Dynamic Responses and Cumulative Damage of the Underground Cavern under Cyclic Explosion
-
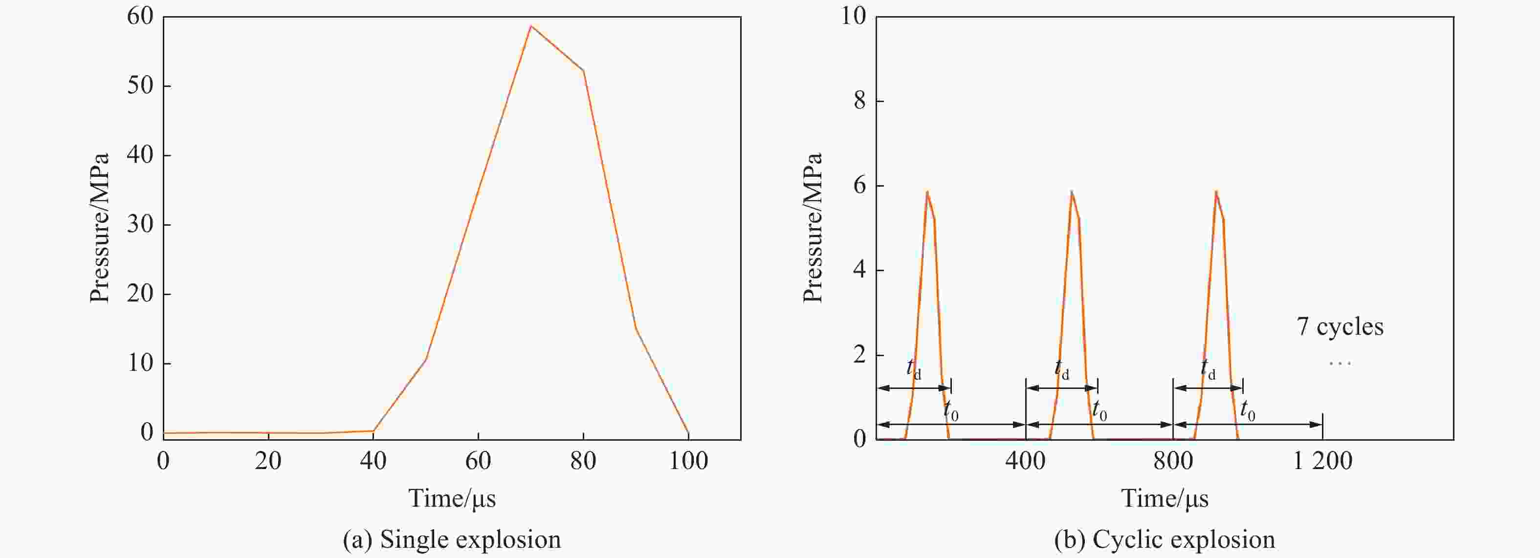
摘要: 为研究循环爆炸对地下洞室的影响,基于相似模型试验,采用通用有限元软件ABAQUS对比研究了洞室拱顶高水平单次爆炸和低水平10次循环爆炸作用下地下洞室围岩的应力波衰减规律、损伤累积规律及洞壁位移和环向应变分布特征。结果表明:循环爆炸中,洞室围岩的应力波衰减速度随着爆炸次数的增加先减小后增大。单次爆炸中,洞壁环向峰值应变从拱顶至直墙脚由拉应变转为压应变;循环爆炸中,随着爆炸次数的增加,拱顶环向峰值应变由压应变转为拉应变。爆炸荷载总水平相同时,低水平循环爆炸中洞室围岩的损伤面积和程度比高水平单次爆炸大。循环爆炸中,围岩的损伤累积呈现不可逆的逐级增加趋势,且累积损伤和爆炸次数之间呈明显的非线性关系。Abstract: To assess the effect of cyclic explosion on underground caverns, based on a similarity model test, the finite element software ABAQUS was utilized to analyze the dynamic responses and cumulative damage of underground caverns under cyclic explosion at low levels and a single explosion at high level. The stress wave attenuation characteristics and the cumulative damage evolution laws of the surrounding rock were presented. Besides, the displacement of the vault and the circumferential strain of the cavern wall were compared and analyzed. The results indicate that, with the increase of explosion times, the stress wave attenuation speed of the surrounding rock under cyclic explosion decreases first and then increases. In the single explosion, the peak circumferential strain of the cavern walls changes from tensile strain to compressive strain from the vault to corner. In the cyclic explosion, the peak circumferential strain of the vault changes with the increase of explosion times from compressive strain to tensile strain. Under the same explosion loading in total, the damage of the surrounding rock is greater in the low-level cyclic explosion than that in the high-level single explosion in terms of area and degree. In addition, the cumulative damage of surrounding rock under cyclic explosion presents an irreversible and step-by-step increase, and shows a dramatic nonlinear relationship with explosion times.
-
Key words:
- underground cavern /
- cyclic explosion /
- dynamic responses /
- cumulative damage /
- numerical analysis
-
表 1 CDP模型相关参数
Table 1. Parameters of the CDP model
Density of concrete/(kg·m−3) E/GPa $\;\mu $ Dilation angle /(°) Eccentricity ${{{\sigma _{{\rm{b}}0}}} / {{\sigma _{{\rm{c}}0}}}}$ Kc Viscosity parameter 1800 2.03 0.16 25 0.1 1.16 0.6667 0 -
[1] 孙钧. 国内外城市地下空间资源开发利用的发展和问题 [J]. 隧道建设, 2019, 39(5): 699–709.SUN J. Development and some issues on exploitation and utilization of urban underground space in China and abroad [J]. Tunnel Construction, 2019, 39(5): 699–709. [2] CLANCY T. Fighter wing [M]. Harper Collins: London, UK, 1995: 154-156. [3] RAMULU M, CHAKRABORTY A K, SITHARAMT G. Damage assessment of basaltic rock mass due to repeated blasting in a railway tunnelling project-a case study [J]. Tunnelling and Underground Space Technology, 2009, 24(2): 208–221. doi: 10.1016/j.tust.2008.08.002 [4] 章毅, 方秦, 陈力, 等. 多次爆炸荷载作用下梁的抗爆性能分析 [J]. 兵工学报, 2009, 30(Suppl 2): 182–187.ZHANG Y, FANG Q, CHEN L, et al. Blast-resistant properties of reinforced concrete and steel beams subjected to multiple blast loads [J]. Acta Armamentarii, 2009, 30(Suppl 2): 182–187. [5] 张斐, 张春辉, 张磊, 等. 多次水下爆炸作用下钢板与焊接钢板冲击损伤特性 [J]. 振动与冲击, 2020, 39(7): 196–201.ZHANG F, ZHANG C H, ZHANG L, et al. Impact damage of steel plate and welding steel plate under multiple underwater explosions [J]. Journal of Vibration and Shock, 2020, 39(7): 196–201. [6] CHU H B, YANG X L, LI S J, et al. Experimental study on the blasting-vibration safety standard for young concrete based on the damage accumulation effect [J]. Construction and Building Materials, 2019, 217(30): 20–27. [7] 杨建华, 吴泽南, 姚池, 等. 地下洞室爆破开挖诱发围岩损伤特性及PPV阈值研究 [J]. 振动与冲击, 2019, 38(2): 131–139.YANG J H, WU Z N, YAO C, et al. Characteristics and PPV thresholds of rock damages under underground blasting excavation [J]. Journal of Vibration and Shock, 2019, 38(2): 131–139. [8] 闫长斌, 徐国元, 杨飞. 爆破动荷载作用下围岩累积损伤效应声波测试研究 [J]. 岩土工程学报, 2007(1): 88–93.YAN C B, XU G Y, YANG F. Measurement of sound waves to study cumulative damage effect on surrounding rock under blasting load [J]. Chinese Journal of Geotechnical Engineering, 2007(1): 88–93. [9] 颜峰, 姜福兴. 爆炸冲击载荷作用下岩石的损伤实验 [J]. 爆炸与冲击, 2009, 29(3): 275–280.YAN F, JIANG F X. Experiment on rock damage under blasting load [J]. Explosion and Shock Waves, 2009, 29(3): 275–280. [10] 潘城, 赵光明, 孟祥瑞. 爆炸荷载作用下围岩累积损伤效应的数值分析 [J]. 爆破, 2016, 33(1): 30–33.PAN C, ZHAO G M, MENG X R. Numerical analysis of surrounding rock cumulative damage under explosion loading [J]. Blasting, 2016, 33(1): 30–33. [11] 李允忠, 王志亮, 黄佑鹏, 等. 循环爆破载荷下岩石累积损伤效应研究 [J]. 爆破, 2019, 36(2): 47–53.LI Y Z, WANG Z L, HUANG Y P, et al. Numerical study of cumulative damage effect of rock under cyclic blast loading [J]. Blasting, 2019, 36(2): 47–53. [12] 顾金才, 陈安敏, 徐景茂, 等. 在爆炸荷载条件下锚固洞室破坏形态对比试验研究 [J]. 岩石力学与工程学报, 2008, 27(7): 1315–1320.GU J C, CHEN A M, XU J M, et al. Model test study of failure patterns of anchored tunnel [J]. Chinese Journal of Rock Mechanics and Engineering, 2008, 27(7): 1315–1320. [13] CHANG X, WANG G Y, TANG C N, et al. Dynamic behavior of cement-mortar cavern reinforced by bars [J]. Engineering Failure Analysis, 2015, 55: 343–354. doi: 10.1016/j.engfailanal.2015.07.020 [14] 王光勇, 曹安生, 余锐, 等. 顶爆和拱腰侧爆同时作用下锚固洞室的动态响应 [J]. 高压物理学报, 2020, 34(2): 025202.WANG G Y, CAO A S, YU R, et al. Dynamic response of anchorage chamber under simultaneous explosion load from top and side of arch [J]. Chinese Journal of High Pressure Physics, 2020, 34(2): 025202. [15] 王光勇, 顾金才, 陈安敏, 等. 拱顶端部加密锚杆支护洞室抗爆加固效果模型试验研究 [J]. 岩土工程学报, 2009, 31(3): 378–383.WANG G Y, GU J C, CHEN A M, et al. Model tests on anti-explosion anchoring effect of tunnels reinforced by dense bolts at arch top [J]. Chinese Journal of Geotechnical Engineering, 2009, 31(3): 378–383. [16] LEE J, FENVES G L. Plastic-damage model for cyclic loading of concrete structures [J]. Journal of Engineering Mechanics, 1998, 124(8): 892–900. doi: 10.1061/(ASCE)0733-9399(1998)124:8(892) [17] 美国陆军工程兵水道试验站. 常规武器防护设计原理[M]. 南京: 解放军工程兵工程学院, 1997: 40−66.US Army Engineers Waterways Experimental Station. Fundamental of protective design for conventional weapons [M]. Nanjing: PLA Engineering College, 1997: 40−66. -

下载: