Damage Evolution Equation of Concrete Materials at High Temperatures and High Strain Rates
-
摘要: 采用
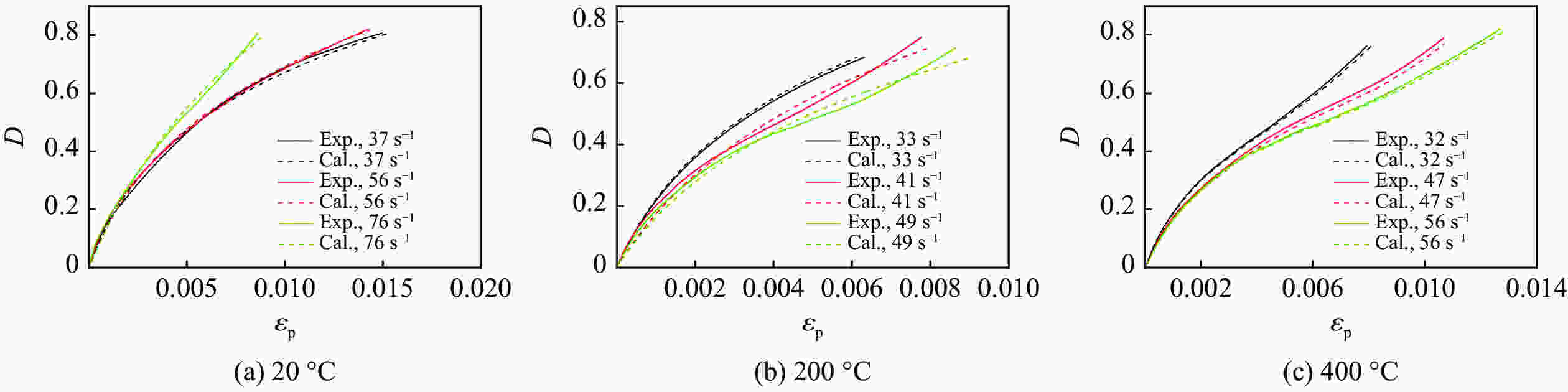
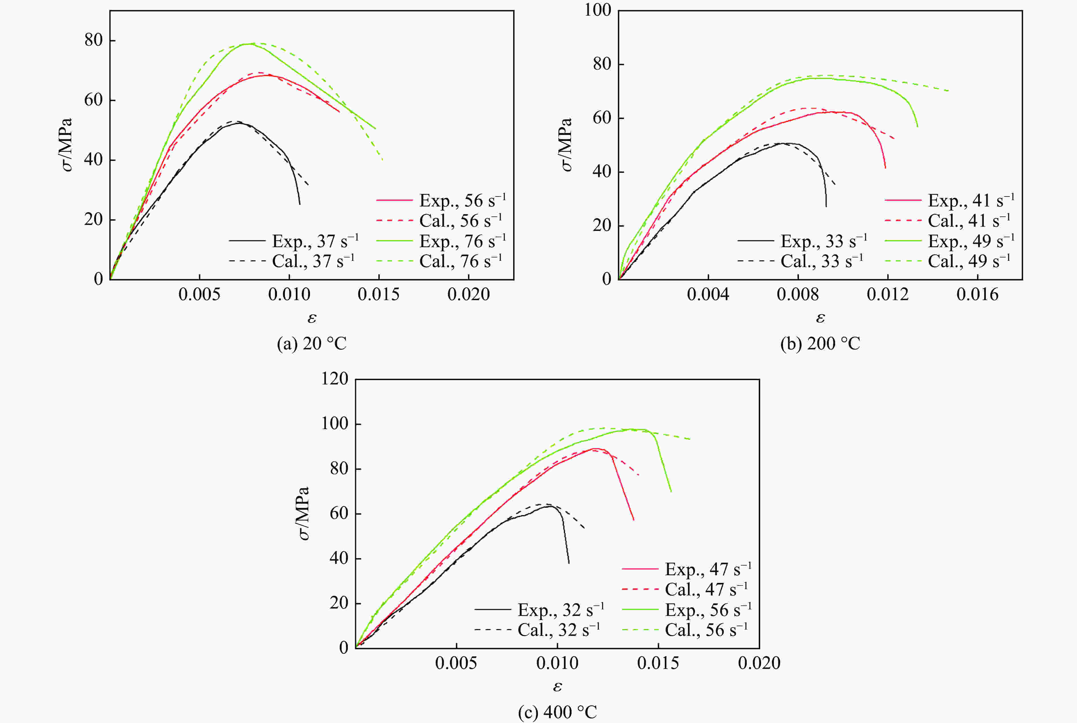
$\varnothing $ 74 mm大口径分离式霍普金森压杆(SHPB)对不同温度(20、200、400 ℃)下的C45混凝土材料进行动态力学性能实验,得到了不同温度、不同应变率下混凝土材料的应力-应变曲线。实验结果表明:在20~400 ℃温度范围内,混凝土材料具有温度硬化和应变率硬化现象。基于上述实验数据给出了损伤变量关于塑性应变的关系式,并通过相关实验数据确定了不同温度、不同应变率下损伤演化方程的材料参数。将该损伤演化方程应用于混凝土材料的本构关系中,预测结果与实验数据具有较好的一致性,证明了所提出的高温、高应变率下混凝土材料损伤演化方程的合理性。Abstract: In this paper, the dynamic mechanical properties of C45 concrete materials at different temperatures (20, 200, 400 °C) are carried out on split Hopkinson pressure bar (SHPB) equipment with a large diameter of 74 mm. The stress-strain curves of concrete materials at different temperatures and strain rates are obtained through experiments. As the expansion of microcracks inside concrete materials is inhibited by the increase of strain rate, the concrete specimens exhibit strain rate hardening effect. The experimental results show that the concrete material has temperature hardening and strain rate hardening in the temperature range of 20 °C to 400 °C. Through the relevant theoretical derivation, the SHPB experimental data of concrete materials are transformed into the relationship between damage variables and plastic strain. Then the material parameters of the damage evolution equation at different temperatures and different strain rates are determined by relevant experimental data. Finally, the damage evolution equation of concrete materials at high temperatures and high strain rates are applied to the constitutive relation of concrete materials. The prediction results are in good agreement with the experimental data. -
表 1 混凝土材料的配比
Table 1. Mixture ratio of the concrete material
kg/m3 Stone Sand Water Cement Water reducing agent 950 900 173 500 12.5 表 2 测试相关信息
Table 2. Summary of the test information
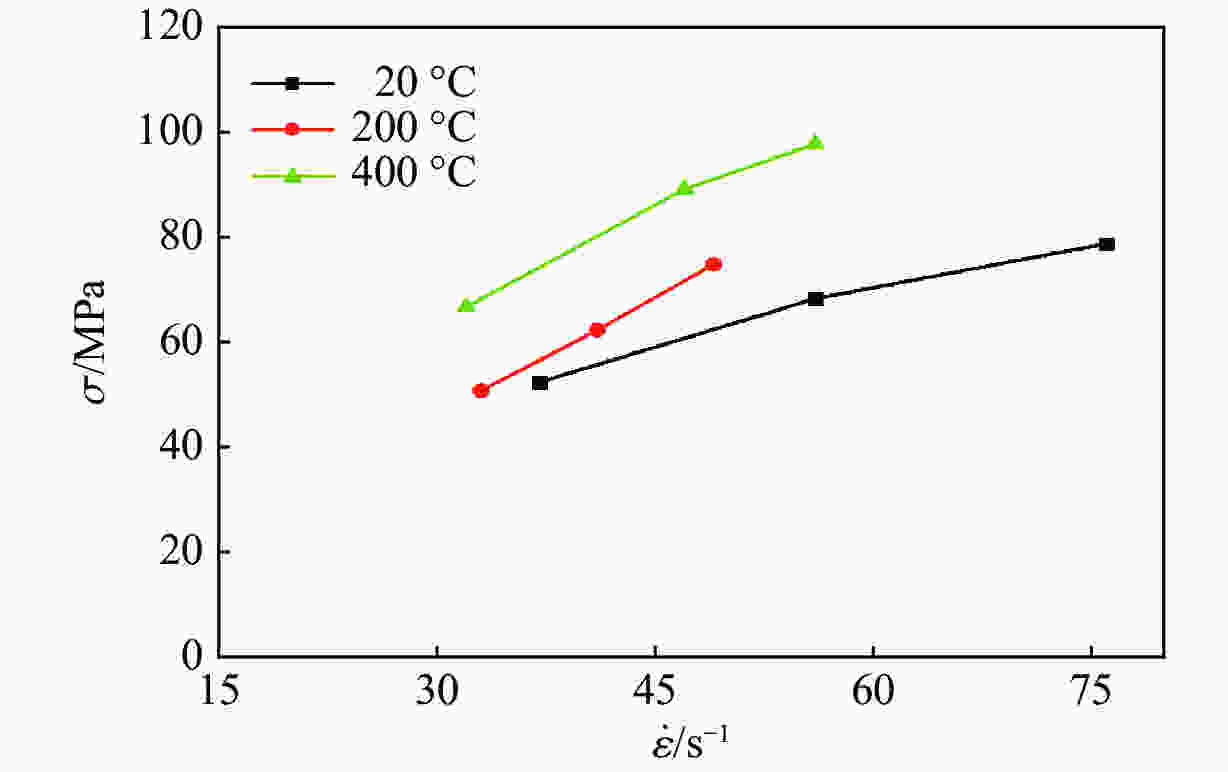
No. Temperature/℃ Strain rate/s−1 Peak stress/MPa 1 20 37 52.42 2 20 56 68.41 3 20 76 78.91 4 200 33 50.83 5 200 41 62.42 6 200 49 74.95 7 400 32 66.83 8 400 47 89.29 9 400 56 97.93 表 3 不同温度、应变率条件下的材料参数A和B
Table 3. Material parameters A and B at different temperatures and strain rates
Temperature/℃ Strain rate/s−1 A B 20 37 0.698 240.9 56 0.411 441.9 76 0.364 536.0 200 33 0.597 314.4 41 0.507 388.0 49 0.434 418.1 400 32 0.418 271.7 47 0.369 314.3 56 0.311 412.0 -
[1] CHEN L, FANG Q, JIANG X, et al. Combined effects of high temperature and high strain rate on normal weight concrete [J]. International Journal of Impact Engineering, 2015, 86: 40–56. doi: 10.1016/j.ijimpeng.2015.07.002 [2] SU H, XU J, REN W. Experimental study on the dynamic compressive mechanical properties of concrete at elevated temperature [J]. Materials and Design, 2014, 56: 579–588. [3] 刘传雄, 李玉龙, 吴子燕, 等. 高温后混凝土材料的动态压缩力学性能 [J]. 土木工程学报, 2011, 44(4): 78–83.LIU C X, LI Y L, WU Z Y, et al. Dynamic compression behavior of heated concrete [J]. China Civil Engineering Journal, 2011, 44(4): 78–83. [4] YOUSSEF M A, MOFTAH M. General stress–strain relationship for concrete at elevated temperatures [J]. Steel Construction, 2007, 29(10): 2618–2634. [5] HUO J S, HE Y M, XIAO L P, et al. Experimental study on dynamic behaviours of concrete after exposure to high temperatures up to 700 ℃ [J]. Materials & Structures, 2013, 46(1-2): 255–265. [6] 黄瑞源, 李永池, 章杰, 等. 压剪耦合损伤演化方程在混凝土本构模型中的应用 [J]. 北京理工大学学报, 2013, 33(6): 551–555. doi: 10.3969/j.issn.1001-0645.2013.06.001HUANG R Y, LI Y C, ZHANG J, et al. Application of damage evolution equation under coupled compression-shear to constitutive model of concrete [J]. Journal of Beijing Institute of Technology, 2013, 33(6): 551–555. doi: 10.3969/j.issn.1001-0645.2013.06.001 [7] 王道荣, 胡时胜. 冲击载荷下混凝土材料损伤演化规律的研究 [J]. 岩石力学与工程学报, 2003, 22(2): 223–226. doi: 10.3321/j.issn:1000-6915.2003.02.011WANG D R, HU S S. Study on damage evolution of concrete under impact load [J]. Chinese Journal of Rock Mechanics and Engineering, 2003, 22(2): 223–226. doi: 10.3321/j.issn:1000-6915.2003.02.011 [8] DOUGILL J W. On stable progressively fracturing solids [J]. Journal of Applied Mathematics and Physics, 1976, 27(4): 423–437. [9] LOLAND L E. Continuum damage model for load response estimation of concrete [J]. Cement and Concrete Research, 1980, 10(3): 395–402. doi: 10.1016/0008-8846(80)90115-5 [10] XIE H. Effects of fractal crack [J]. Theoretical & Applied Fracture Mechanics, 1995, 23(3): 235–244. [11] HOLMQUIST T J, JOHNSON G R, COOK W H. A computational constitutive model for concrete subjected to large strains, high strain rates, and high pressures[C]//Proceeding of 14th International Symposium on Ballistics. Quebec, Canada, 1993: 591−600. [12] 王春来, 徐必根, 李庶林, 等. 单轴受压状态下钢纤维混凝土损伤本构模型研究 [J]. 岩土力学, 2006, 27(1): 151–154. doi: 10.3969/j.issn.1000-7598.2006.01.030WANG C L, XU B G, LI S L, et al. Study of damage constitutive model for steel fiber reinforced concrete under uniaxial compression condition [J]. Rock and Soil Mechanics, 2006, 27(1): 151–154. doi: 10.3969/j.issn.1000-7598.2006.01.030 [13] BAI Y L, BAI J, LI H L, et al. Damage evolution, localization and failure of solids subjected to impact loading [J]. International Journal of Impact Engineering, 2000, 24(6): 685–701. [14] 李志武, 许金余, 戴双田, 等. 高温下混凝土冲击加载试验研究 [J]. 高压物理学报, 2013, 27(3): 417–422. doi: 10.11858/gywlxb.2013.03.016LI Z W, XU J Y, DAI S T, et al. Experimental study on concrete exposed to high temperature under impact loading [J]. Chinese Journal of High Pressure Physics, 2013, 27(3): 417–422. doi: 10.11858/gywlxb.2013.03.016 [15] 李业学, 谢和平, 彭琪, 等. 活性粉末混凝土力学性能及基本构件设计理论研究进展 [J]. 力学进展, 2011, 41(1): 51–59.LI Y X, XIE H P, PENG Q, et al. Progress in mechanic property and design theory of elementary struture of reactive powder concrete (RPC) [J]. Advanced in Mechanics, 2011, 41(1): 51–59. [16] OLIVIA M, NIKRAZ H. Properties of fly ash geopolymer concrete designed by Taguchi method [J]. Materials & Design, 2012, 36: 191–198. [17] LI J, WU C, HAO H, et al. A study of concrete slabs with steel wire mesh reinforcement under close-in explosive loads [J]. International Journal of Impact Engineering, 2017, 110: 242–254. doi: 10.1016/j.ijimpeng.2017.01.016 [18] 康亚明, 贾延, 罗玉财, 等. 莫尔-库仑准则下高强度混凝土的临界爆裂蒸汽压力 [J]. 爆炸与冲击, 2018, 38(1): 224–232. doi: 10.11883/bzycj-2016-0305KANG Y M, JIA Y, LUO Y C, et al. Critical vapour pressure for explosive spalling of high-strength concretebased on Mohr-Coulomb criterion [J]. Explosion and Shock Waves, 2018, 38(1): 224–232. doi: 10.11883/bzycj-2016-0305 [19] 李胜林, 刘殿书, 李祥龙, 等. Ф75 mm分离式霍普金森压杆试件长度效应的试验研究 [J]. 中国矿业大学学报, 2010, 39(1): 93–97.LI S L, LIU D S, LI X L, et al. The effect of specimen length in Ф75 mm split hopkinson pressure bar experiment [J]. Journal of China University of Mining & Technology, 2010, 39(1): 93–97. [20] NEMAT-NASSER S, ISAACS J B. Direct measurement of isothermal flow stress of metals at elevated temperatures and high strain rates with application to Ta and Ta, W alloys [J]. Acta Materialia, 1997, 45(3): 907–919. doi: 10.1016/S1359-6454(96)00243-1 [21] 贾彬, 陶俊林, 李正良, 等. 高温混凝土动态力学性能的SHPB试验研究 [J]. 兵工学报, 2009, 30(Suppl 2): 208–212.JIA B, TAO J L, LI Z L, et al. SHPB test for dynamic mechanical performances of concrete at high temperatures [J]. Acta Armamcntarii, 2009, 30(Suppl 2): 208–212. [22] 李世超, 黄瑞源, 唐奎, 等. 一种基于围压和应变率效应的动态本构模型在钢纤维混凝土中的应用 [J]. 兵工学报, 2017, 10(Suppl 1): 66–72.LI S C, HUANG R Y, TANG K, et al. Application of a dynamic constitutive model with confining pressure and strain rate effects in steel fiber reinforced concrete [J]. Acta Armamcntarii, 2017, 10(Suppl 1): 66–72. [23] 胡亮亮, 黄瑞源, 高光发, 等. 混凝土类材料SHPB实验中确定应变率的方法 [J]. 爆炸与冲击, 2019, 39(6): 063102. doi: 10.11883/bzycj-2018-0142HU L L, HUANG R Y, GAO G F, et al. A novel method for determining strain rate of concrete-like materials in SHPB experiment [J]. Explosion and Shock Waves, 2019, 39(6): 063102. doi: 10.11883/bzycj-2018-0142 [24] LEMAITRE J. How to use damage mechanics [J]. Nuclear Engineering & Design, 1984, 80(2): 233–245. [25] 李永池, 曹结东, 董杰, 等. 45钢的损伤演化方程和层裂准则研究 [J]. 力学季刊, 2006, 27(2): 329–334. doi: 10.3969/j.issn.0254-0053.2006.02.023LI Y C, CAO J D, DONG J, et al. Research of damage evolution equation and spallation criterion of 45 steel [J]. Chinese Quarterly of Mechanics, 2006, 27(2): 329–334. doi: 10.3969/j.issn.0254-0053.2006.02.023 [26] 刘俊新, 张可, 刘伟, 等. 不同围压及应变速率下页岩变形及破损特性试验研究 [J]. 岩土力学, 2017(Suppl 1): 49–58.LIU J X, ZHANG K, LIU W, et al. Experimental study of mechanical behaviours of shale under different confining pressures and different strain rates [J]. Rock and Soil Mechanics, 2017(Suppl 1): 49–58. -


下载: