斜冲击下内凹六边形蜂窝结构的面内动态力学响应

刘勇 苏步云 刘浩伟 树学峰

刘勇, 苏步云, 刘浩伟, 树学峰. 斜冲击下内凹六边形蜂窝结构的面内动态力学响应[J]. 高压物理学报, 2022, 36(4): 044202. doi: 10.11858/gywlxb.20210895
引用本文: 刘勇, 苏步云, 刘浩伟, 树学峰. 斜冲击下内凹六边形蜂窝结构的面内动态力学响应[J]. 高压物理学报, 2022, 36(4): 044202. doi: 10.11858/gywlxb.20210895
LIU Yong, SU Buyun, LIU Haowei, SHU Xuefeng. In-Plane Dynamic Mechanical Response of Auxetic Hexagonal Honeycomb under Oblique Impact[J]. Chinese Journal of High Pressure Physics, 2022, 36(4): 044202. doi: 10.11858/gywlxb.20210895
Citation: LIU Yong, SU Buyun, LIU Haowei, SHU Xuefeng. In-Plane Dynamic Mechanical Response of Auxetic Hexagonal Honeycomb under Oblique Impact[J]. Chinese Journal of High Pressure Physics, 2022, 36(4): 044202. doi: 10.11858/gywlxb.20210895

斜冲击下内凹六边形蜂窝结构的面内动态力学响应

doi: 10.11858/gywlxb.20210895
基金项目: 国家自然科学基金(11772217,12102289)
详细信息
    作者简介:

    刘 勇(1995-),男,硕士研究生,主要从事弹塑性力学研究. E-mail:tyut0012@yeah.net

    通讯作者:

    树学峰(1964-),男,博士,教授,主要从事弹塑性力学研究. E-mail:shuxuefeng@tyut.edu.cn

  • 中图分类号: O347

In-Plane Dynamic Mechanical Response of Auxetic Hexagonal Honeycomb under Oblique Impact

  • 摘要: 基于内凹六边形蜂窝模型,对内凹六边形蜂窝结构在不同冲击倾角(0°~10°)与不同冲击速度(6~100 m/s)下的面内动态力学响应进行了系统研究。采用一种新的截面计算公式,能够反映斜冲击下蜂窝结构与冲击板接触面积的变化和斜冲击过程中应力从局部到整体的变化,有效地捕捉了蜂窝结构的初始峰值应力。研究结果表明:内凹六边形蜂窝结构在斜冲击与正冲击时的变形模式不同,在低速斜冲击下为局部变形,在中高速斜冲击下为整体变形,而在正冲击下均为整体变形。与正六边形蜂窝结构相比,内凹六边形蜂窝结构受到负泊松比效应的影响,在相同工况下内凹六边形蜂窝结构的变形晚于正六边形蜂窝结构,变形模式产生延迟。此外,结合能量吸收时程曲线,对比分析了两种截面计算方法下的平台应力。可为蜂窝结构在斜冲击下的承载和稳定性研究提供依据。

     

  • 图  内凹六边形蜂窝结构的斜冲击示意图

    Figure  1.  Schematic illustration of inclined impact of auxetic materials

    图  正六边形蜂窝结构沿$x$方向面内冲击变形模式

    Figure  2.  In-plane impact deformation mode of regular hexagonal honeycomb materials along the $x$ direction

    图  内凹六边形蜂窝结构在不同倾斜角度和冲击速度下的变形过程

    Figure  3.  Deformation of auxetic materials under different inclination angles and impact speeds

    图  变形模式分类

    Figure  4.  Classification of deformation modes

    图  正六边形蜂窝结构 (a) 与内凹六边形蜂窝结构 (b) 的变形对比

    Figure  5.  Comparison of deformation mode of regular hexagonal honeycomb (a) and auxetic materials (b)

    图  两种方法得到的应力-时程曲线对比

    Figure  6.  Comparison of stress-time curves obtained by two method

    图  不同冲击倾角下的应力-时程曲线

    Figure  7.  Stress-time curves under different impact angles

    图  不同冲击速度下的应力-时程曲线

    Figure  8.  Stress-time curves under different impact velocities

    图  两种方法表征的平台应力变化曲线

    Figure  9.  Plateau stress curves obtained by different methods

    图  10  冲击倾角对内凹六边形蜂窝结构能量吸收的影响

    Figure  10.  Influence of impact angle on energy absorption of auxetic materials

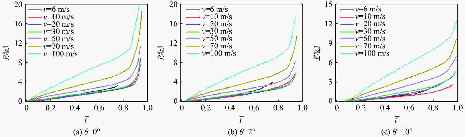
    图  11  冲击速度对内凹六边形蜂窝结构能量吸收的影响

    Figure  11.  Influence of impact velocity on energy absorption of auxetic materials

  • [1] 高玉魁. 负泊松比超材料和结构 [J]. 材料工程, 2021, 49(5): 38–47. doi: 10.11868/j.issn.1001-4381.2019.000391

    GAO Y K. Auxetic metamaterials and structures [J]. Journal of Materials Engineering, 2021, 49(5): 38–47. doi: 10.11868/j.issn.1001-4381.2019.000391
    [2] 姚永永, 苏步云, 肖革胜, 等. 内凹负泊松比蜂窝结构的面内双轴冲击响应 [J]. 高压物理学报, 2021, 35(2): 024201. doi: 10.11858/gywlxb.20200610

    YAO Y Y, SU B Y, XIAO G S, et al. In-plane biaxial impact response of re-entrant auxetic honeycomb [J]. Chinese Journal of High Pressure Physics, 2021, 35(2): 024201. doi: 10.11858/gywlxb.20200610
    [3] 白临奇, 史小全, 刘宏瑞, 等. 冲击载荷下箭头型负泊松比蜂窝结构动态吸能性能研究 [J]. 振动与冲击, 2021, 40(11): 70–77.

    BAI L Q, SHI X Q, LIU H R, et al. Dynamic energy absorption performance of arrow type honeycomb structure with negative Poisson’s ratio under impact load [J]. Journal of Vibration and Shock, 2021, 40(11): 70–77.
    [4] FU M H, CHEN Y, HU L L. A novel auxetic honeycomb with enhanced in-plane stiffness and buckling strength [J]. Composite Structures, 2017, 160: 574–585. doi: 10.1016/j.compstruct.2016.10.090
    [5] 任鑫, 张相玉, 谢亿民. 负泊松比材料和结构的研究进展 [J]. 力学学报, 2019, 51(3): 656–687. doi: 10.6052/0459-1879-18-381

    REN X, ZHANG X Y, XIE Y M. Research progress in auxetic materials and structures [J]. Chinese Journal of Theoretical and Applied Mechanics, 2019, 51(3): 656–687. doi: 10.6052/0459-1879-18-381
    [6] RUAN D, LU G, WANG B, et al. In-plane dynamic crushing of honeycombs—a finite element study [J]. International Journal of Impact Engineering, 2003, 28(2): 161–182. doi: 10.1016/S0734-743X(02)00056-8
    [7] LI Z, WANG T, JIANG Y, et al. Design-oriented crushing analysis of hexagonal honeycomb core under in-plane compression [J]. Composite Structures, 2018, 187: 429–438. doi: 10.1016/j.compstruct.2017.12.066
    [8] HOU X H, DENG Z C, ZHANG K. Dynamic crushing strength analysis of auxetic honeycombs [J]. Acta Mechanica Solida Sinica, 2016, 29(5): 490–501. doi: 10.1016/S0894-9166(16)30267-1
    [9] HU L L, ZHOU M Z, DENG H. Dynamic crushing response of auxetic honeycombs under large deformation: theoretical analysis and numerical simulation [J]. Thin-Walled Structures, 2018, 131: 373–384. doi: 10.1016/j.tws.2018.04.020
    [10] LIU W Y, WANG N L, LUO T, et al. In-plane dynamic crushing of re-entrant auxetic ellular structure [J]. Materials & Design, 2016, 100: 84–91.
    [11] LI Z, GAO Q, YANG S, et al. Comparative study of the in-plane uniaxial and biaxial crushing of hexagonal, re-entrant, and mixed honeycombs [J]. Journal of Sandwich Structures and Materials, 2019, 21(6): 1991–2013. doi: 10.1177/1099636218755294
    [12] 袁敏, 徐峰祥, 龚铭远. 梯度厚度负泊松比蜂窝材料面内冲击特性 [J]. 塑性工程学报, 2021, 28(6): 192–199.

    YUAN M, XU F X, GONG M Y. In-plane impact performance of honeycomb material with gradient thickness and negative Poisson’s ratio [J]. Journal of Plasticity Engineering. 2021, 28(6): 192–199.
    [13] 卫禹辰, 袁梦琦, 钱新明, 等. 爆炸冲击环境下内凹蜂窝型梯度结构响应特性研究 [J]. 中国安全生产科学技术, 2021, 17(1): 5–11.

    WEI Y C, YUAN M Q, QIAN X M, et al. Research on response characteristics of concave honeycomb gradient structure under explosive impact environment [J]. Journal of Safety Science and Technology, 2021, 17(1): 5–11.
    [14] REMENNIKOV A, KALUBADANAGE D, NGO T, et al. Development and performance evaluation of large-scale auxetic protective systems for localised impulsive loads [J]. International Journal of Protective Structures, 2019, 10(3): 390–417. doi: 10.1177/2041419619858087
    [15] WANG Z G, LU Z J, YAO S, et al. Deformation mode evolutional mechanism of honeycomb structure when undergoing a shallow inclined load [J]. Composite Structures, 2016, 147: 211–219. doi: 10.1016/j.compstruct.2016.02.057
    [16] 马芳武, 梁鸿宇, 赵颖, 等. 倾斜荷载下内凹三角形负泊松比材料的面内冲击动力学性能 [J]. 振动与冲击, 2020, 39(4): 81–87.

    MA F W, LIANG H Y, ZHAO Y, et al. In-plane dynamic crushing of concave triangles materials with negative Poisson’s ratio under inclined load [J]. Journal of Vibration and Shock, 2020, 39(4): 81–87.
    [17] DHARI R S, JAVANBAKHT Z, HALL W. On the deformation mechanism of re-entrant honeycomb auxetics under inclined static loads [J]. Materials Letters, 2021, 286: 129214. doi: 10.1016/j.matlet.2020.129214
    [18] DHARI R S, JAVANBAKHT Z, HALL W. On the inclined static loading of honeycomb re-entrant auxetics [J]. Composite Structures, 2021, 273(11): 114289.
    [19] 卢子兴, 李康. 手性和反手性蜂窝材料的面内冲击性能研究 [J]. 振动与冲击, 2017, 36(21): 16–22, 39.

    LU Z X, LI K. In-plane dynamic crushing of chiral and anti-chiral honeycombs [J]. Journal of Vibration and Shock, 2017, 36(21): 16–22, 39.
  • 加载中
图(11)
计量
  • 文章访问数:  1049
  • HTML全文浏览量:  621
  • PDF下载量:  52
出版历程
  • 收稿日期:  2021-10-27
  • 修回日期:  2021-11-11
  • 录用日期:  2022-03-15
  • 网络出版日期:  2022-06-23
  • 刊出日期:  2022-07-28

目录

    /

    返回文章
    返回