Temperature Rise during Adiabatic Shear Deformation
-
摘要: 材料温度升高是绝热剪切现象的重要特征,研究绝热剪切中的温升对于深入了解绝热剪切失效的形成机制和演化历程具有重要意义,同时对预测材料和结构的动态失效具有重要的实用价值。一般而言,绝热剪切过程中的温升可以分为3个阶段:均匀变形阶段的温升、剪切局部化引起的温升、剪切带形成后热传导引起绝热剪切带附近的温升。本文从理论计算、数值模拟、实验测量和微观组织演化4个方面对绝热剪切中的温升相关研究进行了综述。通过对已有文献的系统整理和总结,以期为开展后续绝热剪切失效相关研究工作给出一定的启发和参考。Abstract: Temperature rise is an important feature of adiabatic shear phenomenon for many materials. Understanding the role of temperature rise in adiabatic shear is of great significance, because it helps us to get insight into the initiation and evolution mechanism of adiabatic shear band(ASB) and to predict accurately the dynamic failure of materials and structures. Generally speaking, the temperature rise in adiabatic shear deformation can be divided into three stages: uniform deformation stage, shear localization stage, and post-ASB stage. Theoretical calculation, numerical method, experimental measurement and relation with microstructural evolution of temperature rise during adiabatic shear deformation are reviewed. By this review, inspirations and reference are expected for future research work on adiabatic shear failure and related fields.
-
图 2 (a)不同应变率、加载方式下镁基金属的功热转化系数[52],(b)不同材料在不同加载方式下的Taylor-Quinney系数范围(C、T和S分别代表压缩、拉伸和剪切3种加载模式)[30]
Figure 2. (a) Work heat conversion coefficients of magnesium based metals under different strain rates and loading modes[52], (b) Taylor-Quinney coefficient range of different materials under different loading methods (C is compression mode, T is tension mode, S is shear mode.)[30]
图 5 (a)CRS-1018钢在不同塑性应变下温度的空间分布[74],(b)4种热软化模型描述的剪切带中心温度随名义应变的变化(
$\theta $ 表示带内温度与环境温度的差,图例表示不同热软化模型函数)[75]Figure 5. (a) Temperature profiles of CRS-1018 steel at different plastic strain[74], (b) relationship between the shear band center temperature and nominal strain described by four thermal softening models (
$\theta $ is the difference between the temperature in the band and the ambient temperature. The legend shows the different heat softening model functions.)[75]图 8 (a)动态扭转有限元计算试样中面的温度分布(图例中由蓝色到红色温度逐渐升高)[84],(b)不同模拟时刻(25、30、35、40、45 μs)不锈钢剪切区域的温度分布[85]
Figure 8. (a) Computed contour plot of the temperature distributions within the specimen near the notch tip at the end of the simulation[84], (b) profile of temperature at 316L stainless steel at different simulation times (25、30、35、40、45 μs)[85]
图 9 (a)PMMA在不同应变率加载条件下的应力-应变关系以及温升-应变关系[94],(b)PC盘形试样动态加载(平均名义应变率为6500 s−1)条件下应力和温升随应变的变化关系[95]
Figure 9. (a) Stress-strain and strain-temperature-rise curves for PMMA at various strain rates in compression[94], (b) true stress-true strain and temperature rises for PC disk 41 (Nominal average strain rate is 6500 s−1)[95]
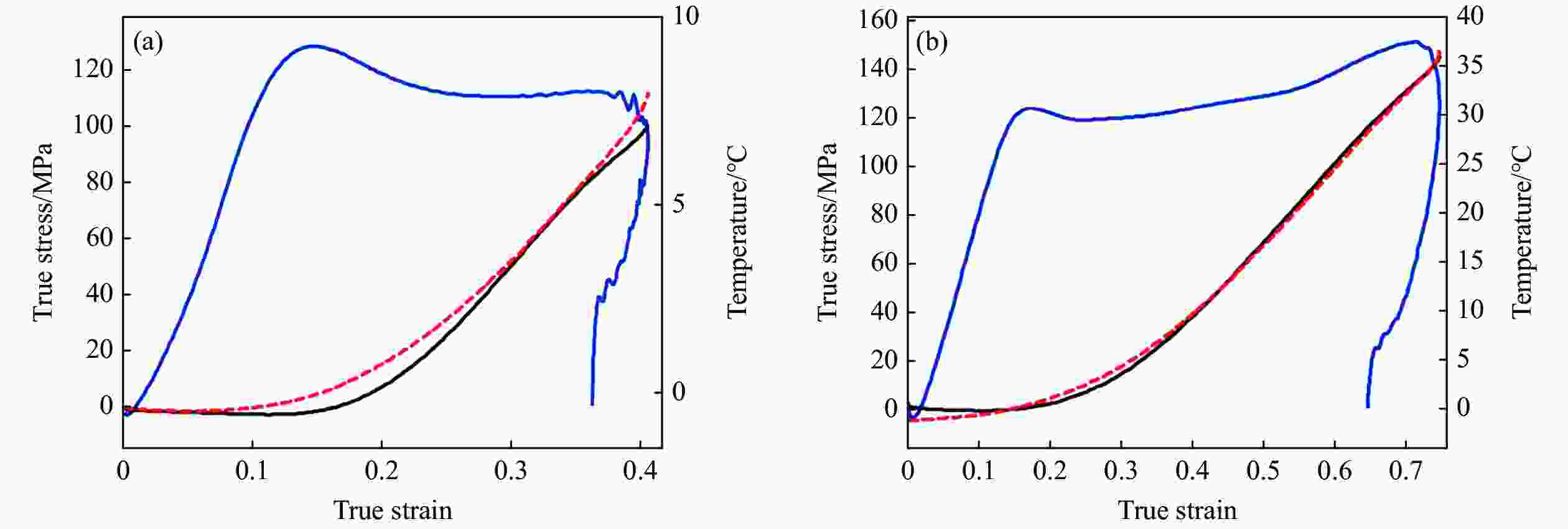
图 16 PC高分子聚合物在3000 s−1(a)和6000 s−1(b)应变率下应力和温度随应变的变化曲线(蓝色实线为真实应力,黑色实线为热电偶测温结果,红色虚线为红外测温结果。)[117]
Figure 16. Typical stress-strain-temperature plot at 3000 s−1 (a) and 6000 s−1 (b) (The blue solid line represents the real stress, the black solid line represents the thermocouple temperature measurement results, the red dotted line represents the infrared temperature measurement results.)[117]
图 20 不锈钢动态加载后的微观TEM图[48]:(a)剪切带内形貌,(b)剪切带外形貌,(c)ZK60镁合金剪切带及其附近的微观形貌和不同位置的选区衍射图[42]
Figure 20. TEM micrograph of stainless steel after dynamic loading [48]: (a) microcrystalline structure inside bands, (b) large grains outside bands, (c) bright field image and selected area diffraction (SAD) pattern of the ZK60 magnesium alloy microstructure in shear region[42]
图 21 (a)钢中剪切带及其附近区域的晶粒形貌及取向分布[46],(b)ECAP晶粒细化处理钛合金中剪切带及其附近区域微观形貌及取向分布[124]
Figure 21. (a) Grain morphology and orientation distribution of shear band and its vicinity in steel[46], (b) microstructure and orientation distribution of shear band and its vicinity in ECAP grain refinement titanium alloy[124]
图 22 绝热剪切带产生之前Ti-6Al-4V试样内出现的再结晶晶粒及其对应的选区衍射图[126](a);钛合金试样剪切带完全形成前试样的整体(b)和局部(c)形貌[124]
Figure 22. Recrystallized grains in Ti-6Al-4V before adiabatic shear band and their corresponding selected area diffractionpatterns[126] (a); whole (b) and microstructure (c) of the shear band morphology for ECAP titanium alloy[124]
表 1 基于功热转化理论的绝热温升计算结果
Table 1. Calculation results of adiabatic temperature rise based on thermomechanical conversion
Material Dynamic test method Taylor-Quinney coefficient Shear band width/μm Theoretical temperature rise/K 4340 steel[31] Torsion 1.0 20–60 1 100 AISI 304L stainless steel[48] Hat-shaped shear 0.9 10 1 200 Ti-6Al-4V[34] Torsion 1.0 852 Ti-6Al-4V[33] Double shear 0.9 6.5 1 460 Ti-6Al-4V[32] Shear-compression 1.0 180 AM50 magnesium alloy[32] Shear-compression 1.0 35 AMX602 magnesium alloy[36] Compression 0.9 66 1 000 ZK60 magnesium alloy[42] Compression 0.9 365 7003-T4 aluminium alloy[35] Compression 0.9 40–110 272–409 Tungsten[37] Compression 0.9 100 Ultrafine-grained pure titanium[38] Hat-shaped shear 0.9 650 Ultrafine-grained pure iron[39] Compression 0.9 100 Ultrafine-grained magnesium alloy[40] Compression 0.9 67 表 2 功热转化系数研究总结
Table 2. Research summary on Taylor-Quinney coefficient
Material Loading method Strain rate/(103 s−1) Sensor type Temperature rise/K $\,\beta$ Ta-2.5%W[50] Compression 3 InSb 63 0.68 Ta[51] Shear-compression 4.2 HgCdTe > 80 1.00 Mg[52] Shear-compression 1.8–3.7 HgCdTe < 5 0.10–0.30 AZ31 magnesium alloy[52] Shear-compression 2–4 HgCdTe 25 0.20–0.80 $ \alpha $-Ti[53] Compression 2 InSb/HgCdTe 87 0.55–0.66 $ \alpha $-Ti[53] Shear-compression 3 InSb/HgCdTe 87 0.55–0.66 $\,\beta$-Ti[53] Compression 2 InSb/HgCdTe 60 0.27–0.43 $\,\beta$-Ti[53] Shear-compression 2.0–3.5 InSb/HgCdTe 60 0.27–0.43 Pure titanium[54] Shear-compression 13 InSb 50–90 0.25–0.55 Ti-6Al-4V[32] Shear-compression 3 HgCdTe 65 0.40 OFHC copper[55] Compression 4.4 InSb/
HgCdTe40 0.30–0.40 7075-T651 aluminium alloy[56] Compression 1.1–4.2 HgCdTe 10–70 0.30–0.96 2024-T3 aluminium alloy[57] Compression 3 HgCdTe 0.30–0.50 Aluminium[58] Compression 3.5–5 InSb/
HgCdTe0.45–0.65 Ni200[58] Compression 3.3–4.7 InSb/
HgCdTe0.35–0.65 表 3 绝热温升实验测量结果
Table 3. Previous measurements of adiabatic temperature rise
Material Dynamic loading method Strain rate/(103 s−1) Observed spot size/
(mm × mm)Experimental
temperature rise/KHY-100 steel[103] Torsion 1.3 0.035 × 0.120 425–595 AISI 4340 steel[105] Torsion 1 0.017 × 0.053 460–570 C-300 steel[107] Mode Ⅰ fracture 0.10 × 0.10 630 C-300 steel[106] Mode Ⅱ fracture 0.08 × 0.08 900–1400 Ti-6Al-4V[106] Mode Ⅱ fracture 0.08 × 0.08 450 Ti-6Al-4V[26] Torsion 1 0.017 × 0.053 440–550 Ti-6Al-4V[28] Tension 1 0.05 × 0.05 200 Ti-6Al-4V[108] Torsion 1–2 0.043 × 0.043 1080 Ti-6Al-4V[114] Shear-compression 0.15 × 0.15 250 Ti-6Al-4V[32] Shear-compression 3 0.045 × 0.045 300 AM50
magnesium alloy[32]Shear-compression 3 0.045 × 0.045 110 Ta-2
titanium alloy[111]Hat-shaped shear 1.4 × 1.4 160 Austenitic stainless steel[109] Tension 3 350 Pure titanium[54] Shear-compression 13 0.15 × 0.15 350–650 -
[1] MOLINARI A, MUSQUAR C, SUTTER G. Adiabatic shear banding in high speed machining of Ti-6Al-4V: experiments and modeling [J]. International Journal of Plasticity, 2002, 18(4): 443–459. doi: 10.1016/S0749-6419(01)00003-1 [2] 王升平. TC4钛合金锯齿形切屑绝热剪切带的微观组织和显微硬度变化 [J]. 中国机械工程, 2012, 23(9): 1117–1121. doi: 10.3969/j.issn.1004-132X.2012.09.024WANG S P. Investigation on microstructure and microhardness of adiabatic shear band of saw-tooth chip in machining TC4 alloy [J]. China Mechanical Engineering, 2012, 23(9): 1117–1121. doi: 10.3969/j.issn.1004-132X.2012.09.024 [3] SEMIATIN S L, LAHOTI G D. Deformation and unstable flow in hot forging of Ti-6Ai-2Sn-4Zr-2Mo-0.1Si [J]. Metallurgical Transactions A, 1981, 12(10): 1705–1717. doi: 10.1007/BF02643753 [4] ME-BAR Y, SHECHTMAN D. On the adiabatic shear of Ti-6Al-4V ballistic targets [J]. Materials Science and Engineering, 1983, 58(2): 181–188. doi: 10.1016/0025-5416(83)90044-7 [5] MURR L E, RAMIREZ A C, GAYTAN S M, et al. Microstructure evolution associated with adiabatic shear bands and shear band failure in ballistic plug formation in Ti-6Al-4V targets [J]. Materials Science and Engineering: A, 2009, 516(1/2): 205–216. doi: 10.1016/j.msea.2009.03.051 [6] WALLEY S M. Shear localization: a historical overview [J]. Metallurgical and Materials Transactions A, 2007, 38(11): 2629–2654. doi: 10.1007/s11661-007-9271-x [7] ZENER C, HOLLOMON J H. Effect of strain rate upon plastic flow of steel [J]. Journal of Applied Physics, 1944, 15(1): 22–32. doi: 10.1063/1.1707363 [8] BAI Y L, DODD B. Adiabatic shear localization: occurrence, theories and applications [M]. Oxford: Pergamon Press, 1992. [9] DODD B, BAI Y L. Adiabatic shear localization: frontiers and advances [M]. 2nd ed. Amsterdam: Elsevier, 2012. [10] WRIGHT T W. The physics and mathematics of adiabatic shear bands [M]. Cambridge: Cambridge University Press, 2002. [11] MEYERS M A. Shear bands (thermoplastic shear instabilities) [M]//MEYERS M A. Dynamic Behavior of Materials. John Wiley & Sons Inc., 1994: 448–487. [12] ANTOLOVICH S D, ARMSTRONG R W. Plastic strain localization in metals: origins and consequences [J]. Progress in Materials Science, 2014, 59: 1–160. doi: 10.1016/j.pmatsci.2013.06.001 [13] TIMOTHY S P. The structure of adiabatic shear bands in metals: a critical review [J]. Acta Metallurgica, 1987, 35(2): 301–306. doi: 10.1016/0001-6160(87)90238-0 [14] DUAN C Z, WANG M J. A review of microstructural evolution in the adiabatic shear bands induced by high speed machining [J]. Acta Metallurgica Sinica (English Letters), 2013, 26(2): 97–112. doi: 10.1007/s40195-013-2001-z [15] XU Y B, ZHANG J H, BAI Y L, et al. Shear localization in dynamic deformation: microstructural evolution [J]. Metallurgical and Materials Transactions A, 2008, 39(4): 811–843. doi: 10.1007/s11661-007-9431-z [16] DUFFY J. Experimental studies of shear band formation through temperature measurements and high speed photography [J]. Journal de Physique Ⅳ, 1991, 1(C3): 645–652. doi: 10.1051/jp4:1991390 [17] RITTEL D, OSOVSKI S. Dynamic failure by adiabatic shear banding [J]. International Journal of Fracture, 2010, 162(1/2): 177–185. doi: 10.1007/s10704-010-9475-8 [18] 钟杰, 叶雁, 李作友. 红外热成像技术测量绝热剪切带温度的综述 [J]. 高能量密度物理, 2010(1): 43–48.ZHONG J, YE Y, LI Z Y. Review of measurement of adiabatic shear band temperature by infrared thermal imaging [J]. High Energy Density Physics, 2010(1): 43–48. [19] 谭成文, 王富耻, 李树奎. 绝热剪切变形局部化研究进展及发展趋势 [J]. 兵器材料科学与工程, 2003, 26(5): 62–67. doi: 10.3969/j.issn.1004-244X.2003.05.016TAN C W, WANG F C, LI S K. Progresses and trends in researches on adiabatic shear deformation [J]. Ordnance Material Science and Engineering, 2003, 26(5): 62–67. doi: 10.3969/j.issn.1004-244X.2003.05.016 [20] 索涛, 汪存显, 杭超, 等. 材料动态变形中的绝热剪切带研究现状 [J]. 机械科学与技术, 2016, 35(1): 1–9. doi: 10.13433/j.cnki.1003-8728.2016.0101SUO T, WANG C X, HANG C, et al. The research status of adiabatic shear band in dynamic deformation [J]. Mechanical Science and Technology for Aerospace Engineering, 2016, 35(1): 1–9. doi: 10.13433/j.cnki.1003-8728.2016.0101 [21] 肖大武, 李英雷, 蔡灵仓. 绝热剪切研究进展 [J]. 实验力学, 2010, 25(4): 463–475.XIAO D W, LI Y L, CAI L C. Progress in research on adiabatic shearing [J]. Journal of Experimental Mechanics, 2010, 25(4): 463–475. [22] 杨扬, 程信林. 绝热剪切的研究现状及发展趋势 [J]. 中国有色金属学报, 2002, 12(3): 401–408. doi: 10.3321/j.issn:1004-0609.2002.03.001YANG Y, CHENG X L. Current status and trends in researches on adiabatic shearing [J]. The Chinese Journal of Nonferrous Metals, 2002, 12(3): 401–408. doi: 10.3321/j.issn:1004-0609.2002.03.001 [23] RECHT R F. Catastrophic thermoplastic shear [J]. Journal of Applied Mechanics, 1964, 31(2): 189–193. doi: 10.1115/1.3629585 [24] MASON J J, ROSAKIS A J, RAVICHANDRAN G. On the strain and strain rate dependence of the fraction of plastic work converted to heat: an experimental study using high speed infrared detectors and the Kolsky bar [J]. Mechanics of Materials, 1994, 17(2/3): 135–145. doi: 10.1016/0167-6636(94)90054-X [25] RITTEL D. On the conversion of plastic work to heat during high strain rate deformation of glassy polymers [J]. Mechanics of Materials, 1999, 31(2): 131–139. doi: 10.1016/S0167-6636(98)00063-5 [26] LIAO S C, DUFFY J. Adiabatic shear bands in a Ti-6Al-4V titanium alloy [J]. Journal of the Mechanics and Physics of Solids, 1998, 46(11): 2201–2231. doi: 10.1016/S0022-5096(98)00044-1 [27] HODOWANY J, RAVICHANDRAN G, ROSAKIS A J, et al. Partition of plastic work into heat and stored energy in metals [J]. Experimental Mechanics, 2000, 40(2): 113–123. doi: 10.1007/BF02325036 [28] MACDOUGALL D A S, HARDING J. The measurement of specimen surface temperature in high-speed tension and torsion tests [J]. International Journal of Impact Engineering, 1998, 21(6): 473–488. doi: 10.1016/S0734-743X(98)00007-4 [29] TAYLOR G I, QUINNEY H. The latent energy remaining in a metal after cold working [J]. Proceedings of the Royal Society A: Mathematical, Physical and Engineering Sciences, 1934, 143(849): 307–326. doi: 10.1098/rspa.1934.0004 [30] RITTEL D, ZHANG L H, OSOVSKI S. The dependence of the Taylor-Quinney coefficient on the dynamic loading mode [J]. Journal of the Mechanics and Physics of Solids, 2017, 107: 96–114. doi: 10.1016/j.jmps.2017.06.016 [31] GIOVANOLA J H. Adiabatic shear banding under pure shear loading Part I: direct observation of strain localization and energy dissipation measurements [J]. Mechanics of Materials, 1988, 7(1): 59–71. doi: 10.1016/0167-6636(88)90006-3 [32] RITTEL D, WANG Z G. Thermo-mechanical aspects of adiabatic shear failure of AM50 and Ti6Al4V alloys [J]. Mechanics of Materials, 2008, 40(8): 629–635. doi: 10.1016/j.mechmat.2008.03.002 [33] GUO Y Z, LI Y L. A novel approach to testing the dynamic shear response of Ti-6Al-4V [J]. Acta Mechanica Solida Sinica, 2012, 25(3): 299–311. doi: 10.1016/S0894-9166(12)60027-5 [34] BAI Y L, XUE Q, XU Y B, et al. Characteristics and microstructure in the evolution of shear localization in Ti-6A1-4V alloy [J]. Mechanics of Materials, 1994, 17(2/3): 155–164. doi: 10.1016/0167-6636(94)90056-6 [35] WU X D, LI L X, LIU W H, et al. Development of adiabatic shearing bands in 7003-T4 aluminum alloy under high strain rate impacting [J]. Materials Science and Engineering: A, 2018, 732: 91–98. doi: 10.1016/j.msea.2018.06.087 [36] SHEN J, KONDOH K, JONES T L, et al. Effect of strain rate on the mechanical properties of magnesium alloy AMX602 [J]. Materials Science and Engineering: A, 2016, 649: 338–348. doi: 10.1016/j.msea.2015.10.022 [37] WEI Q, KECSKES L J, RAMESH K T. Effect of low-temperature rolling on the propensity to adiabatic shear banding of commercial purity tungsten [J]. Materials Science and Engineering: A, 2013, 578: 394–401. doi: 10.1016/j.msea.2013.04.109 [38] LI Z Z, WANG B F, ZHAO S T, et al. Dynamic deformation and failure of ultrafine-grained titanium [J]. Acta Materialia, 2017, 125: 210–218. doi: 10.1016/j.actamat.2016.11.041 [39] WEI Q, KECSKES L, JIAO T, et al. Adiabatic shear banding in ultrafine-grained Fe processed by severe plastic deformation [J]. Acta Materialia, 2004, 52(7): 1859–1869. doi: 10.1016/j.actamat.2003.12.025 [40] MALIK A, WANG Y W, CHENG H W, et al. Microstructural evolution of ultra-fine grained Mg-6.62Zn-0.6Zr alloy on the basis of adiabatic rise in temperature under dynamic loading [J]. Vacuum, 2019, 168: 108810. doi: 10.1016/j.vacuum.2019.108810 [41] XU Z J, LIU Y, HU H Z, et al. Determination of shear behavior and constitutive modeling of the 603 steel over wide temperature and strain rate ranges [J]. Journal of the Mechanics and Physics of Solids, 2019, 129: 184–204. doi: 10.1016/j.jmps.2019.05.005 [42] JIANG L H, YANG Y, WANG Z, et al. Microstructure evolution within adiabatic shear band in peak aged ZK60 magnesium alloy [J]. Materials Science and Engineering: A, 2018, 711: 317–324. doi: 10.1016/j.msea.2017.10.111 [43] WANG X B. Temperature distribution in adiabatic shear band for ductile metal based on Johnson-Cook and gradient plasticity models [J]. Transactions of Nonferrous Metals Society of China, 2006, 16(2): 333–338. doi: 10.1016/S1003-6326(06)60057-5 [44] MEYERS M A, SUBHASH G, KAD B K, et al. Evolution of microstructure and shear-band formation in α-hcp titanium [J]. Mechanics of Materials, 1994, 17(2/3): 175–193. doi: 10.1016/0167-6636(94)90058-2 [45] MEYERS M A, ANDRADE U R, CHOKSHI A H. The effect of grain size on the high-strain, high-strain-rate behavior of copper [J]. Metallurgical and Materials Transactions A, 1995, 26(11): 2881–2893. doi: 10.1007/BF02669646 [46] LINS J F C, SANDIM H R Z, KESTENBACH H J, et al. A microstructural investigation of adiabatic shear bands in an interstitial free steel [J]. Materials Science and Engineering: A, 2007, 457(1/2): 205–218. doi: 10.1016/j.msea.2006.12.019 [47] HINES J A, VECCHIO K S. Recrystallization kinetics within adiabatic shear bands [J]. Acta Materialia, 1997, 45(2): 635–649. doi: 10.1016/S1359-6454(96)00193-0 [48] MEYERS M A, XU Y B, XUE Q, et al. Microstructural evolution in adiabatic shear localization in stainless steel [J]. Acta Materialia, 2003, 51(5): 1307–1325. doi: 10.1016/S1359-6454(02)00526-8 [49] PÉREZ-PRADO M T, HINES J A, VECCHIO K S. Microstructural evolution in adiabatic shear bands in Ta and Ta-W alloys [J]. Acta Materialia, 2001, 49(15): 2905–2917. doi: 10.1016/S1359-6454(01)00215-4 [50] KAPOOR R, NEMAT-NASSER S. Determination of temperature rise during high strain rate deformation [J]. Mechanics of Materials, 1998, 27(1): 1–12. doi: 10.1016/S0167-6636(97)00036-7 [51] RITTEL D, BHATTACHARYYA A, POON B, et al. Thermomechanical characterization of pure polycrystalline tantalum [J]. Materials Science and Engineering: A, 2007, 447(1/2): 65–70. doi: 10.1016/j.msea.2006.10.064 [52] GHOSH D, KINGSTEDT O T, RAVICHANDRAN G. Plastic work to heat conversion during high-strain rate deformation of Mg and Mg alloy [J]. Metallurgical and Materials Transactions A, 2017, 48(1): 14–19. doi: 10.1007/s11661-016-3825-8 [53] ZHANG L H, RITTEL D, OSOVSKI S. Thermo-mechanical characterization and dynamic failure of near α and near β titanium alloys [J]. Materials Science and Engineering: A, 2018, 729: 94–101. doi: 10.1016/j.msea.2018.05.007 [54] GUO Y Z, RUAN Q C, ZHU S X, et al. Dynamic failure of titanium: temperature rise and adiabatic shear band formation [J]. Journal of the Mechanics and Physics of Solids, 2020, 135: 103811. doi: 10.1016/j.jmps.2019.103811 [55] NIETO-FUENTES J C, RITTEL D, OSOVSKI S. On a dislocation-based constitutive model and dynamic thermomechanical considerations [J]. International Journal of Plasticity, 2018, 108: 55–69. doi: 10.1016/j.ijplas.2018.04.012 [56] ZHANG T, GUO Z R, YUAN F P, et al. Investigation on the plastic work-heat conversion coefficient of 7075-T651 aluminum alloy during an impact process based on infrared temperature measurement technology [J]. Acta Mechanica Sinica, 2018, 34(2): 327–333. doi: 10.1007/s10409-017-0673-8 [57] RAVICHANDRAN G, ROSAKIS A J, HODOWANY J, et al. On the conversion of plastic work into heat during high-strain-rate deformation [J]. AIP Conference Proceedings, 2002, 620(1): 557–562. doi: 10.1063/1.1483600 [58] NIETO-FUENTES J C, OSOVSKI S, VENKERT A, et al. Reassessment of the dynamic thermomechanical conversion in metals [J]. Physical Review Letters, 2019, 123(25): 255502. doi: 10.1103/PhysRevLett.123.255502 [59] BEVER M B, HOLT D L, TITCHENER A L. The stored energy of cold work [J]. Progress in Materials Science, 1973, 17: 5–177. doi: 10.1016/0079-6425(73)90001-7 [60] LIEOU C K C, MOURAD H M, BRONKHORST C A. Strain localization and dynamic recrystallization in polycrystalline metals: thermodynamic theory and simulation framework [J]. International Journal of Plasticity, 2019, 119: 171–187. doi: 10.1016/j.ijplas.2019.03.005 [61] LANGER J S, BOUCHBINDER E, LOOKMAN T. Thermodynamic theory of dislocation-mediated plasticity [J]. Acta Materialia, 2010, 58(10): 3718–3732. doi: 10.1016/j.actamat.2010.03.009 [62] 贾力, 方肇洪, 钱兴华. 高等传热学[M]. 北京: 高等教育出版社, 2003.JIA L, FANG Z H, QIAN X H. Advanced heat transfer [M]. Beijing: Higher Education Press, 2003. [63] NEMAT-NASSER S, ISAACS J B, LIU M Q. Microstructure of high-strain, high-strain-rate deformed tantalum [J]. Acta Materialia, 1998, 46(4): 1307–1325. doi: 10.1016/S1359-6454(97)00746-5 [64] LI Z Z, ZHAO S T, WANG B F, et al. The effects of ultra-fine-grained structure and cryogenic temperature on adiabatic shear localization in titanium [J]. Acta Materialia, 2019, 181: 408–422. doi: 10.1016/j.actamat.2019.09.011 [65] 侯镇冰, 何绍杰, 李恕先. 固体热传导[M]. 上海: 上海科学技术出版社, 1984.HOU Z B. Solid heat conduction [M]. Shanghai: Shanghai Scientific & Technical Publishers, 1984. [66] LEWANDOWSKI J J, GREER A L. Temperature rise at shear bands in metallic glasses [J]. Nature Materials, 2006, 5(1): 15–18. doi: 10.1038/nmat1536 [67] ECKERT E R G. Heat and mass transfer [M]. 2nd ed. New York: McGraw-Hill, 1959. [68] CUSHMAN-ROISIN B, BECKERS J M. Diffusive processes [J]. International Geophysics, 2011, 101: 131–161. doi: 10.1016/B978-0-12-088759-0.00005-5 [69] CARSLAW H S, JAEGER J C. Conduction of heat in solids [M]. 2nd ed. Oxford: Oxford University Press, 1959. [70] WANG Q, OLIVIER H, EINHOFF J, et al. Influence of test model material on the accuracy of transient heat transfer measurements in impulse facilities [J]. Experimental Thermal and Fluid Science, 2019, 104: 59–66. doi: 10.1016/j.expthermflusci.2019.02.013 [71] WRIGHT W J, SCHWARZ R B, NIX W D. Localized heating during serrated plastic flow in bulk metallic glasses [J]. Materials Science and Engineering: A, 2001, 319/320/321: 229–232. doi: 10.1016/S0921-5093(01)01066-8 [72] 杨世铭, 陶文铨. 传热学[M]. 北京: 高等教育出版社, 2006.YANG S M, TAO W Q. Heat transfer [M]. Beijing: Higher Education Press, 2006. [73] BAI Y L. Thermo-plastic instability in simple shear [J]. Journal of the Mechanics and Physics of Solids, 1982, 30(4): 195–207. doi: 10.1016/0022-5096(82)90029-1 [74] CLIFTON R J, DUFFY J, HARTLEY K A, et al. On critical conditions for shear band formation at high strain rates [J]. Scripta Metallurgica, 1984, 18(5): 443–448. doi: 10.1016/0036-9748(84)90418-6 [75] WALTER J W. Numerical experiments on adiabatic shear band formation in one dimension [J]. International Journal of Plasticity, 1992, 8(6): 657–693. doi: 10.1016/0749-6419(92)90023-6 [76] WRIGHT T W, BATRA R C. The initiation and growth of adiabatic shear bands [J]. International Journal of Plasticity, 1985, 1(3): 205–212. doi: 10.1016/0749-6419(85)90003-8 [77] WRIGHT T W. Shear band susceptibility: work hardening materials [J]. International Journal of Plasticity, 1992, 8(5): 583–602. doi: 10.1016/0749-6419(92)90032-8 [78] GUO Y Z, LI Y L, PAN Z, et al. A numerical study of microstructure effect on adiabatic shear instability: application to nanostructured/ultrafine grained materials [J]. Mechanics of Materials, 2010, 42(11): 1020–1029. doi: 10.1016/j.mechmat.2010.09.002 [79] JOSHI S P, RAMESH K T. Rotational diffusion and grain size dependent shear instability in nanostructured materials [J]. Acta Materialia, 2008, 56(2): 282–291. doi: 10.1016/j.actamat.2007.09.031 [80] ZHOU F, WRIGHT T W, RAMESH K T. A numerical methodology for investigating the formation of adiabatic shear bands [J]. Journal of the Mechanics and Physics of Solids, 2006, 54(5): 904–926. doi: 10.1016/j.jmps.2005.12.002 [81] ZHOU F, WRIGHT T W, RAMESH K T. The formation of multiple adiabatic shear bands [J]. Journal of the Mechanics and Physics of Solids, 2006, 54(7): 1376–1400. doi: 10.1016/j.jmps.2006.01.006 [82] 杨扬, 程信林, 安宁龙. TB2钛合金绝热剪切行为的数值模拟 [J]. 中国有色金属学报, 2004, 14(5): 718–724. doi: 10.3321/j.issn:1004-0609.2004.05.003YANG Y, CHENG X L, AN N L. Numerical simulation on adiahatic shearing behavior of TB2 [J]. The Chinese Journal of Nonferrous Metals, 2004, 14(5): 718–724. doi: 10.3321/j.issn:1004-0609.2004.05.003 [83] ZHOU M, RAVICHANDRAN G, ROSAKIS A J. Dynamically propagating shear bands in impact-loaded prenotched plates-Ⅱ. Numerical simulations [J]. Journal of the Mechanics and Physics of Solids, 1996, 44(6): 1007–1021, 1023–1032. doi: 10.1016/0022-5096(96)00004-X [84] CHICHILI D R, RAMESH K T, HEMKER K J. Adiabatic shear localization in α-titanium: experiments, modeling and microstructural evolution [J]. Journal of the Mechanics and Physics of Solids, 2004, 52(8): 1889–1909. doi: 10.1016/j.jmps.2004.02.013 [85] BRONKHORST C A, CERRETA E K, XUE Q, et al. An experimental and numerical study of the localization behavior of tantalum and stainless steel [J]. International Journal of Plasticity, 2006, 22(7): 1304–1335. doi: 10.1016/j.ijplas.2005.10.002 [86] XU Z J, DING X Y, ZHANG W Q, et al. A novel method in dynamic shear testing of bulk materials using the traditional SHPB technique [J]. International Journal of Impact Engineering, 2017, 101: 90–104. doi: 10.1016/j.ijimpeng.2016.11.012 [87] XU Z J, LIU Y, SUN Z Y, et al. On shear failure behaviors of an armor steel over a large range of strain rates [J]. International Journal of Impact Engineering, 2018, 118: 24–38. doi: 10.1016/j.ijimpeng.2018.04.003 [88] 许泽建, 丁晓燕, 张炜琪, 等. 一种用于材料高应变率剪切性能测试的新型加载技术 [J]. 力学学报, 2016, 48(3): 654–659. doi: 10.6052/0459-1879-15-445XU Z J, DING X Y, ZHANG W Q, et al. A new loading technique for measuring shearing properties of materials under high strain rates [J]. Chinese Journal of Theoretical and Applied Mechanics, 2016, 48(3): 654–659. doi: 10.6052/0459-1879-15-445 [89] 张炜琪, 许泽建, 孙中岳, 等. Ti-6Al-4V在高应变率下的动态剪切特性及失效机理 [J]. 爆炸与冲击, 2018, 38(5): 1137–1144. doi: 10.11883/bzycj-2017-0107ZHANG W Q, XU Z J, SUN Z Y, et al. Dynamic shear behavior and failure mechanism of Ti-6Al-4V at high strain rates [J]. Explosion and Shock Waves, 2018, 38(5): 1137–1144. doi: 10.11883/bzycj-2017-0107 [90] ZHU S X, GUO Y Z, CHEN H S, et al. Formation of adiabatic shear band within Ti-6Al-4V: effects of stress state [J]. Mechanics of Materials, 2019, 137: 103102. doi: 10.1016/j.mechmat.2019.103102 [91] 陈浩森, 郭亚洲, 朱盛鑫, 等. 多点式高速红外测温系统研制 [J]. 实验力学, 2019, 34(2): 240–248. doi: 10.7520/1001-4888-17-220CHEN H S, GUO Y Z, ZHU S X, et al. On the development of multi-point high speed infrared temperature measurement system [J]. Journal of Experimental Mechanics, 2019, 34(2): 240–248. doi: 10.7520/1001-4888-17-220 [92] KENDALL M J, FROUD R F, SIVIOUR C R. Novel temperature measurement method & thermodynamic investigations of amorphous polymers during high rate deformation [J]. Polymer, 2014, 55(10): 2514–2522. doi: 10.1016/j.polymer.2014.03.058 [93] RABIN Y, RITTEL D. A model for the time response of solid-embedded thermocouples [J]. Experimental Mechanics, 1999, 39(2): 132–136. doi: 10.1007/BF02331116 [94] CHOU S C, ROBERTSON K D, RAINEY J H. The effect of strain rate and heat developed during deformation on the stress-strain curve of plastics [J]. Experimental Mechanics, 1973, 13(10): 422–432. doi: 10.1007/BF02324886 [95] RITTEL D. Transient temperature measurement using embedded thermocouples [J]. Experimental Mechanics, 1998, 38(2): 73–78. doi: 10.1007/BF02321647 [96] SASSI S, TARFAOUI M, BEN YAHIA H. In-situ heat dissipation monitoring in adhesively bonded composite joints under dynamic compression loading using SHPB [J]. Composites Part B: Engineering, 2018, 154: 64–76. doi: 10.1016/j.compositesb.2018.07.039 [97] CAO B, IWAMOTO T. An experimental investigation on rate dependency of thermomechanical and Stress-induced martensitic transformation behavior in Fe-28Mn-6Si-5Cr shape memory alloy under compression [J]. International Journal of Impact Engineering, 2019, 132: 103284. doi: 10.1016/j.ijimpeng.2019.04.026 [98] CAO B, IWAMOTO T. A new method to measure volume resistivity during tension for strain rate sensitivity in deformation and transformation behavior of Fe-28Mn-6Si-5Cr shape memory alloy [J]. International Journal of Mechanical Sciences, 2018, 146/147: 445–454. doi: 10.1016/j.ijmecsci.2017.09.020 [99] SHOCKEY D A, KALTHOFF J F, KLEMM W, et al. Simultaneous measurements of stress intensity and toughness for fast-running cracks in steel [J]. Experimental Mechanics, 1983, 23(2): 140–145. doi: 10.1007/BF02320401 [100] RITTEL D. Experimental investigation of transient thermoelastic effects in dynamic fracture [J]. International Journal of Solids and Structures, 1998, 35(22): 2959–2973. doi: 10.1016/S0020-7683(97)00352-1 [101] AY H, YANG W J. Heat transfer and life of metal cutting tools in turning [J]. International Journal of Heat and Mass Transfer, 1998, 41(3): 613–623. doi: 10.1016/S0017-9310(97)00105-1 [102] DEWES R C, NG E, CHUA K S, et al. Temperature measurement when high speed machining hardened mould/die steel [J]. Journal of Materials Processing Technology, 1999, 92/93: 293–301. doi: 10.1016/S0924-0136(99)00116-8 [103] MARCHAND A, DUFFY J. An experimental study of the formation process of adiabatic shear bands in a structural steel [J]. Journal of the Mechanics and Physics of Solids, 1988, 36(3): 251–283. doi: 10.1016/0022-5096(88)90012-9 [104] HARTLEY K A, DUFFY J, HAWLEY R H. Measurement of the temperature profile during shear band formation in steels deforming at high strain rates [J]. Journal of the Mechanics and Physics of Solids, 1987, 35(3): 283–301. doi: 10.1016/0022-5096(87)90009-3 [105] DUFFY J, CHI Y C. On the measurement of local strain and temperature during the formation of adiabatic shear bands [J]. Materials Science and Engineering: A, 1992, 157(2): 195–210. doi: 10.1016/0921-5093(92)90026-W [106] ZHOU M, ROSAKIS A J, RAVICHANDRAN G. Dynamically propagating shear bands in impact-loaded prenotched plates–Ⅰ. experimental investigations of temperature signatures and propagation speed [J]. Journal of the Mechanics and Physics of Solids, 1996, 44(6): 981–1006. doi: 10.1016/0022-5096(96)00003-8 [107] GUDURU P R, RAVICHANDRAN G, ROSAKIS A J. Observations of transient high temperature vortical microstructures in solids during adiabatic shear banding [J]. Physical Review E, 2001, 64(3): 036128. doi: 10.1103/PhysRevE.64.036128 [108] RANC N, TARAVELLA L, PINA V, et al. Temperature field measurement in titanium alloy during high strain rate loading–adiabatic shear bands phenomenon [J]. Mechanics of Materials, 2008, 40(4/5): 255–270. doi: 10.1016/j.mechmat.2007.08.002 [109] SEIDT J D, KUOKKALA V T, SMITH J L, et al. Synchronous full-field strain and temperature measurement in tensile tests at low, intermediate and high strain rates [J]. Experimental Mechanics, 2017, 57(2): 219–229. doi: 10.1007/s11340-016-0237-z [110] 刘永贵, 唐志平, 崔世堂. 冲击载荷下瞬态温度的实时测量方法 [J]. 爆炸与冲击, 2014, 34(4): 471–475. doi: 10.11883/1001-1455(2014)04-0471-05LIU Y G, TANG Z P, CUI S T. Real-time measuring methods for transient temperatureunder shock loading [J]. Explosion and Shock Waves, 2014, 34(4): 471–475. doi: 10.11883/1001-1455(2014)04-0471-05 [111] 付应乾, 董新龙. 帽型试样动态绝热剪切破坏演化分析 [J]. 固体力学学报, 2015, 36(5): 392–400. doi: 10.19636/j.cnki.cjsm42-1250/o3.2015.05.004FU Y Q, DONG X L. Study of evolution of adiabatic shear failure in hat-shaped specimen under dynamic loading [J]. Chinese Journal of Solid Mechanics, 2015, 36(5): 392–400. doi: 10.19636/j.cnki.cjsm42-1250/o3.2015.05.004 [112] GUO Y Z, RUAN Q C, ZHU S X, et al. Temperature rise associated with adiabatic shear band: causality clarified [J]. Physical Review Letters, 2019, 122(1): 015503. doi: 10.1103/PhysRevLett.122.015503 [113] RITTEL D, RAVICHANDRAN G, VENKERT A, et al. The mechanical response of pure iron at high strain rates under dominant shear [J]. Materials Science and Engineering: A, 2006, 432(1/2): 191–201. doi: 10.1016/j.msea.2006.05.154 [114] ZHU S X, GUO Y Z, RUAN Q C, et al. Formation of adiabatic shear band within Ti-6Al-4V: an in-situ study with high-speed photography and temperature measurement [J]. International Journal of Mechanical Sciences, 2020, 171: 105401. doi: 10.1016/j.ijmecsci.2019.105401 [115] MACDOUGALL D A S, HARDING J. A constitutive relation and failure criterion for Ti6Al4V alloy at impact rates of strain [J]. Journal of the Mechanics and Physics of Solids, 1999, 47(5): 1157–1185. doi: 10.1016/S0022-5096(98)00086-6 [116] ZEHNDER A T, GUDURU P R, ROSAKIS A J, et al. Million frames per second infrared imaging system [J]. Review of Scientific Instruments, 2000, 71(10): 3762–3768. doi: 10.1063/1.1310350 [117] REGEV A, RITTEL D. Simultaneous transient temperature sensing of impacted polymers using infrared detectors and thermocouples [J]. Experimental Mechanics, 2008, 48(5): 675–682. doi: 10.1007/s11340-007-9096-y [118] GIOVANOLA J H. Adiabatic shear banding under pure shear loading Part Ⅱ: fractographic and metallographic observations [J]. Mechanics of Materials, 1988, 7(1): 73–87. doi: 10.1016/0167-6636(88)90007-5 [119] NEMAT-NASSER S, CHANG S N. Compression-induced high strain rate void collapse, tensile cracking, and recrystallization in ductile single and polycrystals [J]. Mechanics of Materials, 1990, 10(1/2): 1–17. doi: 10.1016/0167-6636(90)90013-6 [120] ANDRADE U, MEYERS M A, VECCHIO K S, et al. Dynamic recrystallization in high-strain, high-strain-rate plastic deformation of copper [J]. Acta Metallurgica et Materialia, 1994, 42(9): 3183–3195. doi: 10.1016/0956-7151(94)90417-0 [121] MEYERS M A, NESTERENKO V F, LASALVIA J C, et al. Shear localization in dynamic deformation of materials: microstructural evolution and self-organization [J]. Materials Science and Engineering: A, 2001, 317(1/2): 204–225. doi: 10.1016/S0921-5093(01)01160-1 [122] XU Y B, ZHONG W L, CHEN Y J, et al. Shear localization and recrystallization in dynamic deformation of 8090 Al-Li alloy [J]. Materials Science and Engineering: A, 2001, 299(1/2): 287–295. doi: 10.1016/S0921-5093(00)01412-X [123] HWANG B, LEE S, KIM Y C, et al. Microstructural development of adiabatic shear bands in ultra-fine-grained low-carbon steels fabricated by equal channel angular pressing [J]. Materials Science and Engineering: A, 2006, 441(1/2): 308–320. doi: 10.1016/j.msea.2006.08.045 [124] LIU S L, PAN Z L, ZHAO Y H, et al. Effect of strain rate on the mechanical properties of a gum metal with various microstructures [J]. Acta Materialia, 2017, 132: 193–208. doi: 10.1016/j.actamat.2017.04.052 [125] LIU S L, GUO Y Z, PAN Z L, et al. Microstructural softening induced adiabatic shear banding in Ti-23Nb-0.7Ta-2Zr-O gum metal [J]. Journal of Materials Science & Technology, 2020, 54: 31–39. doi: 10.1016/j.jmst.2020.03.042 [126] RITTEL D, LANDAU P, VENKERT A. Dynamic recrystallization as a potential cause for adiabatic shear failure [J]. Physical Review Letters, 2008, 101(16): 165501. doi: 10.1103/PhysRevLett.101.165501 -

下载:

