Damage Characteristics of Whipple Protective Structure Impacted by Water Droplets at Hypervelocity
-
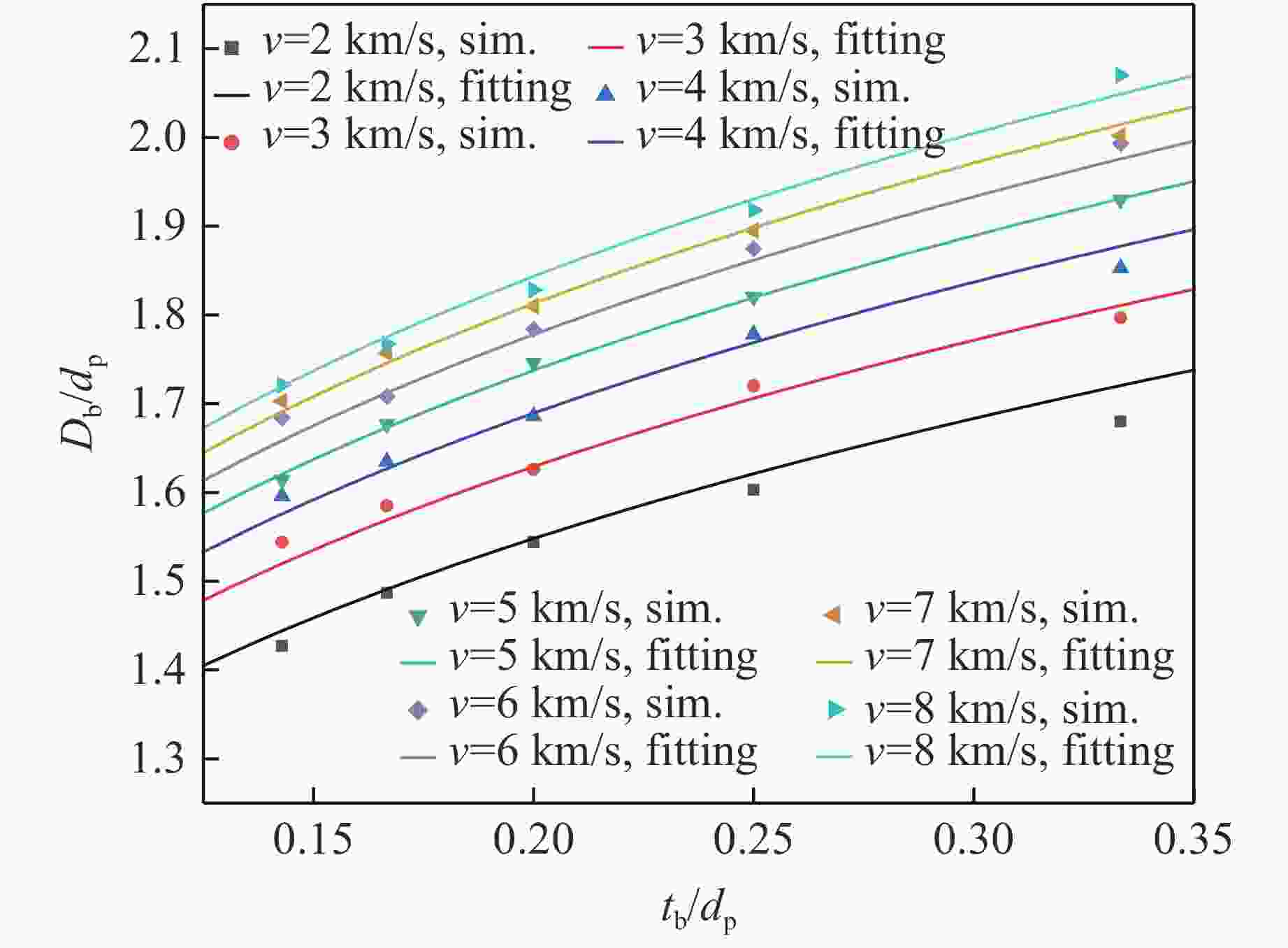
摘要: 采用水中泡大的高吸水性材料模拟水滴,开展了常温下直径为3.7和6.4 mm的球形水滴超高速正撞击典型Whipple防护结构(由缓冲板和效应板构成)的实验研究,得到了不同直径的水滴弹丸撞击下双层铝板的毁伤特性。采用LS-DYNA软件的有限元方法-光滑粒子流体动力学(finite element method-smoothed particle hydrodynamics, FEM-SPH)自适应方法对Whipple防护结构在直径为3~7 mm的水滴不同速度撞击下的毁伤特性进行了研究,分析了水滴直径、撞击速度、靶板厚度等因素的影响,给出了2~8 km/s速度范围内水滴超高速撞击铝板的无量纲穿孔直径经验公式,得到了3~7 mm水滴弹丸击穿Whipple防护结构所需的最低速度。
-
关键词:
- 水滴 /
- 超高速撞击 /
- FEM-SPH自适应方法 /
- 穿孔特性
Abstract: In this paper, an experimental study on spherical water droplets with diameters of 3.7 and 6.4 mm at hypervelocity impacting typical Whipple protection structure (consisting of a buffer plate and a effect plate) was carried out at room temperature, and the damage characteristics of the double-layer aluminum plate created by different diameter spherical water droplet projectile were obtained. The finite element method-smoothed particle hydrodynamics (FEM-SPH) adaptive method in LS-DYNA software was used to study the damage characteristics of the Whipple protective structure impacted by water droplets with diameters varing in the range of 3−7 mm at different velocities. The influences of water droplet diameter, impact velocity, target plate thickness and other factors on the damage charateristics were analyzed. An empirical formula of dimensionless perforation diameter of water droplet impacting aluminum plate was obtained at hypervelocity in the range of 2−8 km/s. The minimum velocities for different water droplet diameters varing in the range of 3−7 mm required for the Whipple protection structure was obtained. -
表 1 实验工况及参数
Table 1. Experimental conditions and parameters
No. dp/mm m/mg vp/(km∙s−1) tb/mm tw /mm S/mm 1 3.7 29.4 3.46 3 3 100 2 6.2 138.5 2.37 3 3 100 表 2 2A12铝的Johnson-Cook本构模型和失效模型参数
Table 2. Johnson-Cook constitutive and failure model parameters for 2A12 aluminum
$ \rho $/(g∙cm−3) G/GPa A/MPa B/MPa n C m 2.785 27.6 290 203 0.35 0.011 1.34 Tm/K D1 D2 D3 D4 D5 755 1 0 0 0 0 表 3 2A12铝的Grüneisen状态方程参数
Table 3. Grüneisen equation of state parameters for 2A12 aluminum
$ C $/(m∙s−1) S1 S2 S3 γ0 A0 E0 V0 5386 1.34 0 0 1.97 0 0 1.0 表 4 水滴的Elastic Plastic Hydro材料模型参数
Table 4. Elastic Plastic Hydro material model parameters for water droplets
$\,\rho$/(g∙cm−3) G/MPa Y/MPa Eh/MPa 1.11 17.6 12 0.001 表 5 数值模拟获得的穿孔尺寸与实验结果的对比
Table 5. Comparison of the perforation aperture size from numerical simulation and experiment
No. Experiment Simulation Error/
%2a/mm 2b/mm (a+b)/mm Db/mm 1 8.44 8.21 8.33 8.92 7.1 2 13.59 11.93 12.76 13.38 12.0 表 6 不同直径的水滴弹丸穿透Whipple结构的临界速度
Table 6. Critical velocities of water droplet projectiles with different diameters for penetrating Whipple structure
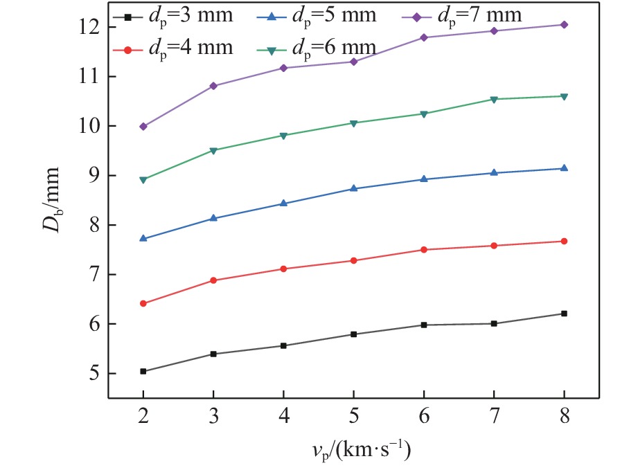
$ {d}_{\mathrm{p}} $/mm $ {v}_{\mathrm{p}0} $/(km·s−1) $ {d}_{\mathrm{p}} $/mm $ {v}_{\mathrm{p}0} $/(km·s−1) 3 7.0 6 5.0 4 6.5 7 4.0 5 5.8 -
[1] 闵桂荣, 肖名鑫. 防止微流星击穿航天器舱壁的可靠性设计 [J]. 中国空间科学技术, 1986(6): 45–51.MIN G R, XIAO M X. The reliability design to prevent meteors from penetrating spacecraft bulkhead [J]. Chinese Space Science and Technology, 1986(6): 45–51. [2] 姜东升, 郑世贵, 马宁, 等. 空间碎片和微流星对卫星太阳翼的撞击损伤及防护研究 [J]. 航天器工程, 2017, 26(2): 114–120. doi: 10.3969/j.issn.1673-8748.2017.02.016JIANG D S, ZHENG S G, MA N, et al. Study of space debris and meteoroid impact effects on spacecraft solar array [J]. Spacecraft Engineering, 2017, 26(2): 114–120. doi: 10.3969/j.issn.1673-8748.2017.02.016 [3] 李明, 龚自正, 刘国青. 空间碎片监测移除前沿技术与系统发展 [J]. 科学通报, 2018, 63(25): 2570–2591. doi: 10.1360/N972017-00880LI M, GONG Z Z, LIU G Q. Frontier technology and system development of space debris surveillance and active removal [J]. Chinese Science Bulletin, 2018, 63(25): 2570–2591. doi: 10.1360/N972017-00880 [4] MARCHI S, DURD D D, POLANSKEY C A, et al. Hypervelocity impact experiments in iron-nickel ingots and iron meteorites: implications for the NASA psyche mission [J]. Journal of Geophysical Research: Planets, 2020, 125(2): e2019JE005927. [5] 刘先应, 盖芳芳, 李志强, 等. 锥形弹丸超高速撞击防护屏的碎片云特性参数研究 [J]. 高压物理学报, 2016, 30(3): 249–257. doi: 10.11858/gywlxb.2016.03.011LIU X Y, GAI F F, LI Z Q, et al. Characteristic parameters of debris cloud produced by hypervelocity impact of conical projectiles on spacecraft shield [J]. Chinese Journal of High Pressure Physics, 2016, 30(3): 249–257. doi: 10.11858/gywlxb.2016.03.011 [6] 廖高健, 陈勇, 刘西, 等. 多孔火山岩超高速撞击蜂窝夹层板试验研究 [J]. 振动与冲击, 2018, 37(24): 1–6.LIAO G J, CHEN Y, LIU X, et al. An experimental investigation of porous volcano rock hypervelocity impact on honeycomb sandwich panels [J]. Journal of Vibration and Shock, 2018, 37(24): 1–6. [7] 李斌. 轻质脆性弹丸作用下的防护结构超高速撞击特性研究 [D]. 哈尔滨: 哈尔滨工业大学, 2010.LI B. The research on characteristics of shield structure under light brittle projectile hypervelocity impact [D]. Harbin: Harbin Institute of Technology, 2010. [8] 朱凼凼. 微流星体高速撞击航天器防护结构地面模拟实验研究 [D]. 哈尔滨: 哈尔滨工业大学, 2012.ZHU D D. Research on ground simulation experiment of micrometeoroid high-speed impaction on spacecraft shield [D]. Harbin: Harbin Institute of Technology, 2012. [9] PONIAEV S A, KURAKIN R O, SEDOV A I, et al. Hypervelocity impact of mm-size plastic projectile on thin aluminum plate [J]. Acta Astronautica, 2017, 135: 26–33. doi: 10.1016/j.actaastro.2016.11.011 [10] 单立, 郑世贵, 闫军. 冰粒超高速撞击蜂窝板的数值模拟研究 [J]. 实验流体力学, 2014, 28(3): 98−103.SHAN L, ZHENG S G, YAN J. Numerical simulation of honeycomb sandwich panel under hypervelocity impact of ice particle [J]. Journal of Experiments in Fluid Mechanics, 2014, 28(3): 98−103. [11] YUAN Q Z, ZHAO Y P. Hypervelocity impact of the icy droplet on al shell at nanoscale: a molecular dynamics probe [J]. Journal of Ningbo University (NSEE), 2012, 25(1): 94–97. [12] 王俊儒. 冰弹撞击CFRP复合材料的毁伤特性研究 [D]. 沈阳: 沈阳理工大学, 2020.WANG J R. Study on the damage characteristics of CFRP composites impacted by ice projectile [D]. Shenyang: Shenyang Ligong University, 2020. [13] 谭晓军, 冯晓伟, 胡艳辉, 等. 层状结构冰球的高速撞击特性实验 [J]. 爆炸与冲击, 2020, 40(11): 113301. doi: 10.11883/bzycj-2020-0047TAN X J, FENG X W, HU Y H, et al. Experimental investigation on characteristics of layered ice spheres under high-velocity impact [J]. Explosion and Shock Waves, 2020, 40(11): 113301. doi: 10.11883/bzycj-2020-0047 [14] 陈海波. 微流星体模拟材料超高速撞击航天器结构损伤特性研究 [D]. 哈尔滨: 哈尔滨工业大学, 2011.CHEN H B. Damage characteristics of micro-meteoroid imitation matrial hypervelocity impacting on the spacecraft [D]. Harbin: Harbin Institute of Technology, 2011. [15] PEREIRA J M, PADULA S A, REVILOCK D M, et al. Forces generated by high velocity impact of ice on a rigid structure: TM-2006-214263 [R]. Cleveland: NASA, 2006. [16] TIPPMANN J D, KIM H, RHYMER J D. Experimentally validated strain rate dependent material model for spherical ice impact simulation [J]. International Journal of Impact Engineering, 2013, 57: 43–54. doi: 10.1016/j.ijimpeng.2013.01.013 [17] BOTTKE W F, WALKER R J, DAY J, et al. The delivery of water to the lunar mantle by late planetesimal accretion (invited) [C]//AGU Fall Meeting Abstracts. Washington: AGU, 2010. [18] DALY R T, SCHULTZ P H. The delivery of water by impacts from planetary accretion to present [J]. Science Advances, 2018, 4(4): eaar2632. doi: 10.1126/sciadv.aar2632 [19] 马文来, 张伟, 管公顺, 等. 椭球弹丸超高速撞击防护屏碎片云数值模拟 [J]. 材料科学与工艺, 2005, 13(3): 294–298. doi: 10.3969/j.issn.1005-0299.2005.03.021MA W L, ZHANG W, GUAN G S, et al. Numerical simulation of debris cloud produced by ellipsoidal projectile hypervelocity impact on bumper [J]. Materials Science and Technology, 2005, 13(3): 294–298. doi: 10.3969/j.issn.1005-0299.2005.03.021 [20] 郑伟, 庞宝君, 彭科科, 等. 超高速正撞击溅射物实验与仿真研究 [J]. 高压物理学报, 2012, 26(6): 621–626. doi: 10.11858/gywlxb.2012.06.004ZHENG W, PANG B J, PENG K K, et al. Hypervelocity impact experiment and simulation for ejecta [J]. Chinese Journal of High Pressure Physics, 2012, 26(6): 621–626. doi: 10.11858/gywlxb.2012.06.004 [21] HE Q G, CHEN X W, CHEN J F. Finite element-smoothed particle hydrodynamics adaptive method in simulating debris cloud [J]. Acta Astronautica, 2020, 175: 99–117. doi: 10.1016/j.actaastro.2020.05.056 [22] 陈莹, 陈小伟. 改进的Whipple防护结构与相关数值模拟方法研究进展 [J]. 爆炸与冲击, 2021, 41(2): 30–56.CHEN Y, CHEN X W. A review on the improved Whipple shield and related numerical simulations [J]. Explosion and Shock Waves, 2021, 41(2): 30–56. [23] 谈庆明. 量纲分析 [M]. 合肥: 中国科学技术大学出版社, 2005.TAN Q M. Dimensional analysis [M]. Hefei: University of Science and Technology of China Press, 2005. [24] 管公顺. 航天器空间碎片防护结构超高速撞击特性研究 [D]. 哈尔滨: 哈尔滨工业大学, 2006.GUAN G S. Hypervelocity impact characteristic investigation of spacecraft space debris shield configuration [D]. Harbin: Harbin Institute of Technology, 2006. [25] 武强, 张庆明, 龙仁荣, 等. 含能材料防护屏在球形弹丸超高速撞击下的穿孔特性研究 [J]. 兵工学报, 2017, 38(11): 2126–2133. doi: 10.3969/j.issn.1000-1093.2017.11.007WU Q, ZHANG Q M, LONG R R, et al. Perforation characteristics of energetic material shield induced by hypervelocity impact of spherical projectile [J]. Acta Armamentarii, 2017, 38(11): 2126–2133. doi: 10.3969/j.issn.1000-1093.2017.11.007 [26] 才源, 庞宝君, 迟润强, 等. 高压气体对靶板穿孔及其碎片云运动和致损效应影响研究 [J]. 振动与冲击, 2019, 38(19): 31–37.CAI Y, PANG B J, CHI R Q, et al. Influences of high pressure gas on target perforation and its debris cloud motion and damage effect [J]. Journal of Vibration and Shock, 2019, 38(19): 31–37. -

下载:

