2021年 第35卷 第4期
2021, 35(4): 040101.
doi: 10.11858/gywlxb.20210747
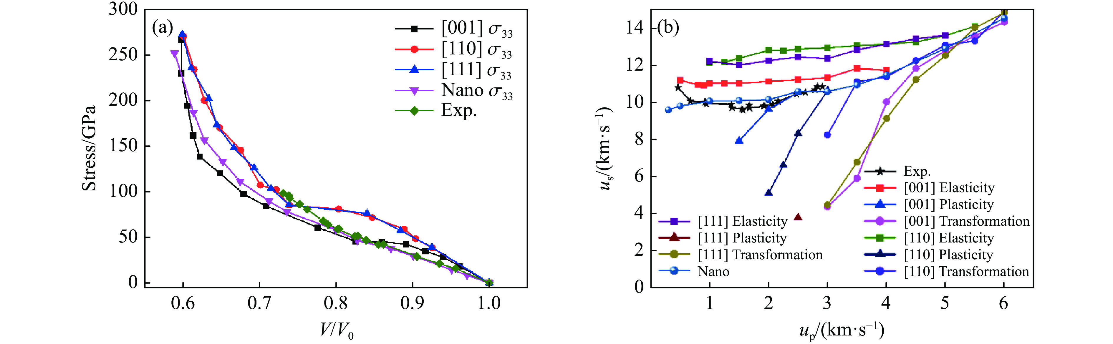
摘要:
2021, 35(4): 040102.
doi: 10.11858/gywlxb.20210760
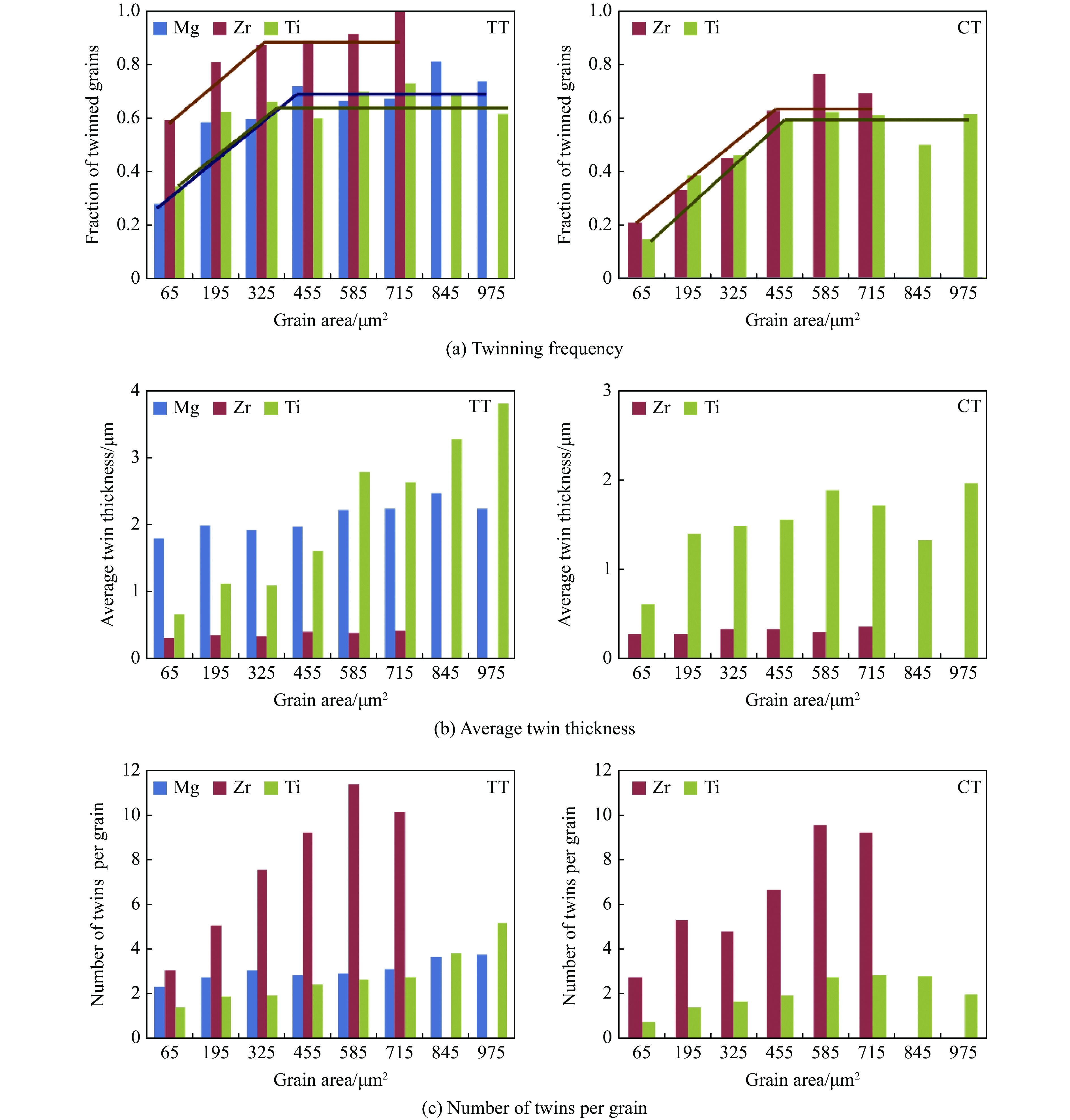
摘要:
2021, 35(4): 040104.
doi: 10.11858/gywlxb.20200648
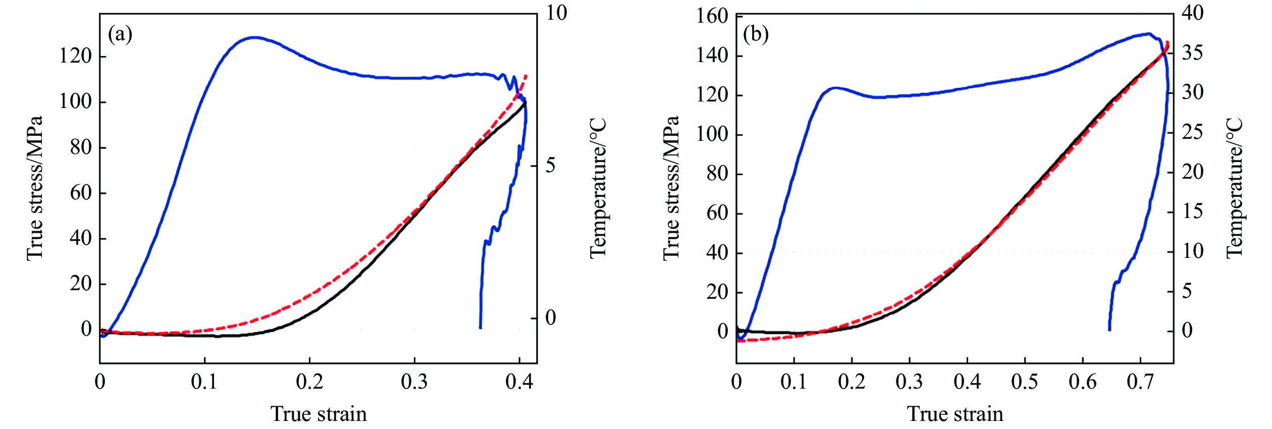
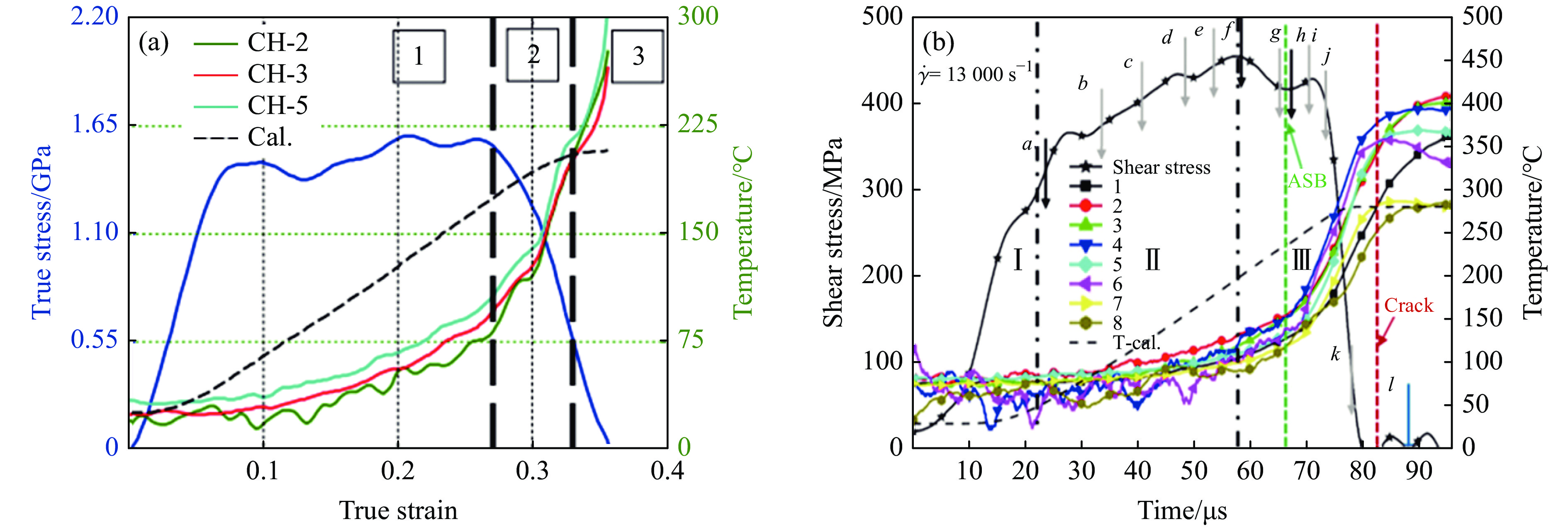
摘要:

阅读全文
PDF
引证文献







