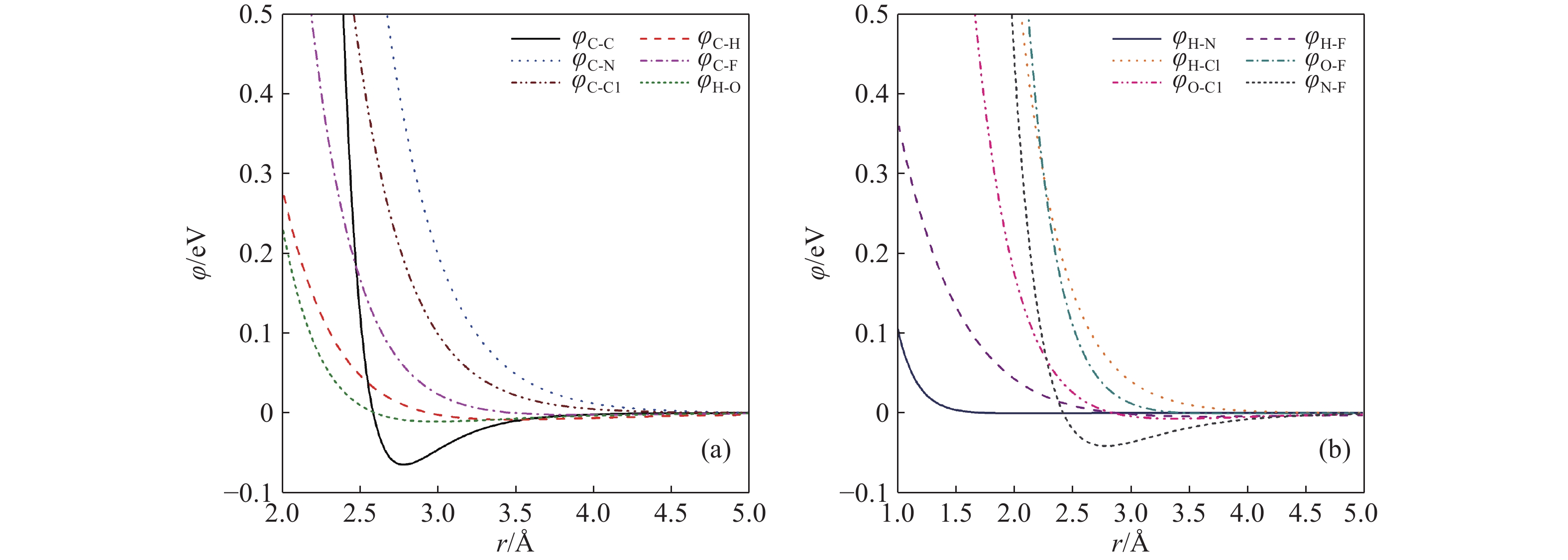
2019年 第33卷 第3期
2019, 33(3): 030102.
doi: 10.11858/gywlxb.20190710
摘要:
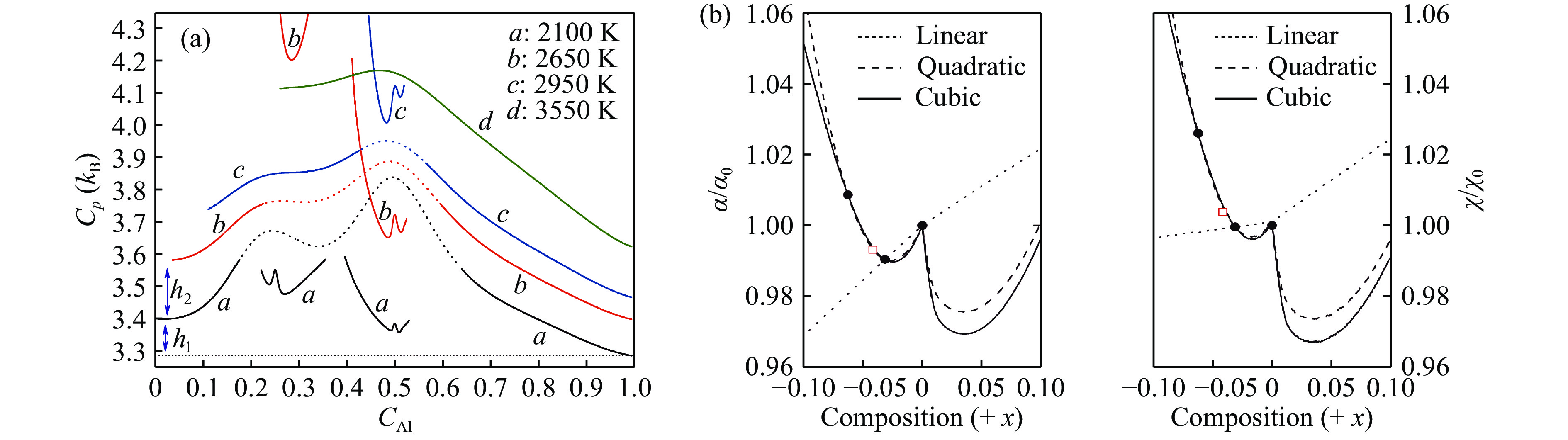
2019, 33(3): 030103.
doi: 10.11858/gywlxb.20190750
摘要:
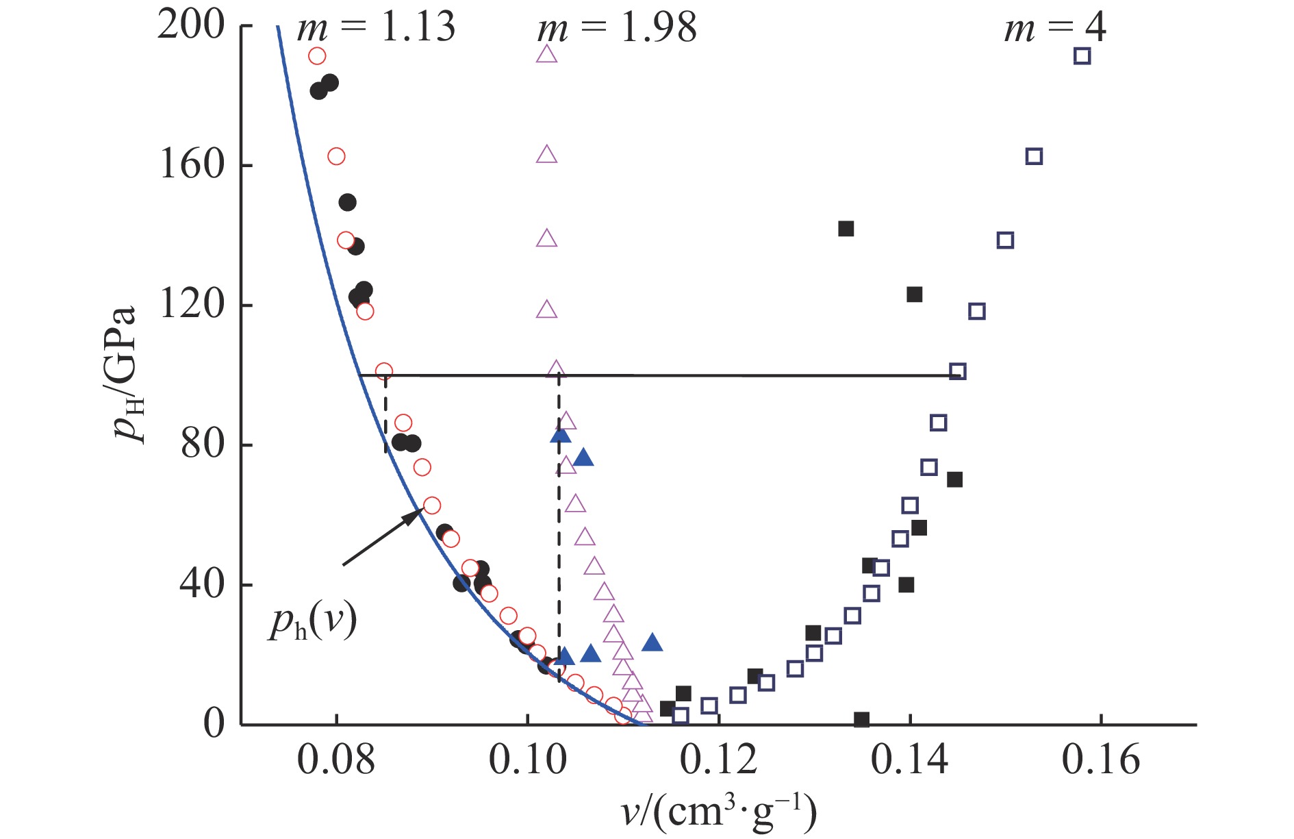
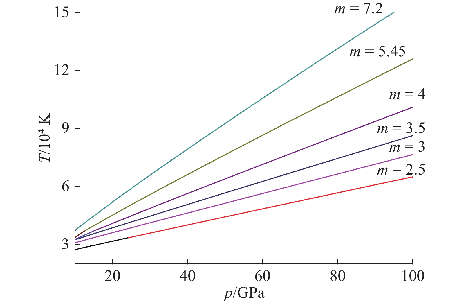
2019, 33(3): 030108.
doi: 10.11858/gywlxb.20190725
摘要:

阅读全文
PDF
引证文献






