Influence of Pressed Connection on Accelerometer Signal Adhesion between Target Layers
-
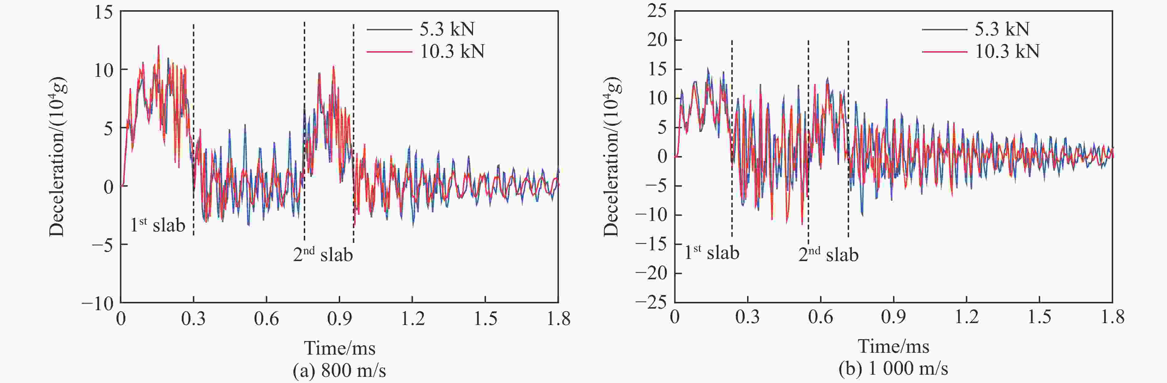
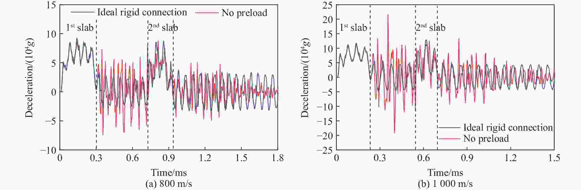
摘要: 引信控制技术是战斗部研制的关键技术之一,层间加速度信号粘连可能导致计层引信错误决策。针对含压装连接加速度测量装置在弹体侵彻多层靶时信号粘连的问题,依托数值仿真获得了弹体结构动态响应。计算结果显示:无预紧压装时,装置与弹体的动态间隙最大可达25 μm,形成间隙碰撞,加剧层间信号粘连;适当预紧压装可抑制层间间隙,使压装连接与理想刚性连接近似。适当预紧压装时,层间加速度计过载频响呈现单峰特征,响应频率峰值与弹体一阶伸缩固有频率接近。存在最小预紧力,可使压装连接与理想刚性连接近似,其值随撞击速度、靶板层数增加而增大。这是因为在层间阶段弹体中留存的应力波的最大值随撞击速度、靶板层数增加而增大。研究结论为压装连接时加速度层间信号粘连的机理识别与控制奠定了基础,同时也可在一定程度上指导压装连接的工程装配。Abstract: Fuze control is one of the key technologies in developing warhead. The signal adhesion of deceleration may lead to wrong response of layer-counting fuze. Based on numerical simulation, the dynamic response of a projectile connected with an accelerometer equipment by pressed fitting is obtained during the projectile perforating multi-layer target. It is indicated that the maximum dynamic gap between the accelerometer equipment and the projectile can reach to 25 μm, which may induce gap collision and increase the signal adhesion of the accelerometer between target layers. The pressed fitting with a proper preload could suppress the gap collision, and then the pressed fitting connection between warhead and accelerometer could be approximated as the ideal rigid connection. With the proper preload, the frequency response of the overload signal obtained by the accelerometer shows a single peak, and the corresponding frequency of the peak is close to the eigen frequency of the stretching out and drawing back in the first order of the projectile. There is a critical minimum preload that makes the pressed fitting connection approximate to the ideal rigid connection. The minimum preload increases with the impact velocity and the target layers quantity. This may be due to the fact that a higher impact velocity and a larger target layers quantity enhance the maximum stress of wave generated in the projectile. This work provides a foundation for the mechanism identification and the control of the deceleration signal adhesion in interlayers. Moreover, it can give a guidance to projectile and accelerometer equipment assembly with pressed connection in engineering applications.
-
表 1 弹体外壳、尾盖与测试装置外壳的材料参数[14–15]
Table 1. Material parameters for shell and rear cover of projectile and shell of accelerometer equipment[14–15]
Material ρ/(kg·m−3) G/GPa ν Tm/K cp/(J·kg−1·K−1) A/MPa B/MPa n TC4 4428 41.9 0.31 1 878 560 1098 1092 0.93 45CrNiMoV 7800 82 0.29 1 823 460 1410 1124 0.1954 Material C m D1 D2 D3 D4 D5 TC4 0.014 1.1 −0.09 0.27 0.48 0.014 3.87 45CrNiMoV 0.008786 0.5622 Material ρ/(kg·m−3) G/GPa ν σy/MPa Etan/MPa ${f{_{\rm{s} } }}$ Epoxy resin 1186 3.02 0.37 79.7 50 2.0 Material ρ/(kg·m−3) G/GPa a b c N fc/MPa T/MPa EFMIN Concrete 2300 13.67 0.79 1.6 0.007 0.61 41 3.6 0.01 Smax/MPa pcrush/MPa Ucrush plock/GPa Ulock D1 D2 K1/GPa K2/GPa K3/GPa 7 13.67 0.0081 0.8 0.1 0.04 1 85 −171 208 表 4 弹体以597 m/s正侵彻的数值仿真工况设计
Table 4. Different conditions of numerical simulations for normal impact at projectile velocity of 597 m/s
Case No. State depiction Preload force/kN Gap/mm Remarks 1 Ideal rigid connection δAB≡δCD≡0 Reference case 2 No preload 0 δAB=δCD=0 before impact Reference case 3 Preloaded 1.0 δAB=δCD=0 before impact 4 Preloaded 2.2 δAB=δCD=0 before impact 5 Preloaded 5.3 δAB=δCD=0 before impact 6 Preloaded 10.3 δAB=δCD=0 before impact 表 5 理想刚性连接时弹体典型的固有频率及振型描述
Table 5. Eigen frequency and vibration modes of projectile with ideal rigid connection
Case No. Eigen frequency/kHz Vibration mode 1 16.192 Axial first-order stretching mode of projectile 2 21.065 Bulging mode of projectile shell 3 25.606 Coupled vibration mode of projectile and accelerometer equipment 4 31.209 Axial first-order stretching mode of accelerometer equipment 5 33.042 Bulging mode of accelerometer equipment -
[1] 任辉启, 何翔, 刘瑞朝, 等. 弹体侵彻混凝土过载特性研究 [J]. 土木工程学报, 2005, 38(1): 110–116. doi: 10.3321/j.issn:1000-131X.2005.01.015REN H Q, HE X, LIU R C, et al. A study on the overload characteristics of projectile penetrating concrete [J]. China Civil Engineering Journal, 2005, 38(1): 110–116. doi: 10.3321/j.issn:1000-131X.2005.01.015 [2] 王杰, 李蓉, 黄惠东. 基于小波系数的粘连信号穿层特征提取方法 [J]. 探测与控制学报, 2016, 38(1): 13–17, 23.WANG J, LI R, HUANG H D. Layer penetrating adhesion signal characteristic extracting based on wavelet coefficients [J]. Journal of Detection & Control, 2016, 38(1): 13–17, 23. [3] 张海涛, 张康, 李朝阳, 等. 降低加速度信号粘连的传感器二次封装材料 [J]. 兵器装备工程学报, 2016, 37(7): 37–41, 73. doi: 10.11809/scbgxb2016.07.009ZHANG H T, ZHANG K, LI Z Y, et al. Secondary packaging materials to reduce the acceleration sensor signal blocking [J]. Journal of Ordnance Equipment Engineering, 2016, 37(7): 37–41, 73. doi: 10.11809/scbgxb2016.07.009 [4] 应怀樵, 沈松, 刘进明. 频率混叠在时域和频域现象中的研究 [J]. 振动、测试与诊断, 2006, 26(1): 1–4. doi: 10.3969/j.issn.1004-6801.2006.01.001YING H Q, SHEN S, LIU J M. Study on frequency aliasing in time and frequency domains [J]. Journal of Vibration Measurement & Diagnosis, 2006, 26(1): 1–4. doi: 10.3969/j.issn.1004-6801.2006.01.001 [5] 何丽灵, 高进忠, 陈小伟, 等. 弹体高过载硬回收测量技术的实验探讨 [J]. 爆炸与冲击, 2013, 33(6): 608–612. doi: 10.3969/j.issn.1001-1455.2013.06.008HE L L, GAO J Z, CHEN X W, et al. Experimental study on measurement technology for projectile deceleration [J]. Explosion and Shock Waves, 2013, 33(6): 608–612. doi: 10.3969/j.issn.1001-1455.2013.06.008 [6] ZHANG D M, GAO S Q, NIU S H, et al. Study on collision of threaded connection during impact [J]. International Journal of Impact Engineering, 2017, 106: 133–145. doi: 10.1016/j.ijimpeng.2017.03.012 [7] 李晓峰, 王亚斌, 吴碧. 侵彻弹药引信技术 [M]. 北京: 国防工业出版社, 2016.LI X F, WANG Y B, WU B. Fuze of penetration ammunition [M]. Beijing: National Defense Industry Press, 2016. [8] 宋英燕, 张京英, 李晓峰, 等. 两种连接结构动载荷传递特性的MATLAB仿真研究 [J]. 图学学报, 2013, 38(6): 809–813.SONG Y Y, ZHANG J Y, LI X F, et al. MATLAB simulation study on dynamic load transfer characteristics of two kinds of threaded connections [J]. Journal of Graphics, 2013, 38(6): 809–813. [9] FRANCO R J, PLATZBECKER M R. Miniature penetrator (MinPen) acceleration recorder development test [R]. Albuquerque: Sandia National Laboratories, 1998. [10] 电机工程手册编辑委员会. 机械工程手册(第5卷): 机械设计 [M]. 北京: 机械工业出版社, 1982. [11] 程祥利, 刘波, 赵慧, 等. 侵彻战斗部-引信系统动力学建模与仿真 [J]. 兵工学报, 2020, 41(4): 625–633. doi: 10.3969/j.issn.1000-1093.2020.04.001CHENG X L, LIU B, ZHAO H, et al. Dynamic modeling and simulation for penetration warhead-fuze system [J]. Acta Armamentarii, 2020, 41(4): 625–633. doi: 10.3969/j.issn.1000-1093.2020.04.001 [12] 程祥利, 赵慧, 李林川, 等. 基于机械振动理论的垂直侵彻弹靶作用模型 [J]. 爆炸与冲击, 2019, 39(9): 101–110.CHENG X L, ZHAO H, LI L C, et al. Projectile target response model for normal penetration process based on mechanical vibration theory [J]. Explosion and Shock Waves, 2019, 39(9): 101–110. [13] WU H, FANG Q, PENG Y, et al. Hard projectile perforation on the monolithic and segmented RC panels with a rear steel liner [J]. International Journal of Impact Engineering, 2015, 76: 232–250. doi: 10.1016/j.ijimpeng.2014.10.010 [14] HU X, XIE L J, GAO F N, et al. On the development of material constitutive model for 45CrNiMoVA ultra-high-strength steel [J]. Metals, 2019, 9(3): 374. doi: 10.3390/met9030374 [15] WANG X M, SHI J. Validation of Johnson-Cook plasticity and damage model using impact experiment [J]. International Journal of Impact Engineering, 2013, 60: 67–75. doi: 10.1016/j.ijimpeng.2013.04.010 [16] 辛春亮, 薛再清, 涂建, 等. 有限元分析常用材料参数手册 [M]. 北京: 机械工业出版社, 2020. [17] 方秦, 孔祥振, 吴昊, 等. 岩石Holmquist-Johnson-Cook模型参数的确定方法 [J]. 工程力学, 2014, 31(3): 197–204.FANG Q, KONG X Z, WU H, et al. Determination of Holmquist-Johnson-Cook constitutive model parameters of rock [J]. Engineering Mechanics, 2014, 31(3): 197–204. [18] 刘波, 杨黎明, 李东杰, 等. 侵彻弹体结构纵向振动频率特性分析 [J]. 爆炸与冲击, 2018, 38(3): 677–682.LIU B, YANG L M, LI D J, et al. Analysis of axial vibration frequency for projectile structure in penetration [J]. Explosion and Shock Waves, 2018, 38(3): 677–682. -

下载: