2022年 第36卷 第4期
2022, 36(4): 042201.
doi: 10.11858/gywlxb.20210916
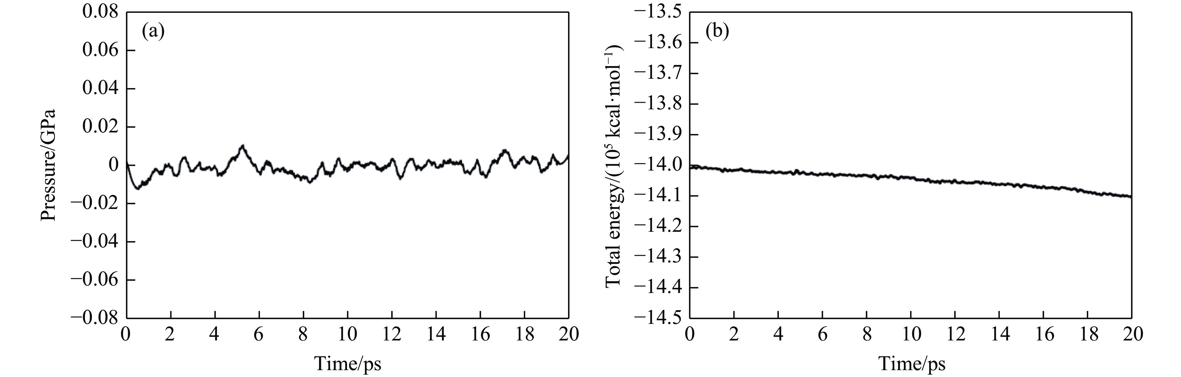
摘要:
2022, 36(4): 042202.
doi: 10.11858/gywlxb.20220514
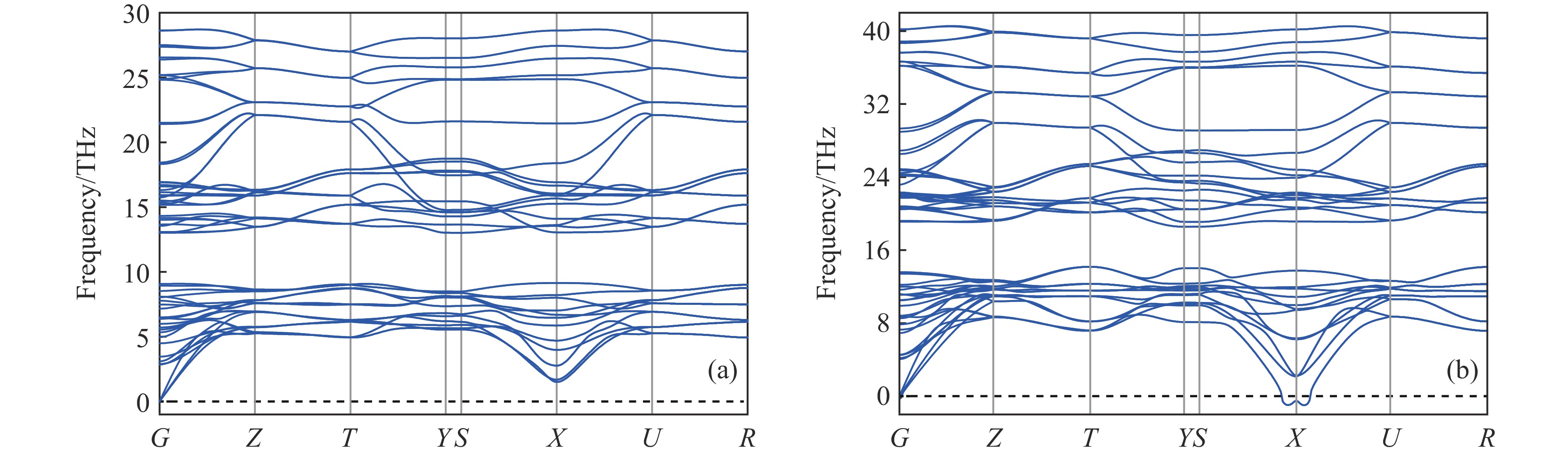
摘要:
2022, 36(4): 043101.
doi: 10.11858/gywlxb.20220587
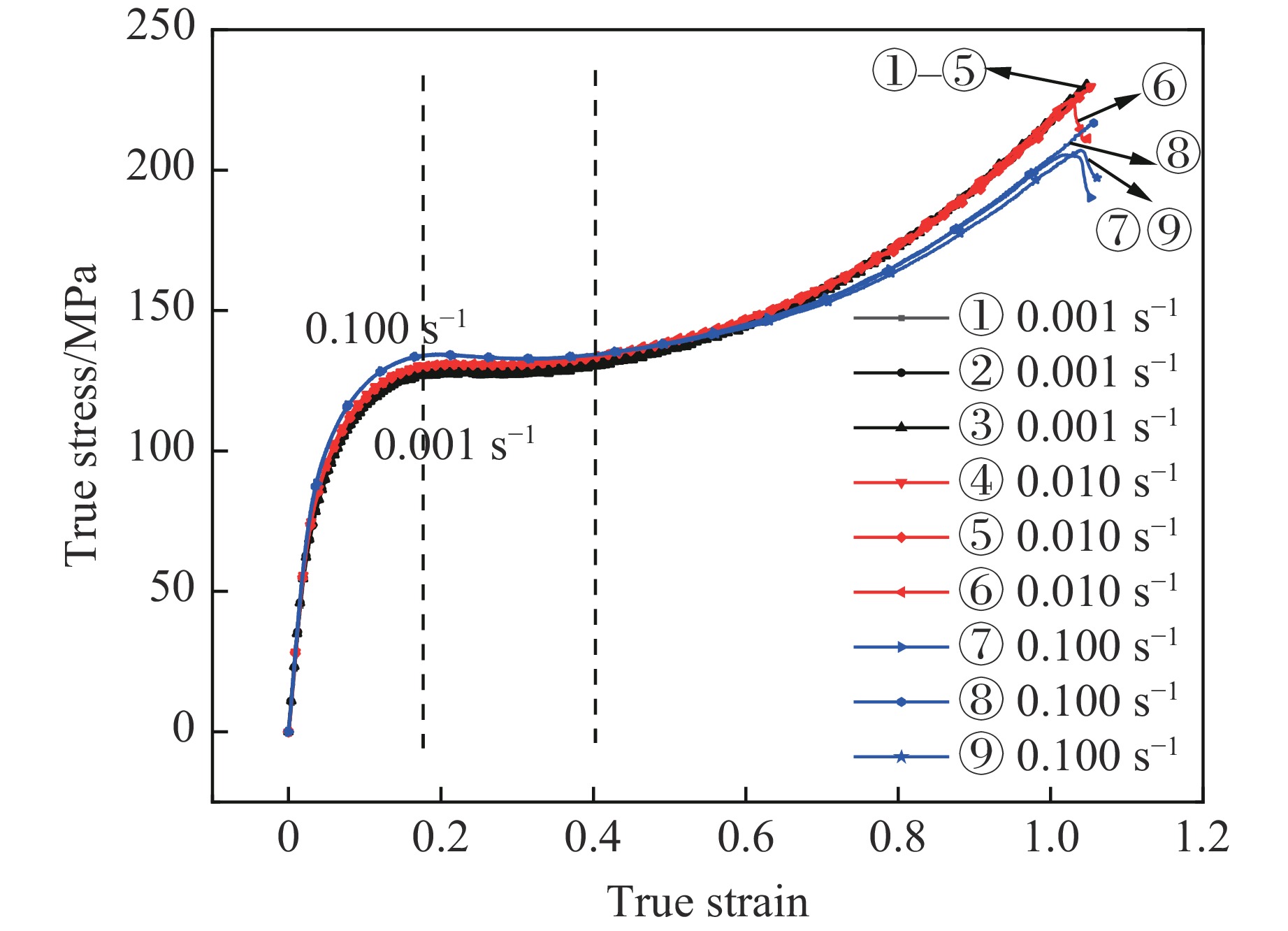
摘要:
2022, 36(4): 044102.
doi: 10.11858/gywlxb.20220524
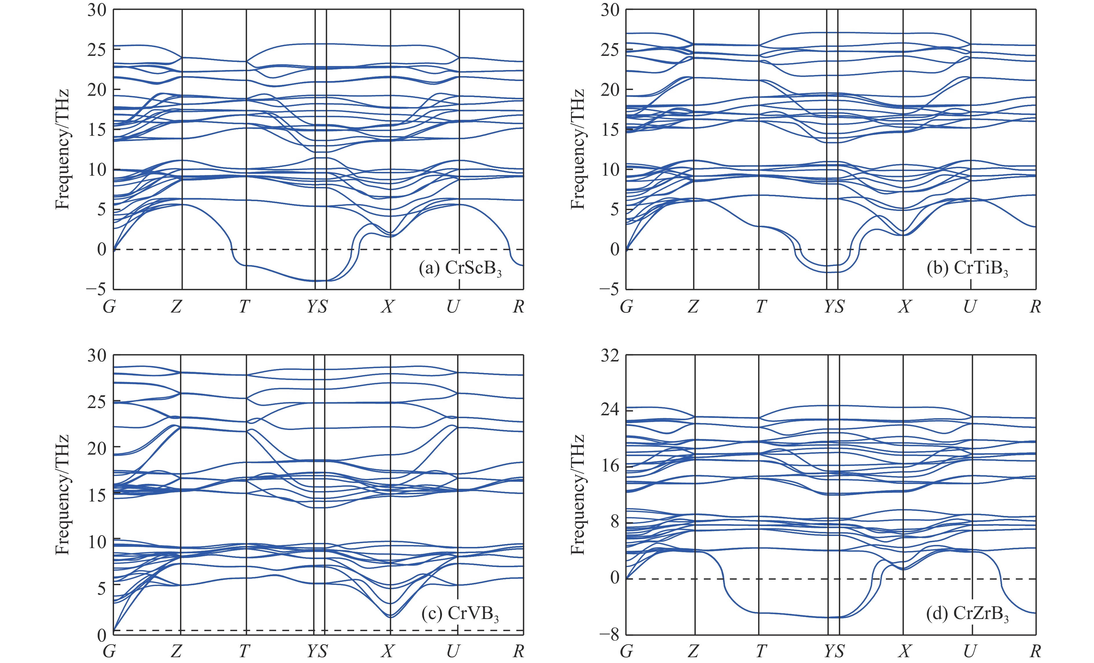
摘要:
2022, 36(4): 044103.
doi: 10.11858/gywlxb.20220515
摘要:
2022, 36(4): 044106.
doi: 10.11858/gywlxb.20220506
摘要:
2022, 36(4): 044204.
doi: 10.11858/gywlxb.20220533
摘要:
2022, 36(4): 044205.
doi: 10.11858/gywlxb.20220526
摘要:
2022, 36(4): 044206.
doi: 10.11858/gywlxb.20220518
摘要:
2022, 36(4): 045301.
doi: 10.11858/gywlxb.20220503
摘要:

PDF
引证文献
阅读全文






