Load Characteristics of Shock Wave under Condition of Multiple Underwater Explosion (UNDEX)
-
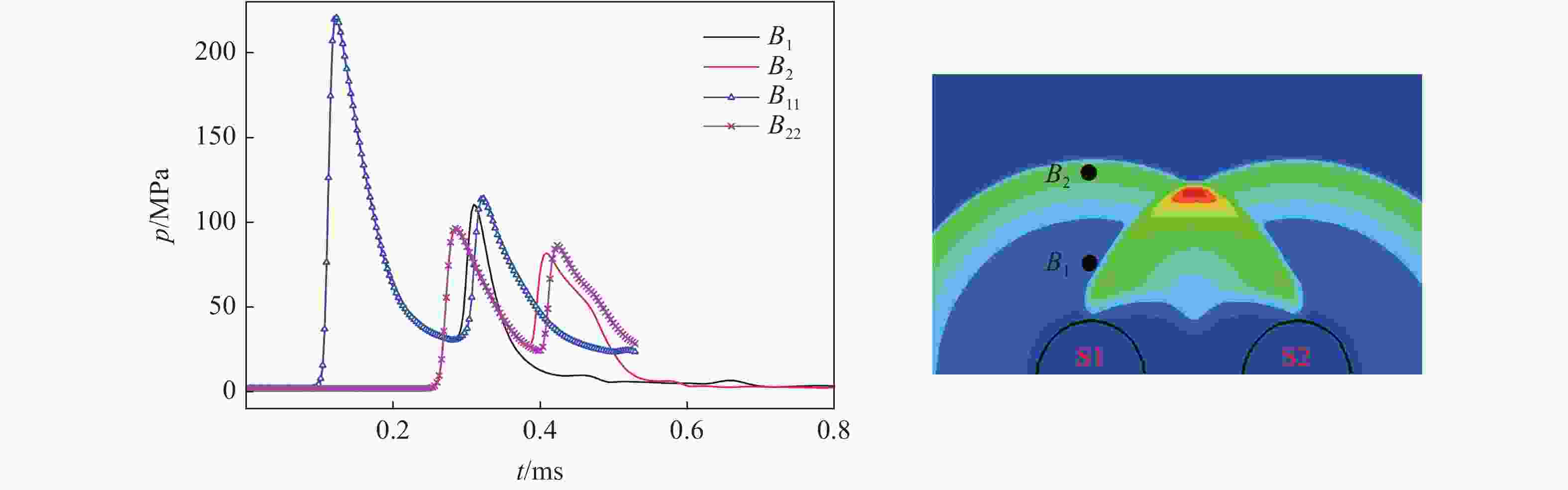
摘要: 针对水下多爆源起爆的实战背景,开展了两点同时起爆条件下冲击波载荷特性的数值模拟研究。基于自研的多相可压缩流体计算程序,采用高精度的数值格式对流体控制方程进行离散求解。将数值模型计算的自由场水下爆炸的结果与理论结果比较,初步验证了数值模型计算的准确性与可靠性。利用该模型计算了典型工况下水下两点起爆工况,计算结果表明:两爆源对称面上压力相比单爆源线性叠加后的峰值压力增加12%~16%;两爆源垂直截面之间的压力存在双峰现象;而对于两垂直截面之外的测点压力也存在双峰现象,第1个峰值压力与单爆源线性叠加的峰值相等,第2个峰值压力要远低于单爆源线性叠加的峰值,峰值压力下降幅度可高达30%左右。研究结果能够为水下武器防护设计与威胁评估提供参考。Abstract: According to the actual combat background of underwater multiple initiation, the numerical simulation of shock wave load characteristics under the condition of two-point simultaneous initiation is carried out. Based on the self-developed multiphase compressible fluid calculation program, a high precision numerical scheme is used to discretize the fluid control equation. Firstly, the results of free-field underwater explosion calculated by the numerical model are compared with the theoretical results, and the accuracy and reliability of the numerical model are preliminarily verified. And then this numerical model is used to calculate the underwater two-point initiation condition under typical working conditions. The results show that the pressure on the symmetrical plane of the two explosion sources increases by 12% to 16% compared with the peak pressure after the linear superposition of the single explosion source. There is a bimodal phenomenon in the pressure between the vertical sections of the two explosion sources. For the pressure at the measuring point outside the two vertical sections, there is also a double-peak phenomenon, the first peak pressure is equal to the peak value of the linear superposition of the single explosion source, and the second peak pressure is much lower than the peak value of the linear superposition of the single explosion source. The peak pressure can be reduced by as much as 30%. The research results of this paper can provide reference for underwater weapon protection design and threat assessment.
-
Key words:
- multiple explosion sources /
- shock wave /
- underwater explosion /
- impact protection
-
表 1 计算结果与由Cole经验公式得到的峰值压力对比
Table 1. Comparison of peak pressure between calculated results and Cole empirical formula
TNT mass/kg Peak pressure at 6R0 Peak pressure at 12R0 Simulation/MPa Theory/MPa Error/% Simulation/MPa Theory/MPa Error/% 0.1 228.0 239.8 −4.92 92.4 87.6 5.48 1.0 254.6 268.1 −5.04 98.5 94.8 3.90 表 2 峰值压力比较
Table 2. Comparison of peak pressures
Measuring
pointDetonation
distancePeak pressure under
double explosion/MPaSingle detonation source
synthetic pressure/MPaError/% A1 6R0 498.1 444.9 12.0 A2 8R0 369.2 322.4 14.5 A3 12R0 234.1 196.2 19.3 A4 20R0 122.5 105.9 15.7 -
[1] 李旭东. 多点爆炸效应及其防护问题的实验与计算研究[D]. 北京: 北京大学, 2008: 5–8.LI X D. Experimental and computational study on the effect of multi-point explosion and its protection [D]. Beijing: Peking University, 2008: 5–8. [2] 张世豪, 韩晶, 王华,等. 混凝土中多点同步爆炸能量聚集效应分析 [J]. 爆破, 2014, 31(1): 19–25. doi: 10.3963/j.issn.1001-487X.2014.01.005ZHANG S H, HAN J, WANG H, et al. Energy gathering effect of multi-point simultaneous explosion in concrete [J]. Blasting, 2014, 31(1): 19–25. doi: 10.3963/j.issn.1001-487X.2014.01.005 [3] 陈明生, 白春华, 李建平. 多点云雾爆炸波相互作用的数值模拟 [J]. 爆炸与冲击, 2016, 36(1): 81–86. doi: 10.11883/1001-1455(2016)01-0081-06CHEN M S, BAI C H, LI J P. Simulation of blast waves interaction for multiple cloud explosion [J]. Explosion and Shock Waves, 2016, 36(1): 81–86. doi: 10.11883/1001-1455(2016)01-0081-06 [4] 翟红波, 李芝绒, 苏健军, 等. 多点同步内爆炸下典型舱室的毁伤特性 [J]. 振动与冲击, 2018, 37(2): 169–175.ZHAI H B, LI Z R, SU J J, et al. Damage characteristics of a typical cabin with multi-point simultaneous inner explosion [J]. Journal of Vibration and Shock, 2018, 37(2): 169–175. [5] 孟闻远, 郭军伟, 郭颍奎, 等. 两点爆炸冲击波对冰的破坏效应的仿真分析 [J]. 华北水利水电大学学报(自然科学版), 2014, 35(1): 22–25.MENG W Y, GUO J W, GUO Y K, et al. Simulation and analysis of damage effect of double explosions shock wave on the ice [J]. Journal of North China University of Water Resources and Electric Power (Natural Science Edition), 2014, 35(1): 22–25. [6] COLE P. 水下爆炸 [M]. 罗耀杰, 译. 北京: 国防工业出版社, 1960: 20−23.COLE P. Underwater explosion [M]. Translated by LUO Y J. Beijing: National Defense Industry Press, 1960: 20−23. [7] 刘建湖. 舰船非接触水下爆炸动力学理论与应用[D]. 无锡: 中国船舶科学研究中心, 2002: 15−18.LIU J H. Applications of ship dynamic responses to non-contact underwater explosions [D]. Wuxi: China Ship Scientific Research Center, 2002: 15−18. [8] 胡亮亮, 黄瑞源, 李世超, 等. 水下爆炸冲击波数值仿真研究 [J]. 高压物理学报, 2020, 34(1): 015102.HU L L, HUANG R Y, LI S C, et al. Shock wave simulation of underwater explosion [J]. Chinese Journal of High Pressure Physics, 2020, 34(1): 015102. [9] 刘靖晗, 唐廷, 韦灼彬, 等. 刚性柱附近浅水爆炸荷载特性研究 [J]. 高压物理学报, 2019, 33(5): 055104. doi: 10.11858/gywlxb.20180704LIU J H, TANG T, WEI Z B, et al. Pressure characteristics of shallow water explosion near the rigid column [J]. Chinese Journal of High Pressure Physics, 2019, 33(5): 055104. doi: 10.11858/gywlxb.20180704 [10] HU J B, LI Q M, ZHANG Z H. Study on energy output characteristics calculation method of two charges’ shock wave from underwater explosion [C]//2th International Conference on Computational Intelligence and Natural Computing (CINC). Wuhan, 2010. [11] ALLAIRE G, CLERC S, KOKH S. A five-equation model for the simulation of interface between compressible fluids [J]. Journal of Computational Physics, 2002, 181(2): 577–616. doi: 10.1006/jcph.2002.7143 [12] MURRONE A, GUILLARD H. A five equation reduced model for compressible two-phase flow problems [J]. Journal of Computational Physics, 2005, 202(2): 664–698. doi: 10.1016/j.jcp.2004.07.019 [13] JOHNSEN E, COLONIUS T. Implementation of WENO schemes in compressible multicomponent flow problems [J]. Journal of Computational Physics, 2006, 219(2): 715–732. doi: 10.1016/j.jcp.2006.04.018 [14] COCCHI J P, SAUREL R, LORAUD J C. Treatment of interface problems with Godunov-type schemes [J]. Shock Waves, 1996(5): 347–357. [15] TORO E F. Riemann solvers and numerical methods for fluid dynamics [M]. Berlin: Springer, 2007. [16] WANG C, KHOO B C. An indirect boundary element method for three-dimensional explosion bubbles [J]. Journal of Computational Physics, 2004, 194(2): 451–480. doi: 10.1016/j.jcp.2003.09.011 [17] ZHANG S, DUNCAN J H, CHAHINE G L. The final stage of the collapse of a cavitation bubble near a rigid wall [J]. Journal of Fluid Mechanics, 1993, 257: 147–181. doi: 10.1017/S0022112093003027 [18] 白晓征. 包含运动界面的爆炸流场数值模拟方法及其应用 [D]. 长沙: 国防科学技术大学, 2009: 4−6.BAI X Z. Numerical simulation method of explosion flow field including moving interface and its application [D]. Changsha: University of Defense Science and Technology, 2009: 4−6 -

下载: