Damage Boundary of Crystal Oscillator under Shock Environment
-
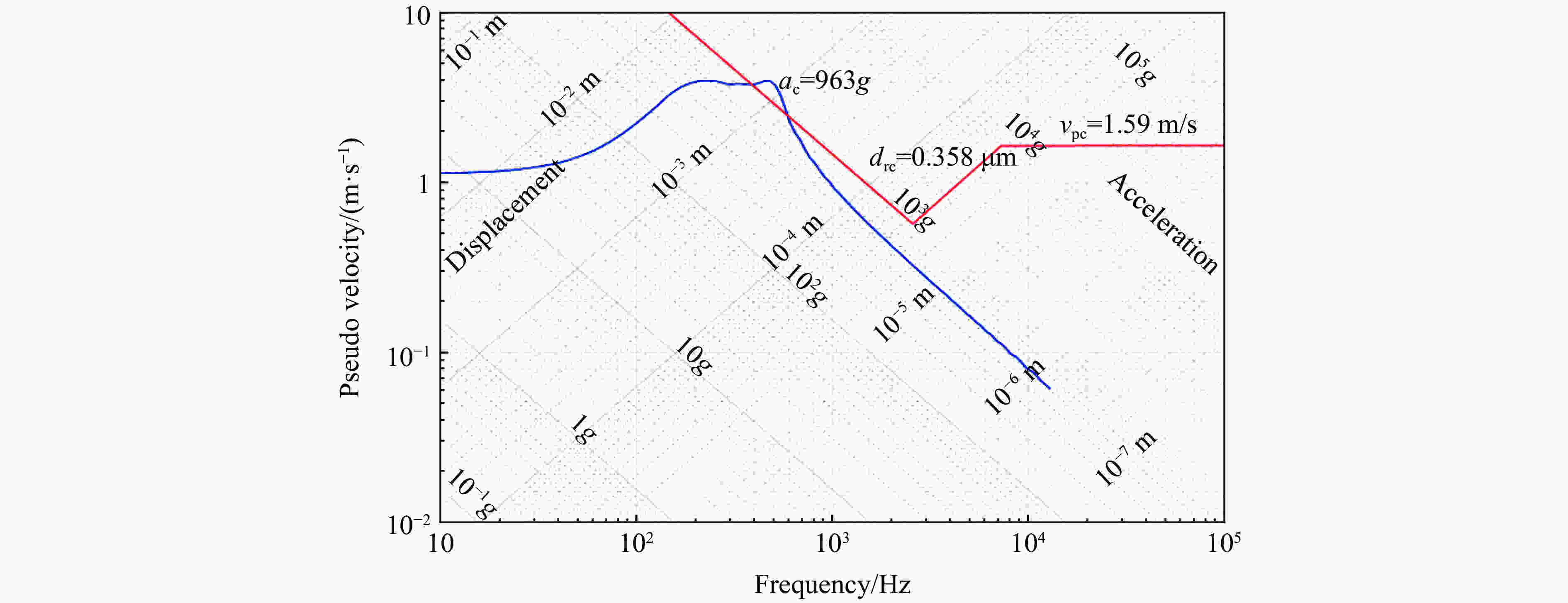
摘要: 贴片式石英晶体振荡器广泛应用于各类电子和通信设备系统中。针对晶振在冲击环境中容易出现结构破坏而导致系统工作异常的问题,通过分析单自由度系统在不同频率冲击载荷作用下的响应特点,建立了结构的应力响应水平与相关冲击响应谱谱值之间的联系,获得了较已有结论更合理的损伤边界形式。根据典型晶振结构易损组件的力学特性建立对应的简化分析模型,得到了贴片晶振在大频率范围内的结构损伤边界。利用有限元仿真软件,对晶振结构在0.5~30 kHz频率范围内冲击载荷下的响应进行仿真分析,验证了该损伤边界的有效性。这也为以贴片晶振为代表的微小元器件在冲击环境下的可靠性研究提供了一种可行的方法。Abstract: The surface mounted devices (SMD) crystal oscillator is widely used in various electrical and communication equipment or systems. The crystal oscillator is prone to structural damage under shock environment, which may results in abnormal operation of the system. The relationship between the level of structural stress response and the value of related shock response spectrum (SRS) is established and a more reasonable damage boundary form is obtained by analyzing the response characteristics of the single-degree-of-freedom (SDOF) system under shock loads with different frequencies. Based on the mechanical characteristics of the vulnerable component of a typical crystal oscillator, the corresponding simplified analytical model is established, and its structural damage boundary in a large frequency range is obtained. The finite element simulation software is used to simulate the response of crystal oscillator structure under shock loads within the frequency range of 0.5–30 kHz to verify the effectiveness of the structural damage boundary. This paper also provides a feasible method for the reliability study of various micro-components represented by SMD crystal oscillator under shock environment.
-
表 1 模型尺寸
Table 1. Geometrical dimensions of the model
Structure module Length/mm Width/mm Height/mm Structure module Length/mm Width/mm Height/mm Crystal plate 5.0 3.2 0.08 Pad 1.4 1.1 0.05 Conductive adhesive 0.4 0.4 0.20 Lid 6.0 4.0 0.10 Electrode 2.0 1.5 0.02 Circuit block 1 4.0 2.2 0.30 Packaging base 7.0 5.0 1.80 Circuit block 2 0.3 1.2 0.50 表 2 有限元模型中的材料参数
Table 2. Material parameters in finite element model
Module Material Elastic modulus/GPa Density/(g·cm−3) Poisson’s ratio Tensile strength/MPa Crystal plate Quartz [Cpq][21] 2.65 40 Integrated circuit Silicon 13.0 2.33 0.28 Electrode Silver 73.2 10.53 0.38 Packaging base Phenolic resin 2.0–2.9 1.25–1.30 0.35–0.38 Lid Packfong 100.8 8.70 0.37 Conductive adhesive Epoxy polymer 2.9 2.52 0.34 Pad SnAgCu solder 41.6 8.74 0.40 表 3 晶片的各阶模态频率
Table 3. Modal frequencies of the crystal plate
Modal
orderNatural
frequency/kHzEffective mass in
normal direction/kgP Modal
orderNatural
frequency/kHzEffective mass in
normal direction/kgP 1 2.585 3.26288 × 10−6 1.00000 9 73.438 1.13510 × 10−8 0.00348 2 12.479 7.97027 × 10−9 0.00244 10 89.044 4.91526 × 10−8 0.01506 3 16.898 8.92118 × 10−7 0.27341 11 106.386 3.74328 × 10−9 0.00115 4 36.781 1.54332 × 10−8 0.00473 12 114.336 1.38521 × 10−10 0.00004 5 42.546 3.24468 × 10−7 0.09944 13 120.211 2.83863 × 10−9 0.00087 6 56.597 4.45802 × 10−11 0.00001 14 127.139 2.82303 × 10−8 0.00865 7 61.552 5.64709 × 10−9 0.00173 15 145.952 2.23781 × 10−10 0.00007 8 69.982 1.17592 × 10−7 0.03604 -
[1] VIG J R, AUDOIN C, CUTLER L S, et al. Acceleration, vibration and shock effects-IEEE standards project P1193 [C]//Proceedings of 1992 IEEE Frequency Control Symposium. Hershey: IEEE, 1992: 763−781. DOI: 10.1109/FREQ.1992.269960. [2] FILLER R L. The acceleration sensitivity of quartz crystaloscillators: a review [J]. IEEE Transactions on Ultrasonics, Ferroelectrics, and Frequency Control, 1988, 35(3): 297–305. doi: 10.1109/58.20450 [3] 冷国俊, 陈睿, 何著, 等. 晶振加速度敏感性矢量计算及耦合机理研究 [J]. 应用数学和力学, 2014, 35(Suppl 1): 65–69.LENG G J, CHEN R, HE Z, et al. Research on crystal acceleration sensitivity vectorcalculation and coupling mechanism [J]. Applied Mathematics and Mechanics, 2014, 35(Suppl 1): 65–69. [4] 邱士起, 牛少华, 高世桥. 冲击载荷下石英晶体振荡器失效机理分析 [J]. 兵工学报, 2016, 37(Suppl 2): 96–100.QIU S Q, NIU S H, GAO S Q. Failure mechanism analysis of quartz crystal oscillators under impact load [J]. Acta Armamentarii, 2016, 37(Suppl 2): 96–100. [5] 李乐, 祖静, 徐鹏. EXO3晶振与KSS晶振在高过载下的失效特性分析 [J]. 中国测试技术, 2007, 33(3): 88–90. doi: 10.3969/j.issn.1674-5124.2007.03.029LI L, ZU J, XU P. Failure mechanism of crystal oscillator EXO3 and KSS under high shock [J]. China Measurement Technology, 2007, 33(3): 88–90. doi: 10.3969/j.issn.1674-5124.2007.03.029 [6] MOENINGC J. Pyrotechnic shock flight failures [C]//Proceedings of the 31st Annual Technical Meeting of the Institute of Environmental Sciences. Las Vegas, 1985: 4−5. [7] 赵小龙, 马铁华, 范锦彪. 弹载常用芯片在高g值冲击下的失效分析 [J]. 仪器仪表学报, 2013, 34(10): 2358–2364.ZHAO X L, MA T H, FAN J B. Failure analysis of common missile-borne chip in high g shock [J]. Chinese Journal of Scientific Instrument, 2013, 34(10): 2358–2364. [8] 鲍爱达, 陈员娥, 李长龙, 等. 弹载加速度记录仪在冲击环境下的失效研究 [J]. 振动与冲击, 2013, 32(13): 182–186, 196. doi: 10.3969/j.issn.1000-3835.2013.13.034BAO A D, CHEN Y E, LI C L, et al. Failure study on a missile accelerometer recorder under shock environment [J]. Journal of Vibration and Shock, 2013, 32(13): 182–186, 196. doi: 10.3969/j.issn.1000-3835.2013.13.034 [9] 杨磊, 秦玉浩, 蒋韦, 等. 星载高稳晶振的减振设计 [J]. 空间电子技术, 2016, 13(5): 9–13. doi: 10.3969/j.issn.1674-7135.2016.05.003YANG L, QIN Y H, JIANG W, et al. Vibration attenuation design of OCXO for aerospace applications [J]. Space Electronic Technology, 2016, 13(5): 9–13. doi: 10.3969/j.issn.1674-7135.2016.05.003 [10] 徐鹏. 高g值加速度作用下晶振的失效机理分析 [J]. 中北大学学报(自然科学版), 2010, 31(4): 424–428. doi: 10.3969/j.issn.1673-3193.2010.04.022XU P. Failure mechanical analysis of crystal oscillator under high g acceleration [J]. Journal of North University of China (Natural Science Edition), 2010, 31(4): 424–428. doi: 10.3969/j.issn.1673-3193.2010.04.022 [11] 刘晨, 张欢, 朱剑涛, 等. 航天器电子产品抗火工冲击环境设计方法 [J]. 航天器工程, 2018, 27(3): 45–51. doi: 10.3969/j.issn.1673-8748.2018.03.007LIU C, ZHANG H, ZHU J T, et al. Design to resist pyroshock environment for space electronic unit [J]. Spacecraft Engineering, 2018, 27(3): 45–51. doi: 10.3969/j.issn.1673-8748.2018.03.007 [12] 马爱军, 石蒙, 刘洪英, 等. 应用谐振装置在电动振动台上实现高量级冲击响应谱的仿真研究 [J]. 航天器环境工程, 2011, 28(5): 427–430. doi: 10.3969/j.issn.1673-1379.2011.05.004MA A J, SHI M, LIU H Y, et al. Simulations of high level shock response spectrum test using resonant fixtureon an electrodynamics shaker [J]. Spacecraft Environment Engineering, 2011, 28(5): 427–430. doi: 10.3969/j.issn.1673-1379.2011.05.004 [13] GABERSON H A. Pseudo velocity shock spectrum rules for analysis of mechanical shock [C]//Proceedings of IMAC XXV. Orlando: Society of Experimental Mechanics, 2007: 367−402. [14] GABERSON H A. Half sine shock tests to assure machinery survival in explosive environments [EB/OL]. (2013–04–15) [2020–04–26]. http://www.vibrationdata.com/tutorials2/HSS_test.pdf. [15] IRVINE T. Shock severity limits for electronic component [EB/OL]. (2014–06–27)[2020–04–26]. http://vibrationdata.com/tutorials2/shock_severity_electronics.pdf. [16] LI B W, LI Q M. Damage boundary of structural components under shock environment [J]. International Journal of Impact Engineering, 2018, 118: 67–77. doi: 10.1016/j.ijimpeng.2018.04.002 [17] ALEXANDER J E. Shock response spectrum: a primer [J]. Sound & Vibration, 2015, 43(6): 6–14. [18] SRIKAR V T, SENTURIA S D. The reliability of microelectromechanical systems (MEMS) in shock environments [J]. Journal of Microelectromechanical Systems, 2002, 11(3): 206–214. doi: 10.1109/JMEMS.2002.1007399 [19] 王礼立. 应力波基础[M]. 2版. 北京: 国防工业出版社, 2005: 12–20.WANG L L. Foundation of stress waves [M]. 2nd ed. Beijing: National Defense Industry Press, 2005: 12–20. [20] GABERSON H A. Shock severity estimation [J]. Sound & Vibration, 2012, 46(1): 12–20. [21] 李迪. 石英晶体圆板谐振器的有限元分析及实验研究 [D]. 南京: 南京航空航天大学, 2017: 14–15.LI D. The finite element analysis and experiment research of circular quartz crystal resonator [D]. Nanjing: Nanjing University of Aeronautics and Astronautics, 2017: 14−15. -

下载: