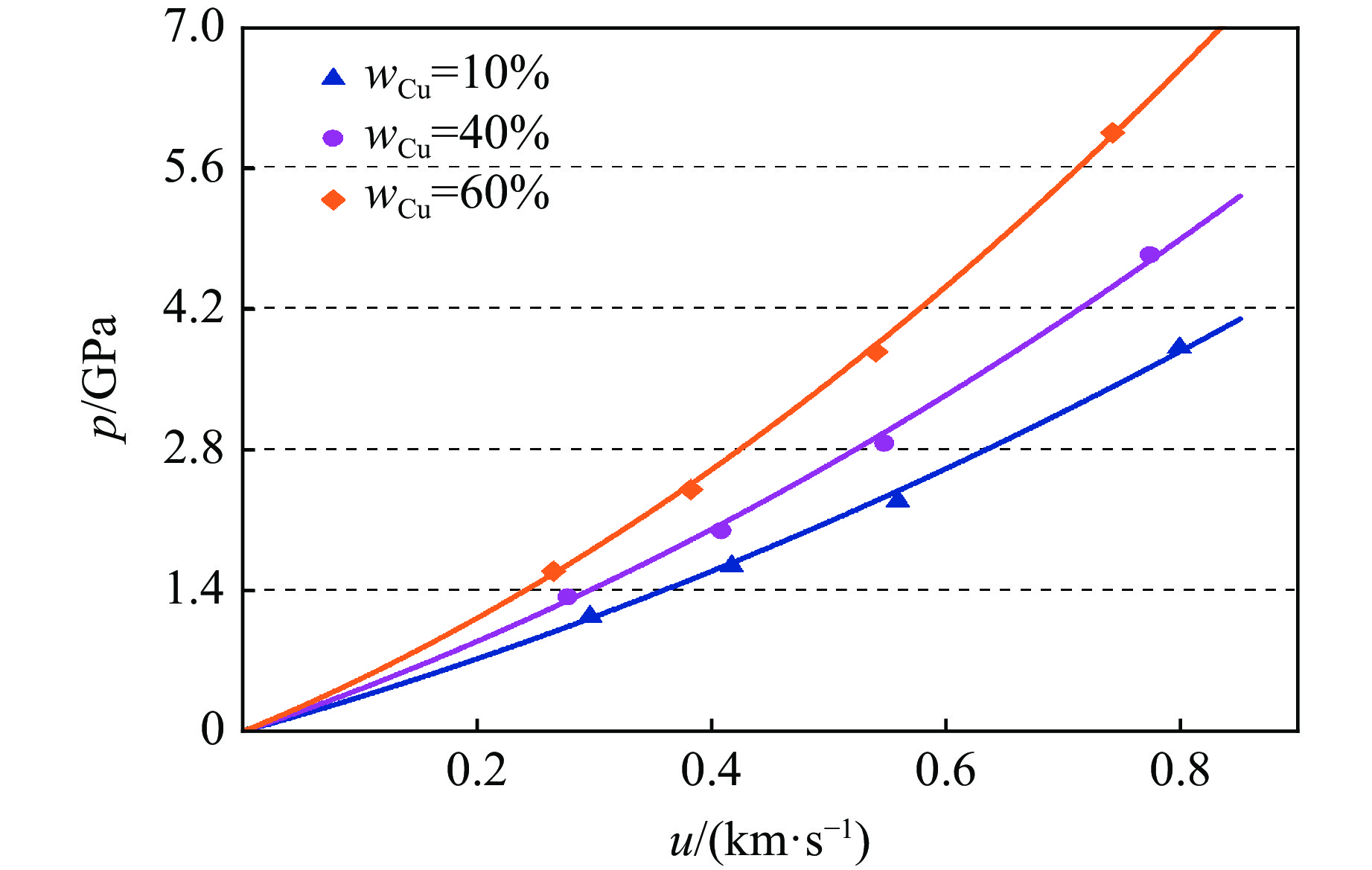
Cu/PMMA复合材料的声速与冲击响应行为
罗国强, 黄志宏, 张睿智, 孙一, 张建, 沈强
2021, 35(1): 011301. doi: 10.11858/gywlxb.20200599
摘要:

基于熔融共混法,制备了一系列不同配比且随机分散的Cu/PMMA复合材料,重点研究了Cu颗粒含量对PMMA基体声速与冲击压缩行为的影响。超声测试结果表明,随着Cu颗粒含量的增加,声波的衰减使材料的横、纵波声速皆呈缓慢下降趋势,由此使体积声速亦呈减小趋势。基于平板撞击实验,获得了冲击压力在1.1~6.0 GPa范围内各复合材料的冲击波速度-粒子速度方程。Cu/PMMA复合材料声阻抗的升高使Hugoniot参数λ逐渐增大,而零压体积声速减小,与常压体积声速所表现出的变化趋势一致。结合已有的压力-粒子速度关系模型,对各材料的压力-粒子速度曲线进行了讨论。在此基础上,归纳出一种基于上述模型的用于预测金属粒子填充聚合物基复合材料压力-密度关系的可靠方法。

高压技术
具有碳纤维材料环的超高压模具
李胜华, 李金良, 王旭之
2021, 35(1): 013301. doi: 10.11858/gywlxb.20200580
摘要:

介绍了一种使用钢环和碳纤维复合材料环共同预紧方式的两面顶超高压模具,该结构在全钢环两面顶模具的基础上,使用一层碳纤维复合材料环代替最外层钢环,得到了一种具有碳纤维复合材料环的超高压模具。这种设计避免了大直径钢环难以制造加工的问题,形成一种以钢环与复合材料环共同对压缸预紧的新型预紧方式。数值分析表明:该模具结构设计具有可行性,可以在一定程度上减小压缸的周向应力、最大剪切应力和等效应力。此外,对碳纤维复合材料环进行了失效判别。

钢丝缠绕剖分式超高压模具等张力预紧分析
刘志卫, 吴承伟, 童明俊, 朱守应
2021, 35(1): 013302. doi: 10.11858/gywlxb.20200591
摘要:

针对超高压装置大型化受限于大质量硬质合金加工困难等问题,设计了一种新型的钢丝缠绕剖分式两面顶超高压模具。该模具主要由内部的剖分式压缸和外部的预应力钢丝组成。对采用等张力钢丝缠绕模具进行了力学模型分析,并通过有限元软件对剖分式压缸和钢丝缠绕层进行研究。结果表明:加载后压缸腔体的最大等效应力出现在压缸腔体内壁;压缸腔体尺寸稳定性与钢丝缠绕层数及钢丝直径成正比;在缠绕层内部,钢丝轴向应力与钢丝直径成反比,与缠绕层数成正比。

高压下物质的动态响应
不同应变率下两种岩石的压缩破碎特征试验研究
卢振宇, 李文彬, 姚文进, 彭航
2021, 35(1): 014101. doi: 10.11858/gywlxb.20200605
摘要:

为了研究不同岩石在不同应变率下压缩时裂纹的产生规律及破坏模式,将石灰岩和红砂岩制成试件,研究其在不同应变率和受力模式下裂纹的形成模式。开展了两种岩石的准静态压缩和动态压缩试验,采用高速摄影机记录了裂纹的产生和破坏模式。对两种岩石试件的裂纹形态进行对比,基于岩石的物理性质、受力状态、能量演化分析,得到了在不同应变率下压缩时产生差异性的原因。结果表明:准静态压缩下岩石试件受压的破坏模式也会因应变率的不同而存在差异,并且破坏模式的差异对岩石试件的抗压强度将产生显著的影响;从能量演化的角度分析,入射能量的大小将会决定岩石试样动态抗压强度曲线是否出现起伏;动态压缩时,裂纹的周向扩展速度与岩石抗压强度呈正相关。

不同卸围压速率下花岗岩的力学性质及声发射特征
刘鹏飞, 郭佳奇, 范俊奇, 马兆伟
2021, 35(1): 014102. doi: 10.11858/gywlxb.20200608
摘要:

为了研究不同卸围压速率下花岗岩的力学性质,利用RMT-150B岩石力学试验系统对花岗岩试样进行恒轴压卸围压应力路径试验。试验结果表明:相同的初始围压下,随着卸围压速率增大,岩样的延性减小,表现为脆性破坏。卸围压速率越大,卸围压阶段的应变率越高,但总变形量小;当卸围压的速率相同时,初始围压越高,卸围压阶段岩样的应变率和总变形量越大。采用Mogi-Coulomb强度准则对试验结果进行拟合,结果显示:卸围压速率对花岗岩的黏聚力有劣化作用,对岩石的内摩擦角有强化作用;卸围压速率越小,振铃计数的活跃期越长,表明在低卸围压速率下,花岗岩岩样内部损伤发展缓慢且完全。

G50钢与G31钢动态力学性能的对比试验研究
孔庆强, 沈飞, 邢逸凡, 吕永柱, 曹玉武
2021, 35(1): 014103. doi: 10.11858/gywlxb.20200569
摘要:

采用拉伸、冲击、霍普金森杆压缩及所设计的爆轰加载试验方法,对比研究了G50钢与G31钢在准静态、动态及爆轰加载条件下的力学性能。试验结果表明:G50钢和G31钢在准静态、103 s−1应变率下的动态力学性能相近;在爆轰加载条件下,G50钢和G31钢试样发生了近乎相同的破坏形态,说明在超高压及超高应变率条件下两种材料具有相近的屈服强度和抗拉强度。研究结果表明,G31钢与G50钢有相似的力学性能,在侵彻战斗部壳体方面可做进一步的应用尝试。

99氧化铝陶瓷在不同应变率下的破碎特性
赵兵, 李丹, 赵锋, 胡秋实
2021, 35(1): 014104. doi: 10.11858/gywlxb.20200606
摘要:

开展了99氧化铝陶瓷在不同应变率下的轴向压缩实验,通过对相应应变率下的试件碎片进行软回收,并结合筛余法对碎片进行几何表征,获得了不同应变率下的碎片尺寸分布曲线和试件破坏的能量吸收过程,建立了颗粒陶瓷的外力功与相对破碎率之间的关系。采用数字图像相关(Digital image correlation, DIC)技术获取了不同应变率下沿加载方向的应变场,并结合能量吸收过程和碎片级配表现分析了破坏模式。实验结果表明:99氧化铝陶瓷的破坏强度与应变率呈正相关,在中应变率下,能量吸收率与应变率呈负相关,由于能量吸收机制的改变,样品初始为劈裂破坏;当应变率达到401 s−1时,破坏模式变为劈裂-粉碎混合破坏;随着应变率继续增大,试件变为粉碎破坏,颗粒平均粒径减小,碎片尺寸趋同,应力集中的影响逐渐减弱。分析了能量、破坏过程、碎片分布之间的关系,最终获得了碎片分布规律以及破碎特性。

内爆荷载作用下PC箱梁桥的动态响应过程
杨赞, 韩国振, 严波, 刘飞
2021, 35(1): 014201. doi: 10.11858/gywlxb.20200585
摘要:

采用三阶段连续耦合有限元方法,对预应力钢筋砼(Prestressed reinforced concrete,PC)箱梁桥在内爆荷载作用下的动态响应过程进行了数值模拟,综合考虑了结构自重和预应力的影响,得到了PC箱梁桥局部和整体的破坏模式,并分析了破坏机理。结果表明:三阶段连续耦合有限元方法再现了PC箱梁桥局部破坏导致整体垮塌的物理过程;初始应力阶段,PC箱梁桥应力施加符合工程实际;局部响应阶段,腹板与顶板连接部位产生裂缝,顶板与底板在中央位置形成破口;整体响应阶段,在重力和预应力的作用下,箱梁桥先向上起拱,后向下垮塌,最终发生弯曲破坏。

强冲击载荷下边界对固支方板的毁伤破坏试验
朱文睿, 伍星星, 刘建湖, 汪俊, 赵延杰, 李天然
2021, 35(1): 014202. doi: 10.11858/gywlxb.20200565
摘要:

冲击载荷作用下边界条件对方板的毁伤破坏具有很大影响。利用落锤试验机开展了不同边界支撑下固支方板的冲击试验,为获取固支方板边界撕裂的典型破坏模式,专门设计加工了与固支方板尺寸相当的冲击锤头和可改变倒角的方板支撑框架。研究结果表明:(1)冲击载荷作用下,固支方板呈现出塑性大变形、单边撕裂、双边撕裂等典型破坏模式,倒角越小,方板越容易撕裂;(2)边界支撑对固支方板中心位移、整体变形轮廓影响较小,但对方板的撕裂长度、临界撕裂阈值存在较大影响;(3)不同边界支撑主要改变方板边界处的剪切应变,边界支撑倒角越小,剪切效果越明显,方板边界临界撕裂应变位于[0.191,0.241]区间。

高压科学应用
起爆方式对复合战斗部毁伤输出的影响
周唯潇, 王雅君, 于佳鑫, 朱新元, 李伟兵
2021, 35(1): 015101. doi: 10.11858/gywlxb.20200593
摘要:

为了进一步提高复合战斗部的毁伤输出效率,基于一种可形成聚能侵彻体、预制破片和自然破片3种毁伤元的破甲杀伤复合战斗部结构,应用LS-DYNA数值仿真软件,研究了起爆点位置、起爆直径和起爆点数量对复合战斗部各毁伤元成型和能量输出的影响,讨论了实现战斗部毁伤威力可调的技术路径。结果表明:起爆点距药型罩越远、数量越多、起爆直径越大,由药型罩形成的聚能侵彻体的头部速度越高,头尾速度差和长径比越大,速度增益最高可达50%,可以实现爆炸成型弹丸(EFP)到聚能杆式侵彻体(JPC)转换;在装药内部轴线阵列多点起爆时,聚能侵彻体的成型基本仅与离药型罩最近的起爆点有关。对于预制破片,装药高度60 mm(P2)处起爆速度最快,增加起爆点数量和增大起爆直径可以有效提高预制破片的最高速度,但整体上最低速度仍在600 m/s上下波动,变化并不显著。对于壳体形成的自然破片,以平均速度来表征时,整体变化并不明显,速度增益不足10%,但合理的起爆方式可使壳体断裂形成的自然破片更均匀,有利于调整破片质量分布。通过控制起爆方式可在一定程度上实现复合战斗部毁伤威力可调,但对于破片速度的调控仍需进一步研究。

基于FLACS的某城市燃气储配站气云爆炸安全评估
刘洋, 李展, 张亚栋, 陈力, 方秦
2021, 35(1): 015201. doi: 10.11858/gywlxb.20200595
摘要:

随着城市的发展,位于城市边缘的燃气储配站逐渐转移到了城市中心,而储配站存在燃气泄漏爆炸的可能,给城市公共安全带来潜在的风险。基于GIS技术建立了南京某燃气储配站所在区域的几何模型,导入FLACS软件进行甲烷气云爆炸数值模拟,研究了储配站气云爆炸发展过程与荷载分布规律,讨论了气云大小、点火位置以及气云位置对爆炸超压的影响,最后根据模拟结果划出爆炸损伤范围。结果表明:将GIS技术应用于FLACS模型建立可以大大缩短建模时间并提高模型精度;当气云尺寸不小于60 m且点火位置存在明显约束或障碍时,点火后可能产生爆燃;气云位于储罐西南侧时将造成大范围的人员轻伤和建筑物轻微损坏,并造成一定范围的人员重伤和建筑物的严重损坏;为避免气云爆炸产生严重后果,储配站附近应尽量减少高大密集的建筑群。

浅埋三舱管廊甲烷爆炸的地面响应规律
王桂林, 欧阳啸天, 翟俊, 孙帆
2021, 35(1): 015202. doi: 10.11858/gywlxb.20200616
摘要:

地下综合管廊可燃性气体爆炸事故时有发生,给地面人员的生命和财产造成了巨大损失。依托重庆市某地下综合管廊试点工程,基于物质点法,采用点火增长模型模拟浅埋管廊泄漏甲烷气体爆炸冲击管廊本体结构和围岩的过程,研究爆炸作用下地面压强与位移的响应特性。研究发现:泄爆作用下管廊及围岩会出现因接触面反射和折射产生的次生应力波,管廊横向方向次生波振幅随距起爆点水平距离的增大而增大,而管廊纵向方向产生的次生波振幅较小,且随距离增大变化较小;爆炸作用造成整体地面沉降,但在起爆点中心附近地面隆起,这种隆起由管廊本体结构破裂,气体直接冲击岩土体形成的剧烈隆起和管廊整体震动形成的轻微隆起两部分组成。

贴片晶振在冲击环境下的损伤边界
罗凯文, LI Q. M.
2021, 35(1): 015301. doi: 10.11858/gywlxb.20200572
摘要:

贴片式石英晶体振荡器广泛应用于各类电子和通信设备系统中。针对晶振在冲击环境中容易出现结构破坏而导致系统工作异常的问题,通过分析单自由度系统在不同频率冲击载荷作用下的响应特点,建立了结构的应力响应水平与相关冲击响应谱谱值之间的联系,获得了较已有结论更合理的损伤边界形式。根据典型晶振结构易损组件的力学特性建立对应的简化分析模型,得到了贴片晶振在大频率范围内的结构损伤边界。利用有限元仿真软件,对晶振结构在0.5~30 kHz频率范围内冲击载荷下的响应进行仿真分析,验证了该损伤边界的有效性。这也为以贴片晶振为代表的微小元器件在冲击环境下的可靠性研究提供了一种可行的方法。

大长径比熔铸装药热芯棒凝固工艺优化仿真
岳晓媛, 张会锁, 韩雪莲, 刘红利, 王彦杰, 刘恒著, 刘鹏飞, 曹红松
2021, 35(1): 015302. doi: 10.11858/gywlxb.20200592
摘要:

为提高大长径比战斗部的熔铸装药质量,采用有限元仿真方法建立了三维装药模型,对熔铸装药过程进行数值模拟。通过分析传统铸装和热芯棒工艺铸装的仿真结果,结合缩孔形成原因和传统热芯棒工艺对装药质量的改善机理,设计出一种多层次优化温度控制的热芯棒,并对改良热芯棒工艺铸装过程进行数值模拟,预测热芯棒改良工艺对装药质量的影响。结果表明:传统热芯棒铸装工艺无法改变药柱径向凝固顺序,在药室宽大处仍然会出现缩孔缩松的疵病,而改良热芯棒工艺通过改善药柱凝固顺序,可以预防缩孔缩松出现,达到了预期要求。