高聚物黏结炸药的分子模拟进展

龙瑶 陈军

龙瑶, 陈军. 高聚物黏结炸药的分子模拟进展[J]. 高压物理学报, 2019, 33(3): 030104. doi: 10.11858/gywlxb.20190755
引用本文: 龙瑶, 陈军. 高聚物黏结炸药的分子模拟进展[J]. 高压物理学报, 2019, 33(3): 030104. doi: 10.11858/gywlxb.20190755
LONG Yao, CHEN Jun. Progress of Atomistic Simulations for Plastic Bonded Explosives[J]. Chinese Journal of High Pressure Physics, 2019, 33(3): 030104. doi: 10.11858/gywlxb.20190755
Citation: LONG Yao, CHEN Jun. Progress of Atomistic Simulations for Plastic Bonded Explosives[J]. Chinese Journal of High Pressure Physics, 2019, 33(3): 030104. doi: 10.11858/gywlxb.20190755

高聚物黏结炸药的分子模拟进展

doi: 10.11858/gywlxb.20190755
基金项目: 科学挑战专题(TZ2016001)
详细信息
    作者简介:

    龙 瑶(1980-),男,博士,研究员,主要从事含能材料研究. E-mail:long_yao@iapcm.ac.cn

    通讯作者:

    陈 军(1969-),男,博士,研究员,主要从事计算物理研究. E-mail:jun_chen@iapcm.ac.cn

  • 中图分类号: O521.2

Progress of Atomistic Simulations for Plastic Bonded Explosives

  • 摘要: 回顾了近年来在高聚物黏结炸药(PBX)原子和分子尺度数值模拟方面取得的进展,主要研究领域包括以下6个方面:炸药分子力场、热力学参数计算、耗散/输运性能、相图/相变动力学、动力学响应行为和热点形成机制。针对当前研究现状,介绍了各领域的代表性工作和主要研究成果。目前对PBX炸药的结构和静力学性能已有较充分的认识,但对炸药的动力学响应行为和细观起爆机制尚缺少系统的科学认识,存在一系列挑战性问题,如结构缺陷在爆轰反应后期的形态和表征,以及初始缺陷对爆轰波波形畸变的影响机制。需要将理论计算与实验相结合,以解决爆轰物理领域中的难点问题。

     

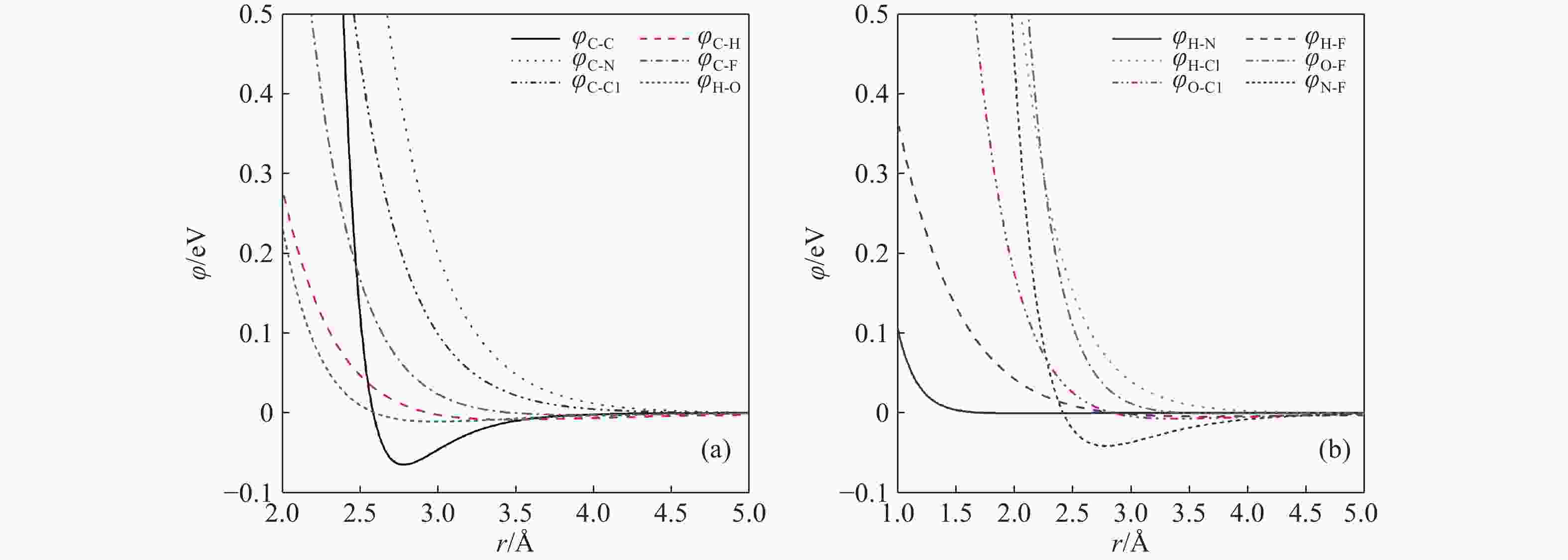
  • 图  TATB/氟聚物界面原子势曲线

    Figure  1.  The potential curves for the TATB/fluoropolymer interface

    图  HMX/F2312界面的拉伸断裂过程

    Figure  2.  The tensile process for the HMX/F2312 interface

    图  (a) RDX多晶,(b) 石蜡包覆RDX,(c) F2311包覆RDX

    Figure  3.  (a) RDX polycrystal, (b) paraffin coated RDX, (c) F2311 coated RDX

    图  对TATB热导起关键作用的部分分子振动模式:(a) TATB分子结构,(b) 振动模式1,(c) 振动模式2

    Figure  4.  Some key vibrational modes for thermal conduction in TATB: (a) TATB molecular structure, (b) the first vibrational mode, (c) the second vibrational mode

    图  TATB/添加剂界面热导率的计算结果

    Figure  5.  The interfacial thermal conductivity vs. temperature for TATB/additive interfaces

    图  通过德拜声子理论计算得到的HMX的三相相图(${\beta '}$表示${\beta }$相通过声子软化形成的新相)

    Figure  6.  The phase diagram of HMX, obtained by Debye theory (The ${\beta '}$ phase is the phonon soften state of ${\beta }$ phase.)

    图  HMX三相的雨贡纽线和瑞利线

    Figure  7.  The Hugoniot curves and Rayleigh curve for the three phases of HMX

    图  孔洞塌缩后的场分布:(a) 温度场,(b) 密度场

    Figure  8.  The temperature field (a) and density field (b) after pore collapsing

    图  HMX/添加剂界面能量禁锢率和界面张力的关系。

    Figure  9.  The energy constraint rate vs. interfacial tension curves for HMX/additive interfaces

  • [1] SORESCU D C, RICE B M, THOMPSON D L. A transferable intermolecular potential for nitramine crystals [J]. The Journal of Physical Chemistry A, 1998, 102(43): 8386–8392. doi: 10.1021/jp9820525
    [2] SORESCU D C, RICE B M, THOMPSON D L. Isothermal-isobaric molecular dynamics simulations of 1, 3, 5, 7-tetranitro-1, 3, 5, 7-tetraazacyclooctane (HMX) crystals [J]. The Journal of Physical Chemistry A, 1998, 102(35): 6692–6695. doi: 10.1021/jp981661+
    [3] SMITH G D, BHARADWAJ R K. Quantum chemistry based force field for simulations of HMX [J]. The Journal of Physical Chemistry B, 1999, 103(4): 3570–3575.
    [4] BEDROV D, AYYAGARI C, SMITH G, et al. Molecular dynamics simulations of HMX crystal polymorphs using a flexible molecule force field [J]. Journal of Computer-Aided Materials Design, 2001, 8: 77–85. doi: 10.1023/A:1020046817543
    [5] BEDROV D, BORODIN O, SMITH G, et al. A molecular dynamics simulation study of crystalline 1, 3, 5-triamino-2, 4, 6-trinitrobenzene as a function of pressure and temperature [J]. The Journal of Chemical Physics, 2009, 131: 224703. doi: 10.1063/1.3264972
    [6] SEWELL T D, MENIKOFF R, BEDROW D, et al. A molecular dynamics simulation study of elastic properties of HMX [J]. The Journal of Chemical Physics, 2003, 119(14): 7417–7426. doi: 10.1063/1.1599273
    [7] BEDROV D, SMITH D. Thermal conductivity of molecular fluids from molecular dynamics simulations: application of a new imposed-flux method [J]. The Journal of Chemical Physics, 2000, 113(18): 8080–8084. doi: 10.1063/1.1312309
    [8] KROONBLAWD M P, SEWELL T D. Theoretical determination of anisotropic thermal conductivity for crystalline 1, 3, 5-triamino-2, 4, 6- trinitrobenzene (TATB) [J]. The Journal of Chemical Physics, 2013, 139: 074503. doi: 10.1063/1.4816667
    [9] KROONBLAWD M P, SEWELL T D. Theoretical determination of anisotropic thermal conductivity for initially defect-free and defective TATB single crystals [J]. The Journal of Chemical Physics, 2014, 141: 184501. doi: 10.1063/1.4901206
    [10] GEE R, ROSZAK S, BALASUBRAMANIAN L, et al. Ab initio based force field and molecular dynamics simulations of crystalline TATB [J]. The Journal of Chemical Physics, 2004, 120(15): 7059–7066. doi: 10.1063/1.1676120
    [11] SONG H J, ZHANG Y G, LI H, et al. All-atom, non-empirical, and tailor-made force field for α-RDX from first principles [J]. RSC Advances, 2014, 4(76): 40518–40533. doi: 10.1039/C4RA07195F
    [12] SUN H. COMPASS: An ab initio force-field optimized for condensed-phase applications-overview with details on alkane and benzene compounds [J]. The Journal of Physical Chemistry B, 1998, 102: 7338–7364. doi: 10.1021/jp980939v
    [13] BUNTE S, SUN H. Molecular modeling of energetic materials: the parameterization and validation of nitrate esters in the COMPASS force field [J]. The Journal of Physical Chemistry B, 2000, 104(11): 2477–2489. doi: 10.1021/jp991786u
    [14] TERSOFF J. Empirical interatomic potential for carbon, with applications to amorphous carbon [J]. Physical Review Letters, 1988, 61(25): 2879–2882. doi: 10.1103/PhysRevLett.61.2879
    [15] LONG Y, LIU Y G, NIE F D, et al. Force-field derivation and atomistic simulation of HMX/graphite interface and polycrystal systems [J]. Communications in Theoretical Physics, 2012, 57(1): 102–114. doi: 10.1088/0253-6102/57/1/16
    [16] LONG Y, LIU Y G, NIE F D, et al. The force-field derivation and atomistic simulation of HMX-fluoropolymer mixture explosives [J]. Colloid & Polymer Science, 2012, 290(18): 1855–1866.
    [17] LONG Y, LIU Y G, NIE F D, et al. Force-field derivation and atomistic simulation of HMX-TATB-graphite mixture explosives [J]. Modelling and Simulation in Materials Science and Engineering, 2012, 20(6): 065010. doi: 10.1088/0965-0393/20/6/065010
    [18] LONG Y, CHEN J. The force-field derivation and application of explosive/additive interfaces [J]. Modelling and Simulation in Materials Science and Engineering, 2016, 24(7): 075013. doi: 10.1088/0965-0393/24/7/075013
    [19] LONG Y, CHEN J. Theoretical study of the interfacial force-field, thermodynamic property, and heat stress for plastic bonded explosives [J]. The Journal of Physical Chemistry C, 2017, 121(5): 2778–2788. doi: 10.1021/acs.jpcc.6b11203
    [20] STRACHAN A, DUIN A, GODDARD W, et al. Shock waves in high-energy materials: the initial chemical events in nitramine RDX [J]. Physical Review Letters, 2003, 91: 098301. doi: 10.1103/PhysRevLett.91.098301
    [21] LIU L, LIU Y, GODDARD W, et al. ReaxFF-lg: correction of the ReaxFF reactive force field for London dispersion, with applications to the equations of state for energetic materials [J]. The Journal of Physical Chemistry A, 2011, 115(40): 11016–11022. doi: 10.1021/jp201599t
    [22] ZHANG L, ZYBIN S V, DUIN A, et al. Carbon cluster formation during thermal decomposition of octahydro-1, 3, 5, 7-tetranitro-1, 3, 5, 7- tetrazocine and 1, 3, 5-triamino-2, 4, 6-trinitrobenzene high explosives from ReaxFF reactive molecular dynamics simulations [J]. The Journal of Physical Chemistry A, 2009, 113(40): 10619–10640. doi: 10.1021/jp901353a
    [23] AN Q, ZYBIN S V, GORRDAR W A, et al. Elucidation of the dynamics for hot-spot initiation at nonuniform interfaces of highly shocked materials [J]. Physical Review B: Condensed Matter, 2011, 84: 220101. doi: 10.1103/PhysRevB.84.220101
    [24] AN Q, GORRDAR W A, ZYBIN S V, et al. Highly shocked polymer bonded explosives at a nonplanar interface: hot-spot formation leading to detonation [J]. The Journal of Physical Chemistry C, 2013, 117(50): 26551–26561. doi: 10.1021/jp404753v
    [25] CHERUKARA M J, WOOD M A, KOBER E M, et al. Ultra-fast chemistry under non-equilibrium conditions and the shock to deflagration transition at the nanoscale [J]. The Journal of Physical Chemistry C, 2015, 119: 22008–22015. doi: 10.1021/acs.jpcc.5b05362
    [26] 肖鹤鸣, 居学海. 高能体系中的分子间相互作用 [M]. 北京: 科学出版社, 2004.
    [27] 肖鹤鸣, 许晓娟, 邱玲. 高能量密度材料的理论设计 [M]. 北京: 科学出版社, 2008.
    [28] 肖继军, 朱卫华, 朱伟, 等. 高能材料分子动力学 [M]. 北京: 科学出版社, 2013.
    [29] XIAO J J, WANG W R, CHEN J, et al. Study on the relations of sensitivity with energy properties for HMX and HMX-based PBXs by molecular dynamics simulation [J]. Physica B: Condensed Matter, 2012, 407(17): 3504–3509. doi: 10.1016/j.physb.2012.05.010
    [30] CAO Q, XIAO J J, GAO P, et al. Molecular dynamics simulations for CL-20/TNT co-crystal based polymer-bonded explosives [J]. Journal of Theoretical and Computational Chemistry, 2017, 16: 1750072. doi: 10.1142/S0219633617500729
    [31] ZERILLI F J, KUKLJA M. Ab initio equation of state of the organic molecular crystal: β-Octahydro-1,3,5,7-tetranitro-1,3,5,7-tetrazocine [J]. The Journal of Physical Chemistry A, 2010, 114(16): 5372–5376. doi: 10.1021/jp911767q
    [32] VALENZANO L, SLOUGH W J, PERGER W. Accurate prediction of second-order elastic constants from first principles: PETN and TATB [J]. AIP Conference Proceedings, 2012, 1426: 1191–1194.
    [33] CUI H, JI G F, CHEN X, et al. Phase transitions and mechanical properties of octahydro-1, 3, 5, 7-tetranitro-1, 3, 5, 7- tetrazocine in different crystal phases by molecular dynamics simulation [J]. Journal of Chemical & Engineering Data, 2010, 55(9): 3121–3129.
    [34] LONG Y, LIU Y G, NIE F D, et al. Theoretical study of breaking and slipping processes for HMX/graphite interface [J]. Applied Surface Science, 2012, 258(7): 2384–2392. doi: 10.1016/j.apsusc.2011.10.052
    [35] QIU L, XIAO H M. Molecular dynamics study of binding energies, mechanical properties, and detonation performances of bicyclo-HMX-based PBXs [J]. Journal of Hazardous Material, 2009, 164(1): 329–336. doi: 10.1016/j.jhazmat.2008.08.030
    [36] XIAO J, HUANG H, LI J S, et al. A molecular dynamics study of interface interactions and mechanical properties of HMX-based PBXs with PEG and HTPB [J]. Journal of Molecular Structure: THEOCHEM, 2008, 851(1): 242–248.
    [37] XIAO J, ZHANG H, HUANG H, et al. NPT ensemble MD simulation investigation on the mechanical properties of HMX/F2311 polymer-bonded explosive [J]. Chinese Journal of Chemistry, 2008, 26(11): 1969–1972. doi: 10.1002/cjoc.v26:11
    [38] JAIDANN M, LUSSIER L S, BOUAMOUL A, et al. Effects of interface interactions on mechanical properties in RDX-based PBXs HTPB-DOA: molecular dynamics simulations [C]//Computational Science-ICCS 2009. Heidelberg: Springer-Berlin, 2009: 131-140.
    [39] JAIDANN M, LUSSIER L S, BOUAMOUL A, et al. Atomistic studies of RDX and FOX-7-based plastic-bonded explosives: molecular dynamics simulation [J]. Procedia Computer Science, 2011, 4: 1177–1185. doi: 10.1016/j.procs.2011.04.126
    [40] KUBO R, TODA M, HASHITSUME N. Statistical physics II: nonequilibrium statistical mechanics [M]. Springer-Verlag, 1997.
    [41] PARLINSKI K, LI Z Q, KAWAZOE Y. First-principles determination of the soft mode in cubic ZrO2 [J]. Physical Review Letters, 1997, 78(21): 4063–4066. doi: 10.1103/PhysRevLett.78.4063
    [42] MARADUDIN A, FEIN A. Scattering of neutrons by an anharmonic crystal [J]. Physical Review, 1962, 128(6): 2589–2608. doi: 10.1103/PhysRev.128.2589
    [43] TOGO A, CHAPUT L, TANAKA I. Distributions of phonon lifetimes in Brillouin zones [J]. Physical Review B: Condensed Matter, 2015, 91: 094306. doi: 10.1103/PhysRevB.91.094306
    [44] MÜLLER-PLATHE F. Reversing the perturbation in nonequilibrium molecular dynamics: an easy way to calculate the shear viscosity of fluids [J]. Physical Review E, 1999, 59: 4894–4898.
    [45] BEDROV D, SMITH G D, SEWELL T D. Thermal conductivity of liquid octahydro-1, 3, 5, 7-tetranitro-1, 3, 5, 7-tetrazocine (HMX) from molecular dynamics simulations [J]. Chemical Physics Letters, 2000, 324: 64–68. doi: 10.1016/S0009-2614(00)00559-5
    [46] KROONBLAWD M P, SEWELL T D. Predicted anisotropic thermal conductivity for crystalline 1, 3, 5-triamino-2, 4, 6-trinitobenzene (TATB): temperature and pressure dependence and sensitivity to intramolecular force field terms [J]. Propellants, Explosives, Pyrotechnics, 2016, 41(3): 502–513. doi: 10.1002/prep.v41.3
    [47] LONG Y, CHEN J, LIU Y G, et al. A direct method to calculate thermal conductivity and its application in solid HMX [J]. Journal of Physics: Condensed Matter, 2010, 22: 185404. doi: 10.1088/0953-8984/22/18/185404
    [48] LONG Y, LIU Y G, NIE F D, et al. A method to calculate the thermal conductivity of HMX under high pressure [J]. Philosophical Magazine, 2012, 92(8): 1023–1045. doi: 10.1080/14786435.2011.637981
    [49] LONG Y, CHEN J. Theoretical study of the phonon-phonon scattering mechanism and the thermal conductive coefficients for energetic material [J]. Philosophical Magazine, 2017, 97: 2575–2595. doi: 10.1080/14786435.2017.1343962
    [50] LONG Y, CHEN J. A theoretical study of wave dispersion and thermal conduction for HMX/additive interfaces [J]. Modelling and Simulation in Materials Science and Engineering, 2014, 22: 035013. doi: 10.1088/0965-0393/22/3/035013
    [51] LONG Y, CHEN J. Theoretical study of the phonon spectrum, phonon refraction and thermodynamic properties for explosive/additive interfaces [J]. Modelling and Simulation in Materials Science and Engineering, 2018, 26: 015002. doi: 10.1088/1361-651X/aa944d
    [52] BEDROV D, SMITH G D, SEWELL T D. Temperature-dependent shear viscosity coefficient of octahydro-1, 3, 5, 7-tetranitro-1, 3, 5, 7-tetrazocine (HMX): a molecular dynamics simulation study [J]. The Journal of Chemical Physics, 2000, 112(16): 7203–7208. doi: 10.1063/1.481285
    [53] LONG Y, CHEN J. The heat dissipation model and desensitizing mechanism of the HMX/additive interfaces: a theoretical investigation based on linear response theory [J]. Modelling and Simulation in Materials Science and Engineering, 2013, 21: 055025. doi: 10.1088/0965-0393/21/5/055025
    [54] KHOLOD Y, OKOVYTYY S, KURAMSHINA G, et al. An analysis of stable forms of CL-20: a DFT study of conformational transitions, infrared and Raman spectra [J]. Journal of Molecular Structure, 2007, 843: 14–25. doi: 10.1016/j.molstruc.2006.12.031
    [55] XU X J, ZHU W H, XIAO H M. DFT Studies on the four polymorphs of crystalline CL-20 and the influences of hydrostatic pressure on ε-CL-20 crystal [J]. The Journal of Physical Chemistry B, 2007, 111(8): 2090–2097. doi: 10.1021/jp066833e
    [56] BRAND H V, RABIE R L, FUNK D J, et al. Theoretical and experimental study of the vibrational spectra of the α, β and δ phases of octahydro-1,3,5,7-tetranitro-1,3,5,7-tetrazocine (HMX) [J]. The Journal of Physical Chemistry B, 2002, 106(41): 10594–10604. doi: 10.1021/jp020909z
    [57] MUNDAY L B, CHUNG P W, RICE B M, et al. Simulations of high-pressure phases in RDX [J]. The Journal of Physical Chemistry B, 2011, 115(15): 4378–4386. doi: 10.1021/jp112042a
    [58] LU L Y, WEI D Q, CHEN X R. The pressure-induced phase transition of the solid β-HMX [J]. Molecular Physics, 2009, 107(22): 2373–2385. doi: 10.1080/00268970903313642
    [59] SMILOWITZ L, HENSON B F, ASAY B W, et al. The β-δ phase transition in the energetic nitramine-octahydro-1, 3, 5, 7-tetranitro-1, 3, 5, 7-tetrazocine: kinetics [J]. The Journal of Chemical Physics, 2002, 117(8): 3789–3798. doi: 10.1063/1.1495399
    [60] SMILOWITZ L, HENSON B F, ASAY B W, et al. The β-δ phase transition in the energetic nitramine-octahydro-1, 3, 5, 7-tetranitro-1, 3, 5, 7-tetrazocine: thermodynamics [J]. The Journal of Chemical Physics, 2002, 117(8): 3780–3788. doi: 10.1063/1.1495398
    [61] LEVITAS V I, HENSON B F, SMILOWITZ L B, et al. Solid-solid phase transformation via internal stress-induced virtual melting, significantly below the melting temperature. application to HMX energetic crystal [J]. The Journal of Physical Chemistry B, 2006, 110(20): 10105–10119. doi: 10.1021/jp057438b
    [62] LI J, BRILL T B. Kinetics of solid polymorphic phase transitions of CL-20 [J]. Propellants, Explosives, Pyrotechnics, 2007, 32(4): 326–330. doi: 10.1002/(ISSN)1521-4087
    [63] MATHEW N, KROONBLAWD M, SEWELL T D, et al. Predicted melt curve and liquid-state transport properties of TATB from molecular dynamics simulations [J]. Molecular Simulation, 2018, 44: 613–622. doi: 10.1080/08927022.2017.1418084
    [64] LONG Y, CHEN J. Theoretical study of phonon density of states, thermodynamic properties and phase transitions for HMX [J]. Philosophical Magazine, 2014, 94: 2656–2677. doi: 10.1080/14786435.2014.927598
    [65] LONG Y, CHEN J. Theoretical study of the thermodynamic properties, phase transition wave, and phase transition velocity for octahydro-1, 3, 5, 7- tetranitro-1, 3, 5, 7-tetrazocine [J]. Journal of Applied Physics, 2015, 118: 115901. doi: 10.1063/1.4930812
    [66] LONG Y, CHEN J. A theoretical study of the stress relaxation in HMX on the picosecond time scale [J]. Modelling and Simulation in Materials Science and Engineering, 2015, 23: 085001. doi: 10.1088/0965-0393/23/8/085001
    [67] KURY J W, HORNIG H C, LEE E L, et al. Metal accelaration by chemical explosives [C]//Proceedings of the 4th International Symposium on Detonation. Maryland: White Oak, 1966: 3–13.
    [68] WANG L L, ZHU X X, SHI S Q. An impact dynamics investigation on some problems in bird strike on windshield of high speed aircrafts [J]. Chinese Journal of Aeronautics, 1991, 12(3): 27–33.
    [69] 周风华, 王礼立, 胡时胜. 有机玻璃在高应变率下的损伤型非线性粘弹性本构关系及破坏准则 [J]. 爆炸与冲击, 1992, 12(4): 333–341.

    ZHOU F H, WANG L L, HU S S. A damage-modified nonlinear visco-elastic constitutive relation and its failure criterion of PMMA at high strain rates [J]. Explosion and Shock Waves, 1992, 12(4): 333–341.
    [70] 赵艳红, 刘海风, 张弓木. PETN炸药爆轰产物状态方程的理论研究 [J]. 高压物理学报, 2009, 23(2): 143–149. doi: 10.3969/j.issn.1000-5773.2009.02.011

    ZHAO Y H, LIU H F, ZHANG G M. Equation of state of detonation products for PETN explosive [J]. Chinese Journal of High Pressure Physics, 2009, 23(2): 143–149. doi: 10.3969/j.issn.1000-5773.2009.02.011
    [71] 赵艳红, 刘海风, 张广财. PBX9502炸药爆轰产物的状态方程 [J]. 爆炸与冲击, 2010, 30(6): 647–651.

    ZHAO Y H, LIU H F, ZHANG G C. Equation of state of detonation products for PBX9502 explosive [J]. Explosion and Shock Waves, 2010, 30(6): 647–651.
    [72] LÜ L, ZHANG L, YANG M L. Understanding the phase separation of N2/H2O and CO2/H2O binary systems through reactive force fields-based molecular dynamics simulations [J]. Journal of Applied Physics, 2018, 124: 235901. doi: 10.1063/1.5066585
    [73] MENIKOFF R. Compaction wave profiles in granular HMX [J]. AIP Conference Proceedings, 2002, 620: 979–982. doi: 10.1063/1.1483701
    [74] MENIKOFF R. Pore collapse and hot spots in HMX [J]. AIP Conference Proceedings, 2004, 706: 393–396. doi: 10.1063/1.1780261
    [75] AUSTIN R A, BARTON N R, HOWARD W M, et al. Modeling pore collapse and chemical reactions in shock-loaded HMX crystals [J]. Journal of Physics: Conference Series, 2014, 500: 052002. doi: 10.1088/1742-6596/500/5/052002
    [76] AUSTIN R A, BARTON N R, REAUGH J E, et al. Direct numerical simulation of shear localization and decomposition reactions in shock-loaded HMX crystal [J]. Journal of Applied Physics, 2015, 117: 185902. doi: 10.1063/1.4918538
    [77] SPRINGER H K, TARVER C M, BASTEA S. Effects of high shock pressures and pore morphology on hot spot mechanisms in HMX [J]. AIP Conference Proceedings, 2017, 1793: 080002. doi: 10.1063/1.4971608
    [78] ZHOU T T, LOU J F, ZHANG Y G, et al. Hot spot formation and chemical reaction initiation in shocked HMX crystals with nanovoids: a large-scale reactive molecular dynamics study [J]. Physical Chemistry Chemical Physics, 2016, 18(26): 17627–17645. doi: 10.1039/C6CP02015A
    [79] LONG Y, CHEN J. An investigation of the hot spot formation mechanism for energetic material [J]. Journal of Applied Physics, 2017, 122: 175105. doi: 10.1063/1.4996385
    [80] LONG Y, CHEN J. A molecular dynamics study of the early-time mechanical heating in shock-loaded octahydro-1, 3, 5, 7-tetranitro-1, 3, 5, 7- tetrazocine-based explosives [J]. Journal of Applied Physics, 2014, 116: 033516. doi: 10.1063/1.4890715
    [81] LONG Y, CHEN J. Theoretical study of the defect evolution for molecular crystal under shock loading [J]. Journal of Applied Physics, 2019, 125: 065107. doi: 10.1063/1.5067284
    [82] ZHANG C Y. Computational investigation on the desensitizing mechanism of graphite in explosives versus mechanical stimuli: compression and glide [J]. The Journal of Physical Chemistry B, 2007, 111(22): 6208–6213. doi: 10.1021/jp070918d
    [83] ZHANG C Y. Understanding the desensitizing mechanism of olefin in explosives versus external mechanical stimuli [J]. The Journal of Physical Chemistry C, 2010, 114(11): 5068–5072. doi: 10.1021/jp910883x
    [84] LONG Y, LIU Y G, NIE F D, et al. Theoretical study of impacting and desensitizing for HMX-graphite mixture explosive [J]. Shock Waves, 2012, 22(6): 605–614. doi: 10.1007/s00193-012-0394-7
  • 加载中
图(9)
计量
  • 文章访问数:  8816
  • HTML全文浏览量:  2829
  • PDF下载量:  74
出版历程
  • 收稿日期:  2019-04-03
  • 修回日期:  2019-04-25

目录

    /

    返回文章
    返回