Parameter Fitting of Flyer Impact Initiation Criteria of JO-9C(Ⅲ) Explosive
-
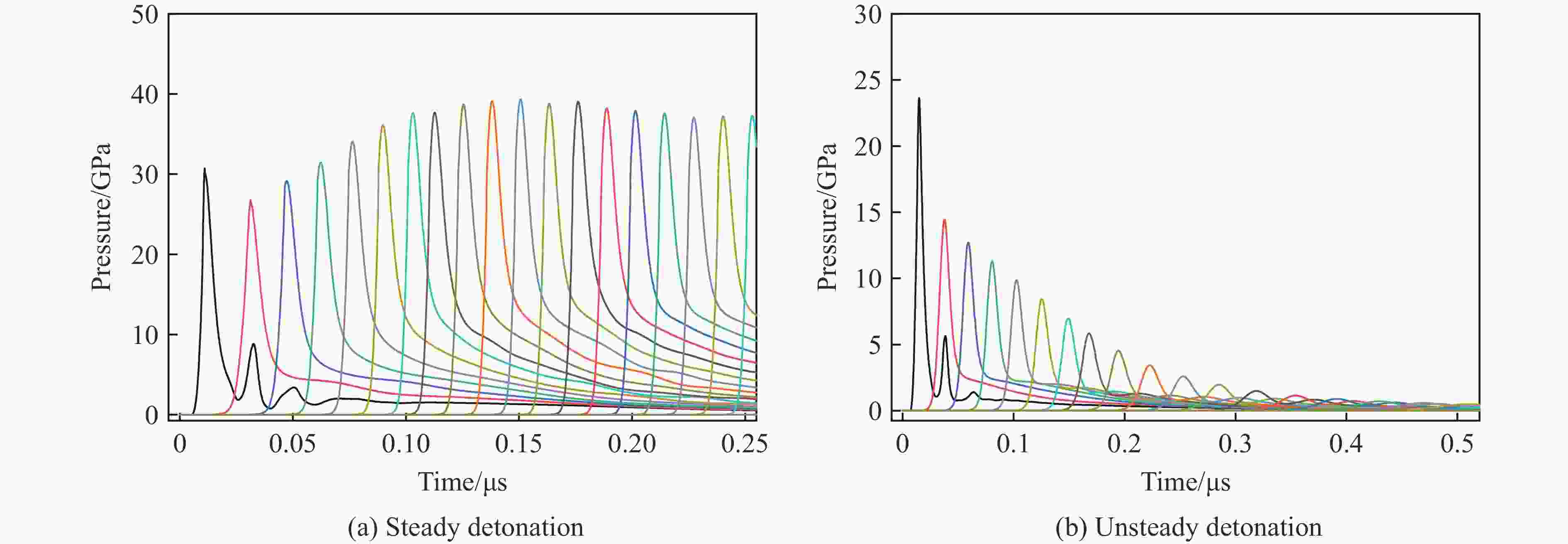
摘要: 针对JO-9C(Ⅲ)炸药的冲击起爆判据参数缺失问题,结合理论模型和模拟计算结果,拟合得到了JO-9C(Ⅲ)炸药的3种不同形式的起爆判据参数。利用AUTODYN软件,建立了不同尺寸钛飞片冲击起爆JO-9C(Ⅲ)炸药的数值模型,得到不同尺寸钛飞片起爆JO-9C(Ⅲ)炸药的临界速度。根据冲击起爆理论和飞片临界起爆速度,计算出JO-9C(Ⅲ)炸药内入射冲击波的波阵面参量,再结合p-τ、James和Π-τ 3种起爆判据形式,拟合得到JO-9C(Ⅲ)炸药的起爆判据参数,起爆判据参数的拟合精度从高到低依次为Π-τ、p-τ、James。Abstract: Aiming at the parameter missing problem of the shock initiation criteria of JO-9C(Ⅲ) explosive, parameters of three different forms of initiation criteria of JO-9C(Ⅲ) explosive were obtained by fitting the theoretical model and simulation results. The simulation models of shock initiation of JO-9C(Ⅲ) explosive with different sizes of titanium flyer were established by AUTODYN software, and the critical velocities for shock initiation of JO-9C(Ⅲ) explosive with different sizes of titanium flyers were obtained. The incident shock wave front parameters of JO-9C(Ⅲ) were calculated based on the shock initiation theory and critical initiation velocities of flyers. Combined with the three initiation criteria forms of p-τ, James, and Π-τ, the corresponding initiation criteria parameters of JO-9C(Ⅲ) explosive were fitted. The parameters fitting accuracy of the three initiation criterion from high to low is Π-τ, p-τ, James.
-
Key words:
- JO-9C(Ⅲ) /
- initiation criterion /
- titanium flyer /
- ignition and growth model
-
表 1 冲击波参数的实验与理论计算结果比较
Table 1. Comparison between experimental and theoretical results of shock wave parameters
Material δf/μm vf/(km·s−1) p τ Exp./GPa Calc./GPa Error/% Exp./ns Calc./ns Error/% Polyimide 25 2.96 11.1[21] 11.13 −0.83 10.7[21] 10.06 −5.97 25 2.84 9.8[8] 10.43 6.44 11.0[8] 10.26 −6.70 76 1.84 5.3[8] 5.43 2.44 38.0[8] 37.37 −1.67 140 1.51 4.0[8] 4.09 2.21 75.0[8] 73.54 −1.95 165 1.53 4.1[8] 4.17 1.59 97.0[8] 87.51 −9.78 254 1.46 3.8[8] 3.90 2.60 137.0[8] 134.80 −1.61 Aluminium 3.0 3.66 27.1[21] 29.22 7.82 1.6[21] 1.64 2.19 3.5 3.30 23.1[21] 24.21 4.81 1.9[21] 2.01 5.86 4.0 3.16 21.6[21] 22.39 3.65 2.2[21] 2.35 6.82 4.5 2.92 19.1[21] 19.43 1.72 2.6[21] 2.83 8.74 5.0 2.77 17.7[21] 17.68 −0.09 2.9[21] 3.16 9.08 表 2 JO-9C(Ⅲ)炸药和飞片的冲击Hugoniot参数
Table 2. Shock Hugoniot parameters of JO-9C(Ⅲ) booster and flyers
表 3 JO-9C(Ⅲ)炸药的JWL状态方程参数[28]
Table 3. Parameters of JWL equation of state for JO-9C(Ⅲ) explosive[28]
Desity/(g·cm−3) State of explosive DCJ/(m·s−1) pCJ/GPa A*/TPa B*/GPa R1 R2 ω* E0/(GJ·m−3) 1.71 Unreacted 952 −5.94 14.10 1.41 0.89 −0.15 Product 7983 26.17 0.65 0.15 4.60 1.30 0.38 10.50 表 4 JO-9C(Ⅲ)炸药的反应速率方程参数[28]
Table 4. Parameters of the reaction rate equation for JO-9C(Ⅲ) explosive[28]
I b a* x* G1 c* d* y* G2 e g z 44 0.222 0 4 0 0 0 0 2390 0.222 0.667 2 表 5 约束和飞片的冲击状态方程参数
Table 5. Parameters of the shock equation of state for the constraint and flyer
Material Desity/(g·cm−3) Γ C0/(km·s−1) S0 Steel 1006 7.90 2.17 4.6 1.49 Titanium 4.51 1.09 5.2 0.77 -
[1] WALKER F E, WASLEY R J. Critical energy for shock initiation of heterogeneous explosive [J]. Explosivstoffe, 1969, 17(1): 9–13. [2] WALKER F E, WASLEY R J. A General model for the shock initiation of explosives [J]. Propellants, Explosives, Pyrotechnics, 1976, 1(4): 73–80. doi: 10.1002/prep.19760010403 [3] JAMES H R. Critical energy criterion for the shock Initiation of explosives by projectile impact [J]. Propellants, Explosives, Pyrotechnics, 1988, 13(2): 35–41. doi: 10.1002/prep.19880130202 [4] JAMES H R. An extension to the critical energy criterion used to predict shock initiation thresholds [J]. Propellants, Explosives, Pyrotechnics, 1996, 21(1): 8–13. doi: 10.1002/prep.19960210103 [5] WELLE E J, MOLEK C D, WIXOM R R, et al. Microstructural effects on the ignition behavior of HMX [J]. Journal of Physics: Conference Series, 2014, 500(5): 052049. doi: 10.1088/1742-6596/500/5/052049 [6] KIM S, MILLER C, HORIE Y, et al. Computational prediction of probabilistic ignition threshold of pressed granular octahydro-1, 3, 5, 7-tetranitro-1, 2, 3, 5-tetrazocine (HMX) under shock loading [J]. Journal of Applied Physics, 2016, 120(11): 115902. doi: 10.1063/1.4962211 [7] BOWDEN M D, MAISEY M P. Determination of critical energy criteria for hexanitrostilbene using laser-driven flyer plates [C]//Proceedings of SPIE 7070, Optical Technologies for Arming, Safing, Fuzing, and Firing Ⅳ. San Diego: SPIE, 2008: 707004. [8] SCHWARZ A C. Study of factors which influence the shock-initiation sensitivity of hexanitrostilbene (HNS) [R]. Albuquerque: Sandia National Laboratories, 1981. [9] BOWDEN M D. A volumetric approach to shock initiation of hexanitrostilbene and pentaerythritol etranitrate [C]//Proceedings of the Conference of the American Physical Society Topical Group on Shock Compression of Condensed Matter. St. Louis, MO, USA, 2017. [10] 莫建军, 王桂吉, 吴刚, 等. 炸药TATB/粘结剂的短脉冲冲击起爆阈值测量 [J]. 实验力学, 2010, 25(1): 41–46.MO J J, WANG G J, WU G, et al. Measurement of the short-duration pulse shock initiation thresholds for TATB explosive/adhesive [J]. Journal of Experimental Mechanics, 2010, 25(1): 41–46. [11] 同红海, 奥成刚, 韩克华, 等. 超细HNS-Ⅳ炸药的窄脉冲起爆判据研究 [J]. 火工品, 2011(2): 32–36. doi: 10.3969/j.issn.1003-1480.2011.02.009TONG H H, AO C G, HAN K H, et al. Study on the short pulse initiation criterion of ultrafine HNS-Ⅳ explosive [J]. Initiators & Pyrotechnics, 2011(2): 32–36. doi: 10.3969/j.issn.1003-1480.2011.02.009 [12] 张凡, 张蕊, 解瑞珍, 等. 凝聚态炸药冲击起爆判据的分析与评价 [J]. 北京理工大学学报, 2017, 37(Suppl 2): 21–24.ZHANG F, ZHANG R, XIE R Z, et al. Analysis and assessment on shock initiation criterion for condensed explosives [J]. Transactions of Beijing Institute of Technology, 2017, 37(Suppl 2): 21–24. [13] 钱石川, 甘强, 任志伟, 等. HNS-Ⅳ炸药一维冲击起爆判据的研究 [J]. 含能材料, 2018, 26(6): 495–501. doi: 10.11943/j.issn.1006-9941.2018.06.006QIAN S C, GAN Q, REN Z W, et al. Study on one-dimensional shock initiation criterion of HNS-Ⅳ explosive [J]. Chinese Journal of Energetic Materials, 2018, 26(6): 495–501. doi: 10.11943/j.issn.1006-9941.2018.06.006 [14] 郭俊峰, 曾庆轩, 李明愉, 等. HNS-Ⅳ炸药的短脉冲冲击起爆判据 [J]. 高压物理学报, 2018, 32(2): 025101. doi: 10.11858/gywlxb.20170582GUO J F, ZENG Q X, LI M Y, et al. Short pulse shock initiation criteria for HNS-Ⅳ explosive [J]. Chinese Journal of High Pressure Physics, 2018, 32(2): 025101. doi: 10.11858/gywlxb.20170582 [15] 覃锦程, 裴红波, 李星翰, 等. 弹黏塑性热点模型的冲击起爆临界条件 [J]. 高压物理学报, 2018, 32(3): 035202. doi: 10.11858/gywlxb.20170656QIN J C, PEI H B, LI X H, et al. Shock initiation thresholds of heterogeneous explosives with elastic-visco-plastic hot spot model [J]. Chinese Journal of High Pressure Physics, 2018, 32(3): 035202. doi: 10.11858/gywlxb.20170656 [16] 王万军, 祝明水, 郭菲, 等. 高压短脉冲作用下HNS-IV型炸药的全发火冲击起爆判据 [J]. 含能材料, 2020, 28(6): 569–575. doi: 10.11943/CJEM2019234WANG W J, ZHU M S, GUO F, et al. Parameters of the all-fire shock initiation criterion for HNS-Ⅳ explosive under the impact of a short-duration high pressure pulse [J]. Chinese Journal of Energetic Materials, 2020, 28(6): 569–575. doi: 10.11943/CJEM2019234 [17] GREEN L G, NIDICK E J JR, LONGWITH J D. Shock initiation of PBXN-5 and PBX-9604: UCRL-52273 [R]. Livermore: California University, 1997. [18] 袁俊明, 李硕, 刘玉存, 等. 聚奥-9C装药的传爆管殉爆 [J]. 爆炸与冲击, 2018, 38(3): 632–638. doi: 10.11883/bzycj-2016-0293YUAN J M, LI S, LIU Y C, et al. Sympathetic detonation of booster pipe with JO-9C charge [J]. Explosion and Shock Waves, 2018, 38(3): 632–638. doi: 10.11883/bzycj-2016-0293 [19] 孙国祥, 戴蓉兰, 陈鲁英, 等. 国内外传爆药的发展概况-传爆药的品种发展 [J]. 现代引信, 1995(1): 56–63.SUN G X, DAI R L, CHEN L Y, et al. Development overview of booster explosive of domestic and abroad-variety development of booster explosive [J]. Journal of Detection & Control, 1995(1): 56–63. [20] HASKINS P J, COOK M D. A modified criterion for the prediction of shock initiation thresholds for flyer plate and rod impacts [C]//14th International Detonation Symposium. Sevenoaks, Kent, UK, 2010. [21] BOWDEN M D, MAISEY M P, KNOWLES S L. Shock initiation of hexanitrostilbene at ultra-high shock pressures and critical energy determination [J]. AIP Conference Proceedings, 2012, 1426(1): 615. [22] HU L S, LIANG K L, LIU Y, et al. The p-t relationship between booster pellet and main charge under shock wave initiation [J]. International Journal of Energetic Materials and Chemical Propulsion, 2021, 20(2): 33–46. doi: 10.1615/IntJEnergeticMaterialsChemProp.2021037566 [23] HUGONIST S. Report LA-4167-MS, group GMX-6 [R]. Los Alamos: Los Alamost Scientific Laboratory, 1969. [24] GOVEAS S G, MILLETT J C F. One-dimensional shock and detonation characterization of ultra-fine hexanitrostilbene [C]//Proceedings of the Conference of the American Physical Soceiety Topical Group on Shock Compression of Condensed Matter. Baltimore, Maryland, 2005: 1065−1068. [25] TARVER C M, CHIDESTER S K. Ignition and growth modeling of short pulse shock initiation experiments on fine particle hexanitrostilbene (HNS) [J]. Journal of Physics: Conference Series, 2014, 500(5): 052044. doi: 10.1088/1742-6596/500/5/052044 [26] 郭俊峰, 曾庆轩, 李明愉, 等. 飞片材料对微装药驱动飞片形貌的影响 [J]. 高压物理学报, 2017, 31(3): 315–320. doi: 10.11858/gywlxb.2017.03.014GUO J F, ZENG Q X, LI M Y, et al. Influence of flyer material on morphology of flyer driven by micro charge [J]. Chinese Journal of High Pressure Physics, 2017, 31(3): 315–320. doi: 10.11858/gywlxb.2017.03.014 [27] 孙承纬, 韦玉章, 周之奎. 应用爆轰物理 [M]. 北京: 国防工业出版社, 2000: 286−296.SUN C W, WEI Y Z, ZHOU Z K. Applied detonation physics [M]. Beijing: National Defense Industry Press, 2000: 286−296. [28] 杨小玉. 典型爆炸逻辑网络的数值模拟与可靠性分析研究 [D]. 北京: 北京理工大学, 2018: 9−12.YANG X Y. Study on the numerical simulation and reliability analysis of a typical explosive logic circuit [D]. Beijing: Beijing Institute of Technology, 2018: 9−12. [29] 门建兵, 蒋建伟, 王树有. 爆炸冲击数值模拟技术基础 [M]. 北京: 北京理工大学出版社, 2015: 140−141, 146.MEN J B, JIANG J W, WANG S Y. Fundamentals of numerical simulation for explosion and shock problems [M]. Beijing: Beijing University of Technology Press, 2015: 140−141, 146. -

下载: