梯度泡沫铝的各向异性压溃力学行为

张冰冰 薛仲卿 雷英春 张西珠 范志强

张冰冰, 薛仲卿, 雷英春, 张西珠, 范志强. 梯度泡沫铝的各向异性压溃力学行为[J]. 高压物理学报, 2021, 35(2): 024101. doi: 10.11858/gywlxb.20200618
引用本文: 张冰冰, 薛仲卿, 雷英春, 张西珠, 范志强. 梯度泡沫铝的各向异性压溃力学行为[J]. 高压物理学报, 2021, 35(2): 024101. doi: 10.11858/gywlxb.20200618
ZHANG Bingbing, XUE Zhongqing, LEI Yingchun, ZHANG Xizhu, FAN Zhiqiang. Study on Anisotropic Crushing Behavior of the Functionally Gradient Aluminum Foam[J]. Chinese Journal of High Pressure Physics, 2021, 35(2): 024101. doi: 10.11858/gywlxb.20200618
Citation: ZHANG Bingbing, XUE Zhongqing, LEI Yingchun, ZHANG Xizhu, FAN Zhiqiang. Study on Anisotropic Crushing Behavior of the Functionally Gradient Aluminum Foam[J]. Chinese Journal of High Pressure Physics, 2021, 35(2): 024101. doi: 10.11858/gywlxb.20200618

梯度泡沫铝的各向异性压溃力学行为

doi: 10.11858/gywlxb.20200618
基金项目: 国家自然科学基金(11602233);山西省高校科技创新项目(2020-657,2019-520);山西省自然科学基金(201701D221018)
详细信息
    作者简介:

    张冰冰(1989-),女,博士,讲师,主要从事多孔材料力学性能研究. E-mail:bbzhang1989@163.com

  • 中图分类号: O347.3;TB34

Study on Anisotropic Crushing Behavior of the Functionally Gradient Aluminum Foam

  • 摘要: 功能梯度泡沫金属因其密度连续变化,在轴向受压时可提供稳定增长的反馈载荷。然而当前研究多局限于其纵向压缩力学响应,考虑到实际应用中可能出现的横向冲击,基于低速冲击实验,考察梯度泡沫铝轴向和横向压缩力学响应的异同,并采用数字图像相关技术和数值模拟方法研究其宏细观压溃机制。结果表明:(1)在力学性能上,相比于纵向压缩加载的梯度泡沫铝,横向压缩加载下具有更高的抗压强度,而平台应力、致密化应变和能量吸收效果低于纵向压缩;(2)在失效变形模式上,纵向压缩变形模式为变形带渐进式压缩,而横向压缩变形模式的变形带则随机出现在试样的各个位置;(3)横向压缩下梯度泡沫铝致密化应变和比吸能的减小是由高孔隙率区的胞孔利用率降低导致的;(4)构建的弹性-塑性硬化-刚性模型能够较准确地描述梯度泡沫铝的纵向压缩力学行为。研究结果可为梯度泡沫金属在爆炸冲击结构防护工程中的设计提供理论参考。

     

  • 图  梯度泡沫铝和各向异性压缩测试试样

    Figure  1.  Functionally gradient aluminum foam specimens and anisotropic compression tests

    图  均匀密度泡沫铝(a)、LC和TC(b)准静态压缩响应

    Figure  2.  Typical compressive response of uniform density aluminum foams (a), LC and TC (b) under quasi-static compression

    图  LC和TC的落锤冲击力学响应

    Figure  3.  Mechanical response of LC and TC under drop-weight tests

    图  3种泡沫的压缩强度(a)和相对弹性模量(b)随相对密度的变化

    Figure  4.  Variation trends of strength (a) and relative elastic modulus (b) with relative density for three types of foams

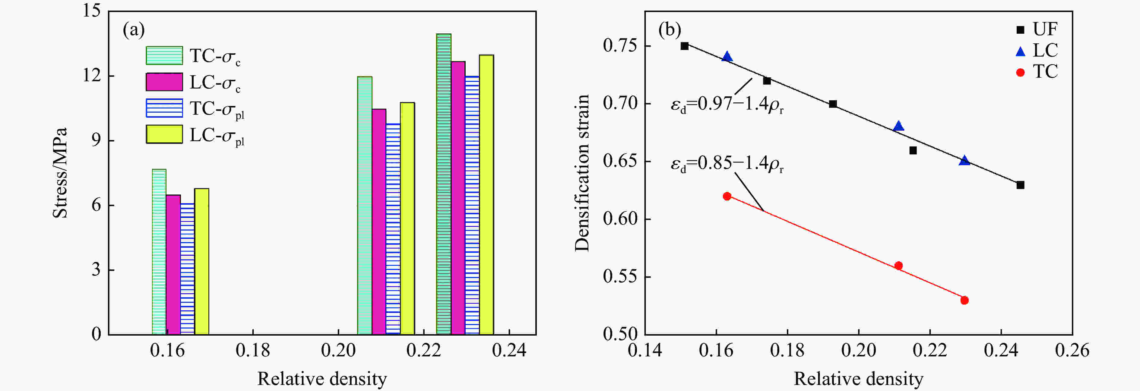
    图  3种泡沫的力学特性(a)和致密化应变(b)对比

    Figure  5.  Comparison of mechanical properties (a) and densification strain (b) for three types of aluminum foams

    图  LC(a–d)和TC(e–f)试样准静态压缩典型力学行为

    Figure  6.  Typical quasi-static compression deformation behavior of LC (a–d) and TC (e–f) specimens

    图  落锤冲击下LC试样变形行为(a–d)和应变场(e–h)

    Figure  7.  Deformation (a–d) and strain fields (e–h) of LC specimen under drop-weight impact

    图  落锤冲击TC试样变形行为(a–c)和应变场(d–f)

    Figure  8.  Deformation (a–c) and strain fields (d–f) of TC specimen under drop-weight impact

    图  泡沫铝的有限元模型

    Figure  9.  Finite element model of aluminum foam

    图  10  数值模拟LC和TC的变形行为

    Figure  10.  Numerical simulation of deformation behavior for LC and TC samples

    图  11  LC分层模型(a)及实验与模型分析结果对比(b)

    Figure  11.  Illustration of a layerd model of LC sample (a) and compression response comparison between the experiment and the model (b)

  • [1] 刘姗姗, 刘亚军, 张英杰, 等. 碳纤维-泡沫铝夹芯板低速冲击响应 [J]. 高压物理学报, 2020, 34(3): 034202.

    LIU S S, LIU Y J, ZHANG Y J, et al. Low-velocity impact response of carbon fiber-aluminum foam sandwich plate [J]. Chinese Journal of High Pressure Physics, 2020, 34(3): 034202.
    [2] 王永欢, 徐鹏, 范志强, 等. 球形孔开孔泡沫铝的力学特性及准静态压缩变形机制 [J]. 高压物理学报, 2019, 33(1): 014201.

    WANG Y H, XU P, FAN Z Q, et al. Mechanical characteristics and quasi-static compression deformation mechanism of open-cell aluminum foam with spherical cells [J]. Chinese Journal of High Pressure Physics, 2019, 33(1): 014201.
    [3] 张国栋, 李翔宇, 梁民族, 等. 内部爆炸载荷下泡沫铝夹心柱壳动态响应仿真研究 [J]. 高压物理学报, 2018, 32(2): 024101.

    ZHANG G D, LI X Y, LIANG M Z, et al. Dynamic response of sandwich cylinders cored with aluminum foam under internal blast loading [J]. Chinese Journal of High Pressure Physics, 2018, 32(2): 024101.
    [4] HE S, ZHANG Y, DAI G, et al. Preparation of density-graded aluminum foam [J]. Materials Science and Engineering: A, 2014, 618: 496–499. doi: 10.1016/j.msea.2014.08.087
    [5] 杨旭东, 成莹, 郑远兴, 等. 梯度泡沫铝的制备及力学性能研究进展 [J]. 热加工工艺, 2019, 48(12): 16–20.

    YANG X D, CHENG Y, ZHENG Y X, et al. Research development of preparation and mechanical properties of graded aluminum foam [J]. Hot Working Technology, 2019, 48(12): 16–20.
    [6] HANGAI Y, MORITA T, UTSUNOMIYA T. Functionally graded aluminum foam consisting of dissimilar aluminum alloys fabricated by sintering and dissolution process [J]. Materials Science and Engineering A, 2017, 696: 544–551. doi: 10.1016/j.msea.2017.04.070
    [7] XIA Y, WU C, LIU Z X, et al. Protective effect of graded density aluminum foam on RC slab under blast loading—an experimental study [J]. Construction and Building Materials, 2018, 111: 209–222.
    [8] 曹娇. 功能密度梯度泡沫铝及其填充结构的吸能性能研究[D]. 长沙: 湖南大学, 2015.

    CAO J. Study on crashworthiness of functionally graded density aluminum foam-filled tapered thin-walled structures [D]. Changsha: Hunan University, 2015.
    [9] ZHANG B, HU S, FAN Z. Anisotropic compressive behavior of functionally density graded aluminum foam prepared by controlled melt foaming process [J]. Materials, 2018, 11: 2470–2480. doi: 10.3390/ma11122470
    [10] AMSTERDAM E, HOSSON J T M D, ONCK P R. On the plastic collapse stress of open-cell aluminum foam [J]. Scripta Materialia, 2008, 59(6): 653–656. doi: 10.1016/j.scriptamat.2008.05.025
    [11] GIBSON L J, ASHBY M F. Cellular solids : structure and properties [M]. Cambridge, UK: Cambridge University Press, 1997.
    [12] MU Y, YAO G. Anisotropic compressive behavior of closed-cell Al–Si alloy foams [J]. Materials Science and Engineering: A, 2010, 527: 1117–1119. doi: 10.1016/j.msea.2009.09.045
    [13] FAN Z, ZHANG B, GAO Y, et al. Deformation mechanisms of spherical cell porous aluminum under quasi-static compression [J]. Scripta Materialia, 2018, 142: 32–35. doi: 10.1016/j.scriptamat.2017.08.019
    [14] AMSTERDAM E, HOSSON J T M, et al. Failure mechanisms of closed-cell aluminum foam under monotonic and cyclic loading [J]. Acta Materialia, 2006, 54: 4465–4472. doi: 10.1016/j.actamat.2006.05.033
  • 加载中
图(11)
计量
  • 文章访问数:  5588
  • HTML全文浏览量:  2121
  • PDF下载量:  35
出版历程
  • 收稿日期:  2020-09-24
  • 修回日期:  2020-10-24

目录

    /

    返回文章
    返回