Sound Velocity and Shock Response Behavior of Cu/PMMA Composites
-
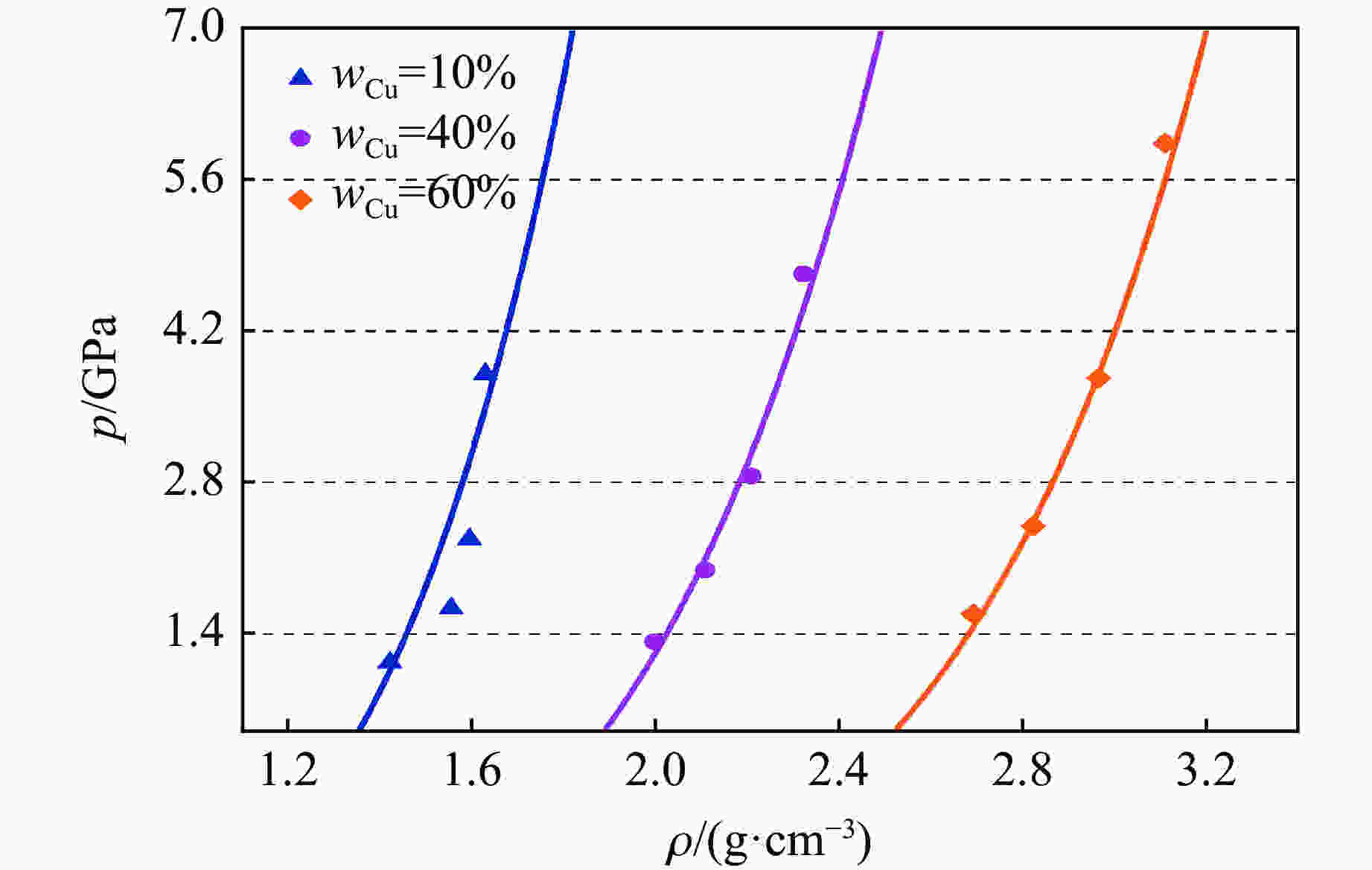
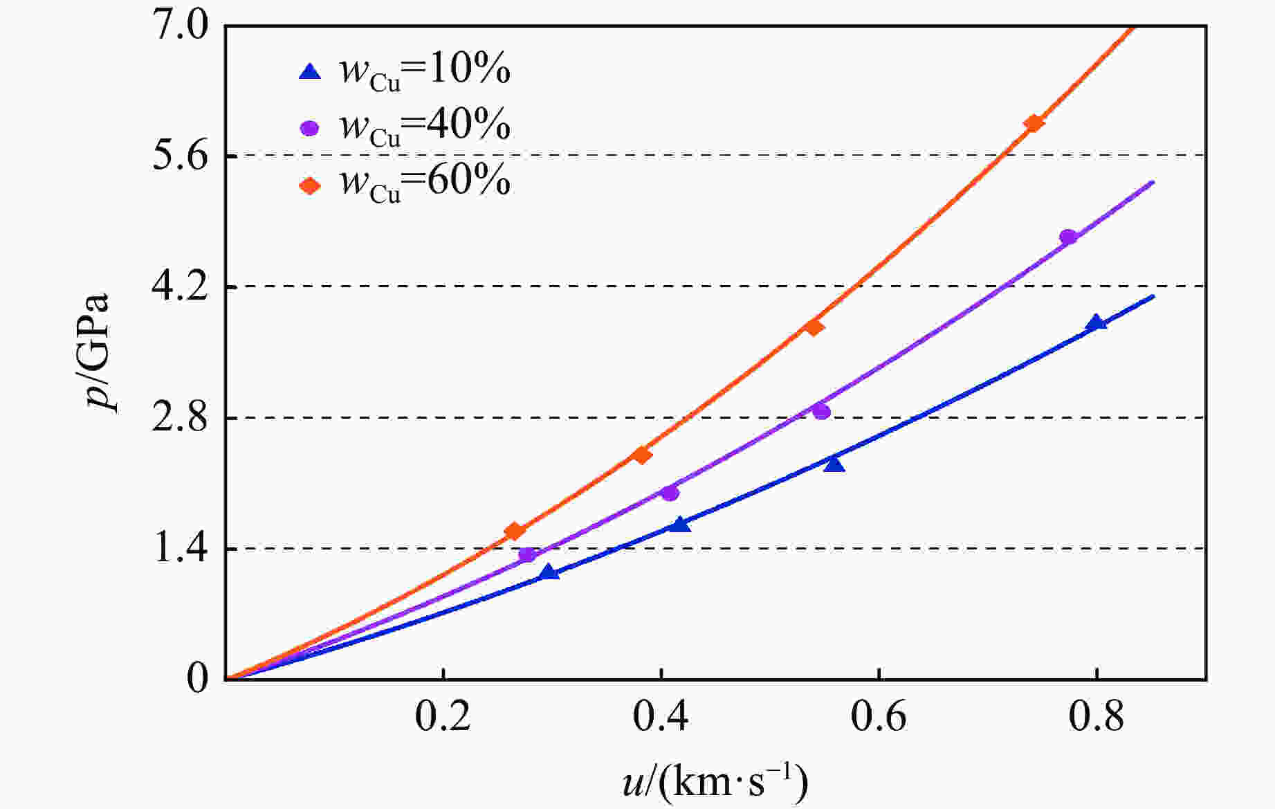
摘要: 基于熔融共混法,制备了一系列不同配比且随机分散的Cu/PMMA复合材料,重点研究了Cu颗粒含量对PMMA基体声速与冲击压缩行为的影响。超声测试结果表明,随着Cu颗粒含量的增加,声波的衰减使材料的横、纵波声速皆呈缓慢下降趋势,由此使体积声速亦呈减小趋势。基于平板撞击实验,获得了冲击压力在1.1~6.0 GPa范围内各复合材料的冲击波速度-粒子速度方程。Cu/PMMA复合材料声阻抗的升高使Hugoniot参数λ逐渐增大,而零压体积声速减小,与常压体积声速所表现出的变化趋势一致。结合已有的压力-粒子速度关系模型,对各材料的压力-粒子速度曲线进行了讨论。在此基础上,归纳出一种基于上述模型的用于预测金属粒子填充聚合物基复合材料压力-密度关系的可靠方法。
-
关键词:
- 冲击压缩 /
- 声速 /
- 冲击波速度-粒子速度方程 /
- 压力-密度关系
Abstract: In our work, a series of Cu/PMMA composites with different components were prepared using the melting blending method, in which particles are randomly dispersed in PMMA matrix without agglomeration. Then again study was conducted on the Cu particles content’s influence on the sound velocity and impact compression behavior of PMMA matrix. The ultrasonic test results show that with Cu particles content increasing, the sound wave attenuation makes a slow decreasing tendency of transversal and longitudinal sound velocities in material, which in turn decreases its bulk sound velocity. Based on the plate impact test, the shock wave velocity-particle velocity (D-u) equations of Cu/PMMA composites in the impact pressure range of 1.1–6.0 GPa were obtained. Owing to the increase of the acoustic impedance of Cu/PMMA composites, Hugoniot parameter shows an increase while the fitted zero-pressure sound velocity tends to decrease, which turns to be consistent with the variation of bulk sound velocity at atmospheric pressure. In addition, pressure-particle velocity (p-u) curves of the composites were discussed on the basis of the p-u model. And a reliable method was proposed to predict pressure-density (p-$\;\rho $ ) relationship of polymer matrix composites filled with metal particles. -
表 1 Cu/PMMA复合材料的弹性力学参数
Table 1. Elastic mechanical parameters of Cu/PMMA composites
wCu/% K/GPa G/GPa E/GPa 10 5.66 2.33 6.17 25 5.80 2.43 6.40 40 6.24 2.71 7.09 60 7.03 3.19 8.32 表 2 Cu/PMMA复合材料的击靶参数
Table 2. Target parameters of Cu/PMMA composites
wCu/% W/(m·s−1) d/mm D/(km·s−1) u/(km·s−1) 10 328 1.814 2.988 0.296 462 1.802 3.046 0.416 621 1.814 3.161 0.558 902 1.803 3.725 0.797 40 313 1.754 2.662 0.276 462 1.742 2.702 0.407 625 1.751 2.891 0.546 901 1.742 3.380 0.773 60 307 1.913 2.437 0.264 446 1.893 2.553 0.381 640 1.891 2.836 0.539 897 1.918 3.252 0.741 表 3 Cu/PMMA复合材料的Li模型参数
Table 3. Impact parameters corresponding to Li model for Cu/PMMA composites
wCu/% W/(m·s−1) p1/GPa p2/GPa p/GPa 10 328 1.05 7.89 1.14 462 1.51 11.31 1.64 621 2.10 15.74 2.28 902 3.53 26.49 3.81 40 313 0.87 6.56 1.33 462 1.31 9.81 1.99 625 1.88 14.09 2.86 901 3.11 23.32 4.73 60 307 0.77 5.74 1.59 446 1.16 8.68 2.40 640 1.82 13.64 3.77 897 2.87 21.50 5.94 -
[1] MEYERS M A. Dynamic behavior of materials [M]. New York: Wiley, 1994: 1−5. [2] ZHANG Y N, ZHENG L X, SUN G Z, et al. Failure mechanisms of carbon nanotube fibers under different strain rates [J]. Carbon, 2012, 50(8): 2887–2893. doi: 10.1016/j.carbon.2012.02.057 [3] BIE B X, HAN J H, LU L, et al. Dynamic fracture of carbon nanotube/epoxy composites under high strain-rate loading [J]. Composites Part A: Applied Science and Manufacturing, 2015, 68: 282–288. doi: 10.1016/j.compositesa.2014.10.001 [4] YASHIRO S, OGI K, NAKAMURA T, et al. Characterization of high-velocity impact damage in CFRP laminates: Part I–experiment [J]. Composites Part A: Applied Science and Manufacturing, 2013, 48: 93–100. doi: 10.1016/j.compositesa.2012.12.015 [5] YASHIRO S, OGI K, YOSHIMURA A, et al. Characterization of high-velocity impact damage in CFRP laminates: Part Ⅱ - prediction by smoothed particle hydrodynamics [J]. Composites Part A: Applied Science and Manufacturing, 2014, 56: 308–318. doi: 10.1016/j.compositesa.2013.04.012 [6] XIE W B, ZHANG W, KUANG N H, et al. Experimental investigation of normal and oblique impacts on CFRPs by high velocity steel sphere [J]. Composites Part B: Engineering, 2016, 99: 483–493. doi: 10.1016/j.compositesb.2016.06.020 [7] GAY E, BERTHE L, BOUSTIE M, et al. Study of the response of CFRP composite laminates to a laser-induced shock [J]. Composites Part B: Engineering, 2014, 64: 108–115. doi: 10.1016/j.compositesb.2014.04.004 [8] GIANNAROS E, KOTZAKOLIOS A, KOSTOPOULOS V, et al. Hypervelocity impact response of CFRP laminates using smoothed particle hydrodynamics method: implementation and validation [J]. International Journal of Impact Engineering, 2019, 123: 56–69. doi: 10.1016/j.ijimpeng.2018.09.016 [9] CHEN X, LI Y L, ZHI Z, et al. The compressive and tensile behavior of a 0/90 C fiber woven composite at high strain rates [J]. Carbon, 2013, 61: 97–104. doi: 10.1016/j.carbon.2013.04.073 [10] LONG X J, LI B, WANG L, et al. Shock response of Cu/graphene nanolayered composites [J]. Carbon, 2016, 103: 457–463. doi: 10.1016/j.carbon.2016.03.039 [11] XIE W B, ZHANG W, GUO L C, et al. The shock and spallation behavior of a carbon fiber reinforced polymer composite [J]. Composites Part B: Engineering, 2018, 153: 176–183. doi: 10.1016/j.compositesb.2018.07.047 [12] DANDEKAR D P, HALL C A, CHHABILDAS L C, et al. Shock response of a glass-fiber-reinforced polymer composite [J]. Composite Structures, 2003, 61(1/2): 51–59. doi: 10.1016/S0263-8223(03)00031-X [13] JIAN W R, LONG X J, TANG M X, et al. Deformation and spallation of shock-loaded graphene: effects of orientation and grain boundary [J]. Carbon, 2018, 132: 520–528. doi: 10.1016/j.carbon.2018.02.070 [14] MENG Z X, HAN J L, QIN X, et al. Spalling-like failure by cylindrical projectiles deteriorates the ballistic performance of multi-layer graphene plates [J]. Carbon, 2018, 126: 611–619. doi: 10.1016/j.carbon.2017.10.068 [15] TIAN Y, ZHANG H, ZHAO J, et al. High strain rate compression of epoxy based nanocomposites [J]. Composites Part A: Applied Science and Manufacturing, 2016, 90: 62–70. doi: 10.1016/j.compositesa.2016.06.008 [16] REN S Y, ZHANG Q M, WU Q, et al. A debris cloud model for hypervelocity impact of the spherical projectile on reactive material bumper composed of polytetrafluoroethylene and aluminum [J]. International Journal of Impact Engineering, 2019, 130: 124–137. doi: 10.1016/j.ijimpeng.2019.04.011 [17] RAULS M B, RAVICHANDRAN G. Structure of shock waves in particulate composites [J]. Journal of Applied Physics, 2020, 127(6): 065902. [18] LI J B, LI W B, WANG X M, et al. Shock response and prediction model of equation of state for aluminum powder/rubber matrix composites [J]. Materials and Design, 2020, 191: 108632. doi: 10.1016/j.matdes.2020.108632 [19] BEK Y K, HAMDIA K M, RABCZUK T, et al. Micromechanical model for polymeric nano-composites material based on SBFEM [J]. Composite Structures, 2018, 194: 516–526. doi: 10.1016/j.compstruct.2018.03.064 [20] REN H L, LI W, NING J G, et al. Effect of temperature on the impact ignition behavior of the aluminum/polytetrafluoroethylene reactive material under multiple pulse loading [J]. Materials and Design, 2020, 189: 108522. [21] REN S Y, ZHANG Q M, WU Q, et al. Influence of impact-induced reaction characteristics of reactive composites on hypervelocity impact resistance [J]. Materials and Design, 2020, 192: 108722. [22] 胡昌明, 李雪梅, 彭建祥, 等. 冲击载荷下K9玻璃的光学特性 [J]. 高压物理学报, 2017, 31(5): 573–578. doi: 10.11858/gywlxb.2017.05.010HU C M, LI X M, PENG J X, et al. Optical properties of K9 glass under shock loading [J]. Chinese Journal of High Pressure Physics, 2017, 31(5): 573–578. doi: 10.11858/gywlxb.2017.05.010 [23] 谭华. 实验冲击波物理[M]. 北京: 国防工业出版社, 2018: 281−304.TAN H. Experimental shock wave physics [M]. Beijing: National Defense Industry Press, 2018: 281−304. [24] CARTER W J, MARSH S P. Hugoniot equation of state of polymers [R]. New Mexico: Los Alamos National Laboratory, 1995. [25] JORDAN J L, CASEM D, ZELLNER M. Shock response of polymethylmethacrylate [J]. Journal of Dynamic Behavior of Materials, 2016, 2(3): 372–378. doi: 10.1007/s40870-016-0071-5 [26] TSOU F K, CHOU P C. The control-volume approach to hugoniot of macroscopically homogeneous composites [J]. Journal of Composite Materials, 1970, 4(4): 526–537. doi: 10.1177/002199837000400408 [27] TORVIK P J. Shock propagation in a composite material [J]. Journal of Composite Materials, 1970, 4(3): 296–309. doi: 10.1177/002199837000400302 [28] 经福谦. 实验物态方程导引[M]. 2版. 北京: 科学出版社, 1999: 95−99.JING F Q. Introduction to experimental equation of state [M]. 2nd ed. Beijing: Science Press, 1999: 95−99. -


下载:



