Mechanical Behaviors and Constitutive Model of Polymide under Quasi-Static and Dynamic Compressive Loading
-
摘要: 为研究聚酰亚胺在动静态压缩载荷作用下的力学特性,采用材料试验机(material testing system, MTS)和分离式霍普金森压杆(split Hopkinson pressure bar, SHPB)进行压缩实验,得到了材料在不同应变率下的应力-应变曲线。通过分析回收试样的形貌,得到了聚酰亚胺在裂纹形式、尺寸变形等方面的特性。聚酰亚胺屈服强度的动态增强因子与应变率的关系具有明显的双线性特性,可采用多元线性方程或Cowper-Symonds模型描述。针对聚酰亚胺的动态力学响应特性,阐述了从低应变率到高应变率范围内的压缩变形机理。采用考虑
$\,\beta $ 转变的唯象本构模型,描述了聚酰亚胺在大应变率范围内的弹塑性大变形响应,包括初始黏弹性、屈服、应变软化和应变硬化在内的力学行为。通过贝叶斯方法拟合模型参数,拟合结果与实验结果在各应变率下都具有较好的一致性。-
关键词:
- 聚酰亚胺 /
- 应变率效应 /
- $\alpha $转变 /
- $\,\beta $转变 /
- 本构模型
Abstract: To study the mechanical properties of polyimide, quasi-static and dynamic compression experiments were carried out using the materials testing system (material testing system, MTS) and the split Hopkinson pressure bar (SHPB). The stress-strain curves of the material under different strain rates were obtained. The morphology of the recovered specimens was analyzed, and the characteristics of the polyimide in terms of crack form and size deformation were obtained. A bilinear relationship between the dynamic increase factor of the polyimide and the strain rate was obtained. The bilinear characteristics were described by piecewise fitting model and Cowper-Symonds model. Based on the characteristics of the dynamic mechanical response of the polyimide, its compression deformation mechanism from low to high strain-rates was explained. A phenomenological constitutive model in consideration of the contributions of the$\,\beta $ -transition was modified to describe the large elastic-plastic deformation response of the material, in which initial viscoelasticity, yield, strain softening and strain hardening were all included. Then the constitutive model’s parameters were fitted by Bayesian approach. The Bayesian fitting results at different strain rates were in good agreement with the experimental data.-
Key words:
- polyimide /
- strain rate effect /
- $\alpha $ transition /
- $\,\beta $ transition /
- constitutive model
-
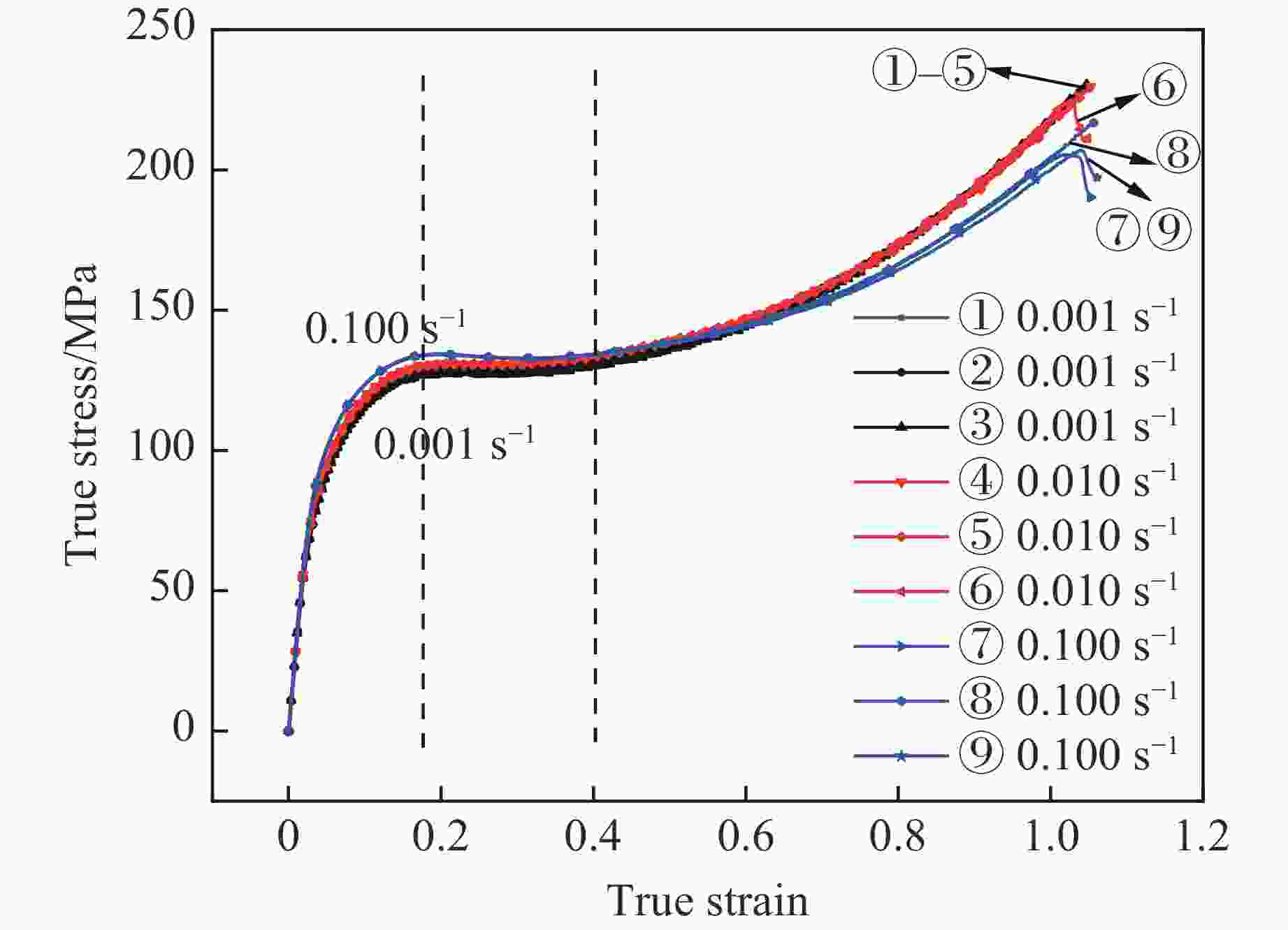
表 1 准静态压缩实验后回收试样的形貌
Table 1. Morphology of the recovered samples after quasi-static experiment
No. Strain rate/s−1 Specimens after quasi-static compression Size/(mm×mm×mm) Crack 1 0.001 
6.02×5.83×2.78 No 2 0.001 
6.15×5.72×2.74 No 3 0.001 
6.18×5.80×2.75 No 4 0.010 
6.13×5.83×2.71 No 5 0.010 
6.25×5.78×2.72 No 6 0.010 
6.46×5.70×2.72 Yes 7 0.100 
6.64×5.86×2.58 Yes 8 0.100 
6.76×5.69×2.59 Yes 9 0.100 
6.54×5.89×2.59 Yes 表 2 动态压缩后
$\varnothing $ 6.00 mm×2.00 mm试样的形貌Table 2. Morphology of the recovered
$\varnothing $ 6.00 mm×2.00 mm samples after dynamic compressionNo. Load pressure/MPa Strain rate/s−1 Size/(mm×mm) Specimens after dynamic compression Crack 1 0.05 3388 $\varnothing $6.13×1.91 
No 2 0.08 5195 $\varnothing $6.75×1.61 
No 3 0.10 6137 $\varnothing $7.08×1.48 
No 4 0.13 7627 $\varnothing $7.72×1.29 
No 5 0.17 8496 $\varnothing $8.48×1.10 
No 6 0.20 10371 $\varnothing $8.99×1.00 
No 表 3 两种模型的拟合方程与判定系数
Table 3. Two models’ fitting equations and their determination coefficients
Model Equations R2 Cowper-Symonds ${ D_{ {\text{IF} } } } = {(1 + \dot \varepsilon /3\,396)^{1/3.22} }$ 0.99067 Poly-linear fitting ${ D_{ {\text{IF} } } } = \left\{ \begin{gathered} 1.065{ {\dot \varepsilon }^{0.009\,3} }\;\;{\text{ } }\dot \varepsilon \leqslant 0.100{\text{ } }{\text{s}^{ - 1} } \\ 0.275{ {\dot \varepsilon }^{0.185\,5} }\;\;{\text{ } }\dot \varepsilon \geqslant 3\,388{\text{ } }{\text{s}^{ - 1} } \\ \end{gathered} \right.$ 0.99206
0.98288表 4 α和β转变相关的材料参数
Table 4. Material parameters related to the α and β transformations
$ {K_\alpha } $ $ {\alpha _1} $ $ {\alpha _2} $ $ {\alpha _3} $ $ {\alpha _4} $ $ {\alpha _5} $ $ {K_\beta } $ ${\,\beta _1}$ ${\,\beta _2}$ ${\,\beta _3}$ ${\,\beta _4}$ ${\,\beta _5}$ 51.069 4.142 −0.306 15.464 1.464 0.011 0.004 20.047 0.837 81.889 −1.519 1.192 表 5 预测屈服强度与实验屈服强度之间的误差
Table 5. Error between the predicted yield stresses and the experimental results
Strain rate/s−1 $\text{ }{\sigma }_{\text{y, exp} }$/MPa $\text{ }{\sigma }_{\text{y, pred} }$/MPa Error/% 0.001 128.55 126.96 −1.23 0.010 130.89 130.29 −0.45 0.100 134.16 133.62 −0.40 3388 155.84 161.92 3.90 5195 172.32 171.81 −0.29 6137 177.28 176.71 −0.32 7627 185.43 181.14 −2.31 8496 190.08 191.45 0.72 10371 197.88 217.53 9.93 -
[1] 李敏, 张佐光, 仲伟虹, 等. 聚酰亚胺树脂研究与应用进展 [J]. 复合材料学报, 2000, 17(4): 48–53. doi: 10.3321/j.issn:1000-3851.2000.04.010LI M, ZHANG Z G, ZHONG W H, et al. Study and application development of polyimides [J]. Acta Materiae Compositae Sinica, 2000, 17(4): 48–53. doi: 10.3321/j.issn:1000-3851.2000.04.010 [2] 汪家铭. 聚酰亚胺薄膜技术进展与市场前景 [J]. 合成技术及应用, 2012, 27(3): 24–29. doi: 10.3969/j.issn.1006-334X.2012.03.011WANG J M. Technology advances and market prospects of polyimide film [J]. Synthetic Technology and Application, 2012, 27(3): 24–29. doi: 10.3969/j.issn.1006-334X.2012.03.011 [3] 楚晖娟, 朱宝库, 徐又一. 聚酰亚胺泡沫材料在航空航天飞行器中应用进展 [J]. 宇航材料工艺, 2006, 36(3): 1–3. doi: 10.3969/j.issn.1007-2330.2006.03.001CHU H J, ZHU B K, XU Y Y. Application of polyimide foam materials in aerospace vehicles [J]. Aerospace Materials & Technology, 2006, 36(3): 1–3. doi: 10.3969/j.issn.1007-2330.2006.03.001 [4] 徐立志, 高光发, 赵真, 等. 不同应变率下聚乙烯材料的压缩力学性能 [J]. 爆炸与冲击, 2019, 39(1): 013301.XU L Z, GAO G F, ZHAO Z, et al. Compressive mechanical properties of polyethylene at different strain rates [J]. Explosion and Shock Waves, 2019, 39(1): 013301. [5] WANG J, XU Y J, ZHANG W H. Finite element simulation of PMMA aircraft windshield against bird strike by using a rate and temperature dependent nonlinear viscoelastic constitutive model [J]. Composite Structures, 2014, 108: 21–30. doi: 10.1016/j.compstruct.2013.09.001 [6] 张龙辉, 张晓晴, 姚小虎, 等. 高应变率下航空透明聚氨酯的动态本构模型 [J]. 爆炸与冲击, 2015, 35(1): 51–56. doi: 10.11883/1001-1455(2015)01-0051-06ZHANG L H, ZHANG X Q, YAO X H, et al. Constitutive model of transparent aviation polyurethane at high strain rates [J]. Explosion and Shock Waves, 2015, 35(1): 51–56. doi: 10.11883/1001-1455(2015)01-0051-06 [7] ROLAND C M, TWIGG J N, VU Y, et al. High strain rate mechanical behavior of polyurea [J]. Polymer, 2007, 48(2): 574–578. doi: 10.1016/j.polymer.2006.11.051 [8] 胡文军, 张方举, 田常津, 等. 聚碳酸酯的动态应力应变响应和屈服行为 [J]. 材料研究学报, 2007, 21(4): 439–443. doi: 10.3321/j.issn:1005-3093.2007.04.019HU W J, ZHANG F J, TIAN C J, et al. Dynamic stress-strain response and yield behavior of polycarbonate [J]. Chinese Journal of Materials Research, 2007, 21(4): 439–443. doi: 10.3321/j.issn:1005-3093.2007.04.019 [9] CHOU S C, ROBERTSON K D, RAINEY J H. The effect of strain rate and heat developed during deformation on the stress-strain curve of plastics [J]. Experimental Mechanics, 1973, 13(10): 422–432. doi: 10.1007/BF02324886 [10] WALLEY S M, FIELD J E. Strain rate sensitivity of polymers in compression from low to high rates [J]. DYMAT Journal, 1994, 1(3): 211–227. [11] GOGLIO L, PERONI L, PERONI M, et al. High strain-rate compression and tension behaviour of an epoxy bi-component adhesive [J]. International Journal of Adhesion and Adhesives, 2008, 28(7): 329–339. doi: 10.1016/j.ijadhadh.2007.08.004 [12] 于鹏, 姚小虎, 张晓晴, 等. 聚碳酸酯类非晶聚合物力学性能及其本构关系 [J]. 力学进展, 2016, 46(1): 201603. doi: 10.6052/1000-0992-15-016YU P, YAO X H, ZHANG X Q, et al. Mechanical behaviors and constitutive models of polycarbonate amorphous polymers [J]. Advances in Mechanics, 2016, 46(1): 201603. doi: 10.6052/1000-0992-15-016 [13] 陈春晓, 彭刚, 冯家臣, 等. 聚甲醛动态力学性能及本构行为研究 [J]. 塑料工业, 2018, 46(2): 137–139, 53. doi: 10.3969/j.issn.1005-5770.2018.02.031CHEN C X, PENG G, FENG J C, et al. The research of dynamic mechanical properties and constitutive behavior of POM [J]. China Plastics Industry, 2018, 46(2): 137–139, 53. doi: 10.3969/j.issn.1005-5770.2018.02.031 [14] WANG H T, ZHANG Y, HUANG Z G, et al. Experimental and modeling study of the compressive behavior of PC/ABS at low, moderate and high strain rates [J]. Polymer Testing, 2016, 56: 115–123. doi: 10.1016/j.polymertesting.2016.09.027 [15] WANG H T, ZHOU H M, HUANG Z G, et al. Constitutive modeling of polycarbonate over a wide range of strain rates and temperatures [J]. Mechanics of Time-Dependent Materials, 2017, 21(1): 97–117. doi: 10.1007/s11043-016-9320-1 [16] 王海涛. 聚合物大变形及断裂行为的建模与模拟 [D]. 武汉: 华中科技大学, 2017.WANG H T. Modeling and simulation of the large deformation and fracture behavior of polymers [D]. Wuhan: Huazhong University of Science and Technology, 2017. [17] 宋力, 胡时胜. SHPB数据处理中的二波法与三波法 [J]. 爆炸与冲击, 2005, 25(4): 368–373. doi: 10.3321/j.issn:1001-1455.2005.04.014SONG L, HU S S. Two-wave and three-wave method in SHPB data processing [J]. Explosion and Shock Waves, 2005, 25(4): 368–373. doi: 10.3321/j.issn:1001-1455.2005.04.014 [18] LU F Y, LIN Y L, WANG X Y, et al. A theoretical analysis about the influence of interfacial friction in SHPB tests [J]. International Journal of Impact Engineering, 2015, 79: 95–101. doi: 10.1016/j.ijimpeng.2014.10.008 [19] BAUWENS-CROWET C, BAUWENS J C, HOMÈS G. The temperature dependence of yield of polycarbonate in uniaxial compression and tensile tests [J]. Journal of Materials Science, 1972, 7(2): 176–183. doi: 10.1007/BF02403504 [20] JONES N. Structural impact [M]. Cambridge: Cambridge University Press, 1989. [21] PANCHENKO D. Introduction to probability and statistics [M]. Cambridge: Cambridge University Press, 1980. [22] BAR-SHALOM Y, LI X R, KIRUBARAJAN T. Estimation with applications to tracking and navigation [M]. New York: Wiley, 2001. -



下载:









