Effect of Hygrothermal Aging on Impact Performance of Flax Fiber-Reinforced Foam Sandwich Panels
-
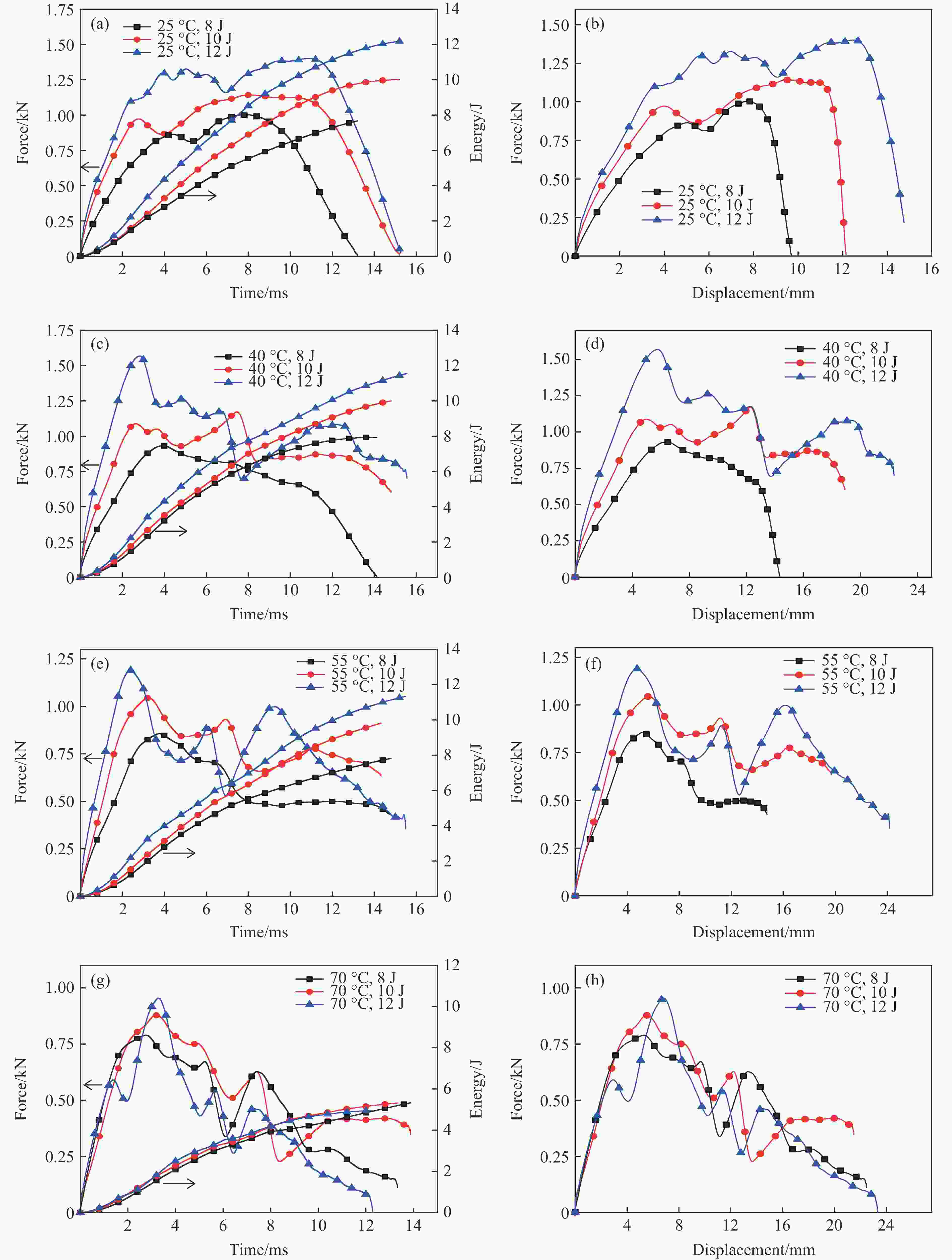
摘要: 通过真空辅助树脂注射技术制备出由亚麻纤维面板和聚氨酯泡沫材料芯组成的夹芯板,分别在25、40、55和70 ℃下对夹芯板开展水浸泡老化实验,并对老化后的夹芯板进行低速冲击测试。采用正交实验设计,考察了夹芯板在不同温度下的吸湿率和抗冲击能力随时间变化规律。分析了夹芯板的接触力、位移和吸收能量等冲击响应历程,结合夹芯板损伤形态观察,研究了老化后夹芯板的冲击损伤特征。结果表明:随着老化温度的提升和老化时间的延长,夹芯板的吸湿率逐渐增大,抗冲击性能呈阶梯状下降;与25 ℃老化条件对比,70 ℃老化30 d的夹芯板受12 J能量冲击时的峰值力下降51.6%,吸收能量下降56.7%。Abstract: Sandwich panels, consisting of flax fiber-reinforced polymers panels and polyurethane foam cores, were fabricated by the vacuum-assisted resin injection process. After that, water immersion aging experiments, at four temperatures of 25, 40, 55, and 70 ℃, and low-velocity impacts experiment were conducted successively on the sandwich panels. An orthogonal experimental was designed to investigate the effects of hygrothermal aging on moisture absorption rate and the degradation law for impact resistance of sandwich panels at different temperatures. The impact mechanical response history of sandwich panels such as contact force, displacement, and absorbed energy were analyzed, besides, the damage morphology was observed by visual inspection which reveals the impact damage characteristics of sandwich panels after aging. The results revealed that the moisture absorption rate of the sandwich panel gradually increased with the growth of aging temperature and aging time, their impact resistance decreased stepwise. Compared with the aging case at 25 ℃, the maximum contact force of the sandwich panel aged at 70 ℃ for 30 d decreased by 51.6% and the absorbed energy decreased by 56.7% under the impact energy of 12 J.
-
Key words:
- flax fiber /
- sandwich panel /
- hygrothermal aging /
- damage under low-velocity impact /
- impact resistance
-
表 1 不同温度下的扩散系数和平衡含水量
Table 1. Diffusion coefficient and equilibrium water content at different temperatures
Ta/℃ D/(10−6 mm2·s–1) Mm/% Ta/℃ D/(10−6 mm2·s–1) Mm/% 25 3.23±0.07 6.63±0.14 55 27.20±0.72 5.97±0.21 40 15.10±0.21 6.31±0.17 70 49.50±2.17 5.32±0.24 表 2 在12 J的冲击能量、不同的湿热老化条件下样品受低速冲击时的峰值力和吸收的能量
Table 2. Peak force and absorbed energy of samples under different condition of hygrothermal aging in low-velocity impact experiment at the impact energy of 12 J
Ta/℃ Peak force/kN Absorbed energy/J 10 d 20 d 30 d 10 d 20 d 30 d 25 1.63 1.37 1.49 11.94 11. 91 11.34 40 1.59 1.35 1.13 11.75 11.52 10.18 55 1.37 1.09 1.21 11.24 10.56 9.73 70 0.88 0.77 0.72 6.43 5.38 4.91 表 3 样品在不同湿热温度条件下老化20 d后受低速冲击时锤头的最大位移
Table 3. Maximum displacement of impactor in the low-velocity impact experiment of samples aging for 20 d at different hygrothermal temperatures
Ta/℃ Maximum displacement/mm 8 J 10 J 12 J 25 9.75 12.13 14.78 40 13.19 18.56 22.87 55 14.93 19.88 23.93 70 22.67 21.96 23.64 -
[1] 何艳斌. 航空复合材料典型结构低能量冲击损伤及动力响应研究 [D]. 广州: 华南理工大学, 2016.HE Y B. Research on low energy impact damage and dynamic response of aeronautic typical composite construction [D]. Guangzhou: South China University of Technology, 2016. [2] 孙子恒, 王继辉, 倪爱清, 等. 不同铺层复合材料夹芯结构低速冲击与冲击后剩余强度研究 [J]. 复合材料科学与工程, 2020(11): 102–110. doi: 10.3969/j.issn.1003-0999.2020.11.017SUN Z H, WANG J H, NI A Q, et al. Study on the low-speed impact performance and residual strength after impact of composite sandwich structure with different layup [J]. Composites Science and Engineering, 2020(11): 102–110. doi: 10.3969/j.issn.1003-0999.2020.11.017 [3] 吴盼, 阎建华, 俞建勇, 等. 碳纤/环氧复合材料层合板低速冲击损伤机理研究 [J]. 玻璃钢/复合材料, 2016(3): 31–37. doi: 10.3969/j.issn.1003-0999.2016.03.006WU P, YAN J H, YU J Y, et al. Low-velocity impact damage mechanism of carbon/epoxy composite laminates [J]. Fiber Reinforced Plastics/Composites, 2016(3): 31–37. doi: 10.3969/j.issn.1003-0999.2016.03.006 [4] GEMI D S, ŞAHIN Ö S, GEMI L. Experimental investigation of axial compression behavior after low velocity impact of glass fiber reinforced filament wound pipes with different diameter [J]. Composite Structures, 2022, 280: 114929. doi: 10.1016/j.compstruct.2021.114929 [5] MAZIZ A, TARFAOUI M, GEMI L, et al. A progressive damage model for pressurized filament-wound hybrid composite pipe under low-velocity impact [J]. Composite Structures, 2021, 276: 114520. doi: 10.1016/j.compstruct.2021.114520 [6] 王士杰, 孙泽玉, 陶雷, 等. PMI泡沫对碳纤维复合材料抗低速冲击性能的影响 [J]. 玻璃钢/复合材料, 2019(8): 53–58. doi: 10.3969/j.issn.1003-0999.2019.08.009WANG S J, SUN Z Y, TAO L, et al. Effect of PMI foam on low-velocity impact resistance of carbon fiber composites [J]. Fiber Reinforced Plastics/Composites, 2019(8): 53–58. doi: 10.3969/j.issn.1003-0999.2019.08.009 [7] 肖先林, 王长金, 赵桂平. 碳纤维复合材料-泡沫铝夹芯板的冲击响应 [J]. 振动与冲击, 2018, 37(15): 110–117. doi: 10.13465/j.cnki.jvs.2018.15.015XIAO X L, WANG C J, ZHAO G P. Dynamic responses of carbon fiber composite sandwich panels with aluminum foam core subjected to impact loading [J]. Journal of Vibration and Shock, 2018, 37(15): 110–117. doi: 10.13465/j.cnki.jvs.2018.15.015 [8] 程小全, 吴学仁. 复合材料层合板低速冲击损伤容限的改进方法和影响因素 [J]. 高分子材料科学与工程, 2002, 18(3): 20–25. doi: 10.3321/j.issn:1000-7555.2002.03.005CHENG X Q, WU X R. Methods for improving damage tolerance of composite laminates after low velocity impact and their influence factors [J]. Polymer Materials Science and Engineering, 2002, 18(3): 20–25. doi: 10.3321/j.issn:1000-7555.2002.03.005 [9] KAFODYA I, XIAN G J, LI H. Durability study of pultruded CFRP plates immersed in water and seawater under sustained bending: water uptake and effects on the mechanical properties [J]. Composites Part B: Engineering, 2015, 70: 138–148. doi: 10.1016/j.compositesb.2014.10.034 [10] 荆云娟, 张元, 赵领航, 等. 三维正交机织复合材料力学性能研究进展 [J]. 棉纺织技术, 2017, 45(3): 12–15. doi: 10.3969/j.issn.1001-7415.2017.03.004JING Y J, ZHANG Y, ZHAO L H, et al. Research progress on the mechanical property of three-dimensional orthogonality weaving composite material [J]. Cotton Textile Technology, 2017, 45(3): 12–15. doi: 10.3969/j.issn.1001-7415.2017.03.004 [11] BERGERET A, FERRY L, IENNY P. Influence of the fibre/matrix interface on ageing mechanisms of glass fibre reinforced thermoplastic composites (PA-6, 6, PET, PBT) in a hygrothermal environment [J]. Polymer Degradation and Stability, 2009, 94(9): 1315–1324. doi: 10.1016/j.polymdegradstab.2009.04.009 [12] 李晓骏, 陈新文. 复合材料加速老化条件下的力学性能研究 [J]. 航空材料学报, 2003, 23(Suppl 1): 286. doi: 10.3969/j.issn.1005-5053.2003.z1.073LI X J, CHEN X W. Study on aomposites mechanical properties under accelerated ageing conditions [J]. Journal of Aeronautical Materials, 2003, 23(Suppl 1): 286. doi: 10.3969/j.issn.1005-5053.2003.z1.073 [13] YU Y H, LI P, SUI G, et al. Effects of hygrothermal aging on the thermal-mechanical properties of vinylester resin and its pultruded carbon fiber composites [J]. Polymer Composites, 2009, 30(10): 1458–1464. doi: 10.1002/pc.20712 [14] JOHAR M, CHONG W W F, KANG H S, et al. Effects of moisture absorption on the different modes of carbon/epoxy composites delamination [J]. Polymer Degradation and Stability, 2019, 165: 117–125. doi: 10.1016/j.polymdegradstab.2019.05.007 [15] 樊威, 李嘉禄. 热氧老化对碳纤维织物增强聚合物基复合材料弯曲性能的影响 [J]. 复合材料学报, 2015, 32(5): 1260–1270. doi: 10.13801/j.cnki.fhc1xb.20141216.002FAN W, LI J L. Effects of thermo-oxidative aging on flexural properties of carbon fiber fabric reinforced polymer matrix composites [J]. Acta Materiae Compositae Sinica, 2015, 32(5): 1260–1270. doi: 10.13801/j.cnki.fhc1xb.20141216.002 [16] FAN W, LI J L, ZHENG Y Y, et al. Influence of thermo-oxidative aging on the thermal conductivity of carbon fiber fabric reinforced epoxy composites [J]. Polymer Degradation and Stability, 2016, 123: 162–169. doi: 10.1016/j.polymdegradstab.2015.11.016 [17] LEBLANC J, CAVALLARO P, TORRES J, et al. Low temperature effects on the mechanical, fracture, and dynamic behavior of carbon and E-glass epoxy laminates [J]. International Journal of Lightweight Materials and Manufacture, 2020, 3(4): 344–356. doi: 10.1016/j.ijlmm.2020.05.002 [18] 隋晓东, 梁成利, 刘文博, 等. 高温老化对碳纤维增强双马来酰亚胺树脂基复合材料力学性能的影响研究 [J]. 纤维复合材料, 2011, 28(1): 21–23. doi: 10.3969/j.issn.1003-6423.2011.01.004SUI X D, LIANG C L, LIU W B, et al. Effect of thermal-aging on the mechanical properties of carbon fiber reinforced bis-maleimide composite material [J]. Fiber Composites, 2011, 28(1): 21–23. doi: 10.3969/j.issn.1003-6423.2011.01.004 [19] 王登霞, 李晖, 刘亚平, 等. 玻璃纤维/溴化环氧乙烯基酯复合材料的加速光老化研究 [J]. 合成材料老化与应用, 2014, 43(1): 35–40. doi: 10.3969/j.issn.1671-5381.2014.01.011WANG D X, LI H, LIU Y P, et al. Accelerated light aging of glass fiber/brominated epoxy vinyl ester composites [J]. Synthetic Materials Aging and Application, 2014, 43(1): 35–40. doi: 10.3969/j.issn.1671-5381.2014.01.011 [20] 张晓云, 曹东, 陆峰, 等. T700/5224复合材料在湿热环境和化学介质中的老化行为 [J]. 材料工程, 2016, 44(4): 82–88. doi: 10.11868/j.issn.1001-4381.2016.04.014ZHANG X Y, CAO D, LU F, et al. Aging behavior of T700/5224 composite in hygrothermal environment and chemical media [J]. Journal of Materials Engineering, 2016, 44(4): 82–88. doi: 10.11868/j.issn.1001-4381.2016.04.014 [21] JEDIDI J, JACQUEMIN F, VAUTRIN A. Accelerated hygrothermal cyclical tests for carbon/epoxy laminates [J]. Composites Part A: Applied Science and Manufacturing, 2006, 37(4): 636–645. doi: 10.1016/j.compositesa.2005.05.007 [22] HADDAR N, KSOURI I, KALLEL T, et al. Effect of hygrothermal ageing on the monotonic and cyclic loading of glass fiber reinforced polyamide [J]. Polymer Composites, 2014, 35(3): 501–508. doi: 10.1002/pc.22688 [23] LI X M, WEITSMAN Y J. Sea-water effects on foam-cored composite sandwich lay-ups [J]. Composites Part B: Engineering, 2004, 35(6): 451–459. doi: 10.1016/j.compositesb.2004.04.012 [24] KATZMAN H A, CASTANEDA R M, LEE H S. Moisture diffusion in composite sandwich structures [J]. Composites Part A: Applied Science and Manufacturing, 2008, 39(5): 887–892. doi: 10.1016/j.compositesa.2008.01.005 [25] JOSHI N, MULIANA A. Deformation in viscoelastic sandwich composites subject to moisture diffusion [J]. Composite Structures, 2010, 92(2): 254–264. doi: 10.1016/j.compstruct.2009.07.021 [26] 王国建, 孙耀宁, 姜宏, 等. 湿热-高温循环老化对环氧乙烯基酯树脂/玻璃纤维复合材料性能影响 [J]. 工程塑料应用, 2020, 48(9): 121–126, 132. doi: 10.3969/j.issn.1001-3539.2020.09.022WANG G J, SUN Y N, JIANG H, et al. Influences of cyclic hygrothermal-thermal aging on properties of epoxy vinyl ester resin/glass fiber composites [J]. Engineering Plastics Application, 2020, 48(9): 121–126, 132. doi: 10.3969/j.issn.1001-3539.2020.09.022 [27] LIU J X, HE W T, XIE D, et al. The effect of impactor shape on the low-velocity impact behavior of hybrid corrugated core sandwich structures [J]. Composites Part B: Engineering, 2017, 111: 315–331. doi: 10.1016/j.compositesb.2016.11.060 [28] LI H, WANG Z Q, YU Z W, et al. The low velocity impact response of foam core sandwich panels with a shape memory alloy hybrid face-sheet [J]. Materials, 2018, 11(11): 2076. doi: 10.3390/ma11112076 [29] 毛南平, 陈中伟, 卞荣, 等. 纤维增强树脂基复合材料芯模拟湿热老化性能 [J]. 工程塑料应用, 2021, 49(1): 114–119. doi: 10.3969/j.issn.1001-3539.2021.01.022MAO N P, CHEN Z W, BIAN R, et al. Properties of fiber reinforced resin matrix composite cores simulating wet and hot aging [J]. Engineering Plastics Application, 2021, 49(1): 114–119. doi: 10.3969/j.issn.1001-3539.2021.01.022 [30] AL-SHAMARY A K J, KARAKUZU R, ÖZDEMIR O. Low-velocity impact response of sandwich composites with different foam core configurations [J]. Journal of Sandwich Structures & Materials, 2016, 18(6): 754–768. doi: 10.1177/1099636216653267 -

下载: