Review on Evaluation of Temperature-Pressure Equation of State of Porous Materials
-
摘要: 多孔材料是一种重要的结构和功能材料,在过滤、催化、屏蔽和冲击防护等重要工程领域具有广泛的应用。多孔材料的物理力学行为极其复杂,虽然经过多年研究,但是仍未完全理解其在极端条件下的响应行为。以冲击加载下多孔材料的压力和温度变化特点为例,对目前常用的几种具有代表性的以密实材料Hugoniot为参照线的多孔材料物态方程模型进行深入分析,并对多种模型的优劣进行比较,在此基础上提出了一种分段处理多孔材料冲击波数据的方法。以多孔Cu为例,展示了该方法的有效性。这种方法将为发展更为精细严格的多孔材料状态方程理论提供有益的参考。Abstract: As an important structural and functional material, porous material has been widely used in the engineering fields such as filtration, catalysis, shielding and impact protection. Because of its complex physical-mechanical behavior, even with years of research, its response under extreme conditions still has not been fully understood. Taking the characteristics of pressure and temperature change of porous materials under shock loading as an example, this paper makes an in-depth analysis of several typical models of equation of state for porous materials by choosing Hugoniot of the dense material as the reference line and compares them. On the basis of this analysis, an approach of piecewise processing the shock data of porous materials is proposed and its effectiveness is demonstrated for porous copper. This approach may be helpful in developing an accurate and rigorous theory of the equation of state of porous materials.
-
Key words:
- porous materials /
- Debye temperature /
- equation of state /
- shock Hugoniot
-
表 1 不同孔隙度Cu的D-u数据拟合参数
Table 1. The parameters for the D-u data of Cu with high porosity
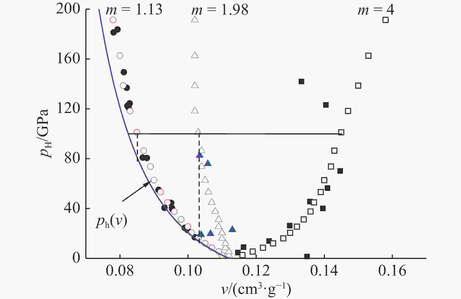
${\rho _{00}}$/(g·cm–3) m c0/(km·s–1) $\lambda $ $\lambda $' 7.900 1.13 1.920 46 2.414 25 –0.146 04 7.315 1.22 1.168 50 2.684 83 –0.199 24 6.326 1.41 0.421 78 2.694 98 –0.183 45 5.742 1.56 0.247 99 2.476 93 –0.117 16 4.508 1.98 0.090 92 2.105 15 –0.080 52 表 2 低孔隙度Cu冲击固相温度与液相温度函数参数
Table 2. The parameters for the shock temperature in the solid and liquid phases of Cu with low porosity
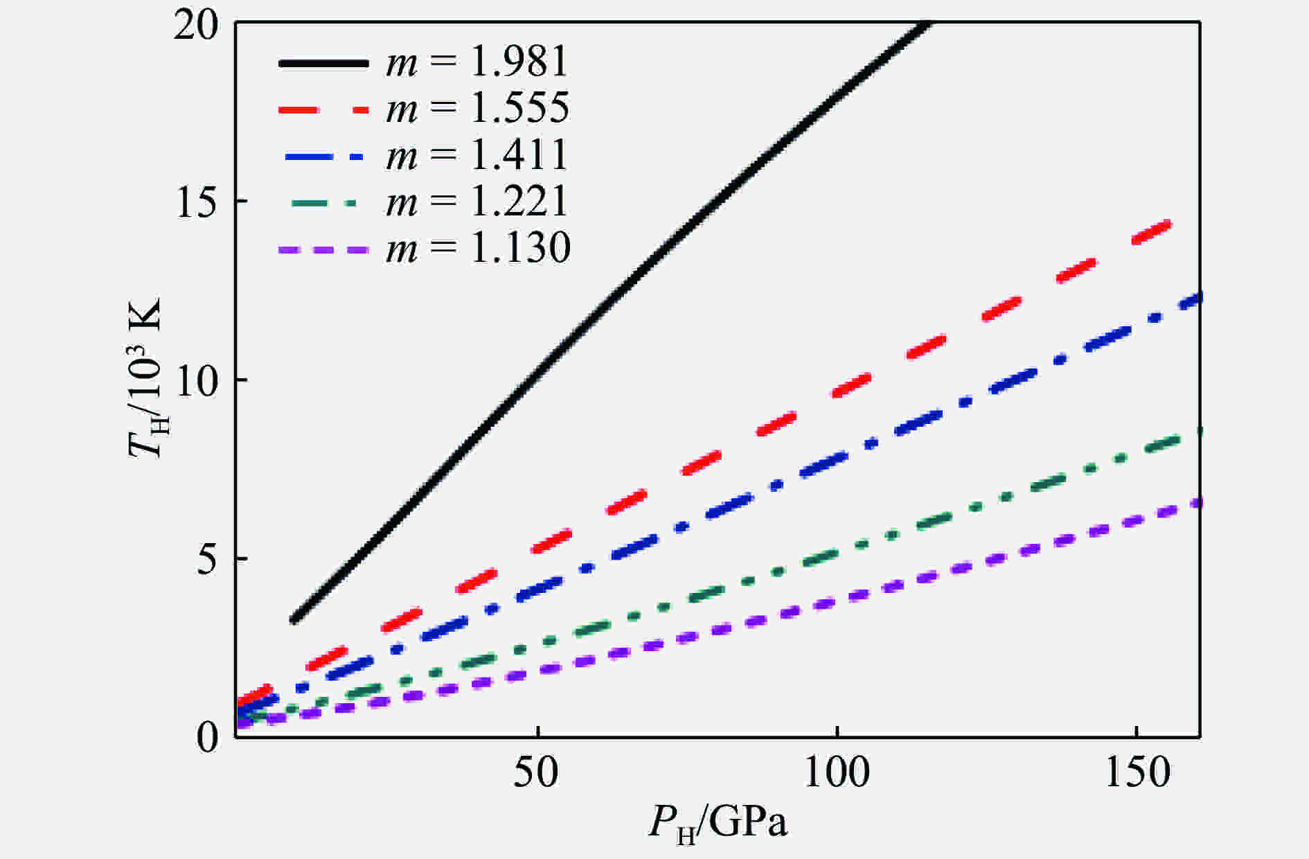
${{\rho _{00}}}$/(g·cm–3) ${T_{\rm H}=a+b p_{\rm H}+c p_{\rm H}^2+d p_{\rm H}^3}$ ${T_{\rm L}=a+b p_{\rm L}+c p_{\rm L}^2+d p_{\rm L}^3}$ a b c d a b c d 7.900 722.153 20 –17.753 26 0.735 67 –0.002 68 5911.275 89 –84.108 46 0.597 35 –8.591 44×10–4 7.315 868.336 33 –26.095 54 1.312 99 –0.006 91 3603.769 33 –55.517 72 0.537 68 –9.226 82×10–4 6.326 1195.581 88 –61.546 11 4.200 98 –0.044 56 –1936.853 58 54.373 03 –0.072 41 2.025 16×10–4 5.742 1342.781 34 –71.452 26 6.891 94 –0.107 30 –519.446 31 45.078 97 –0.040 80 1.391 05×10–4 4.508 –150.530 72 52.113 33 –0.158 49 5.409 68×10–4 表 3 高孔隙度Cu的D-u数据处理参数
Table 3. The fitted parameters to the D-u experimental data of porous Cu with different porosities
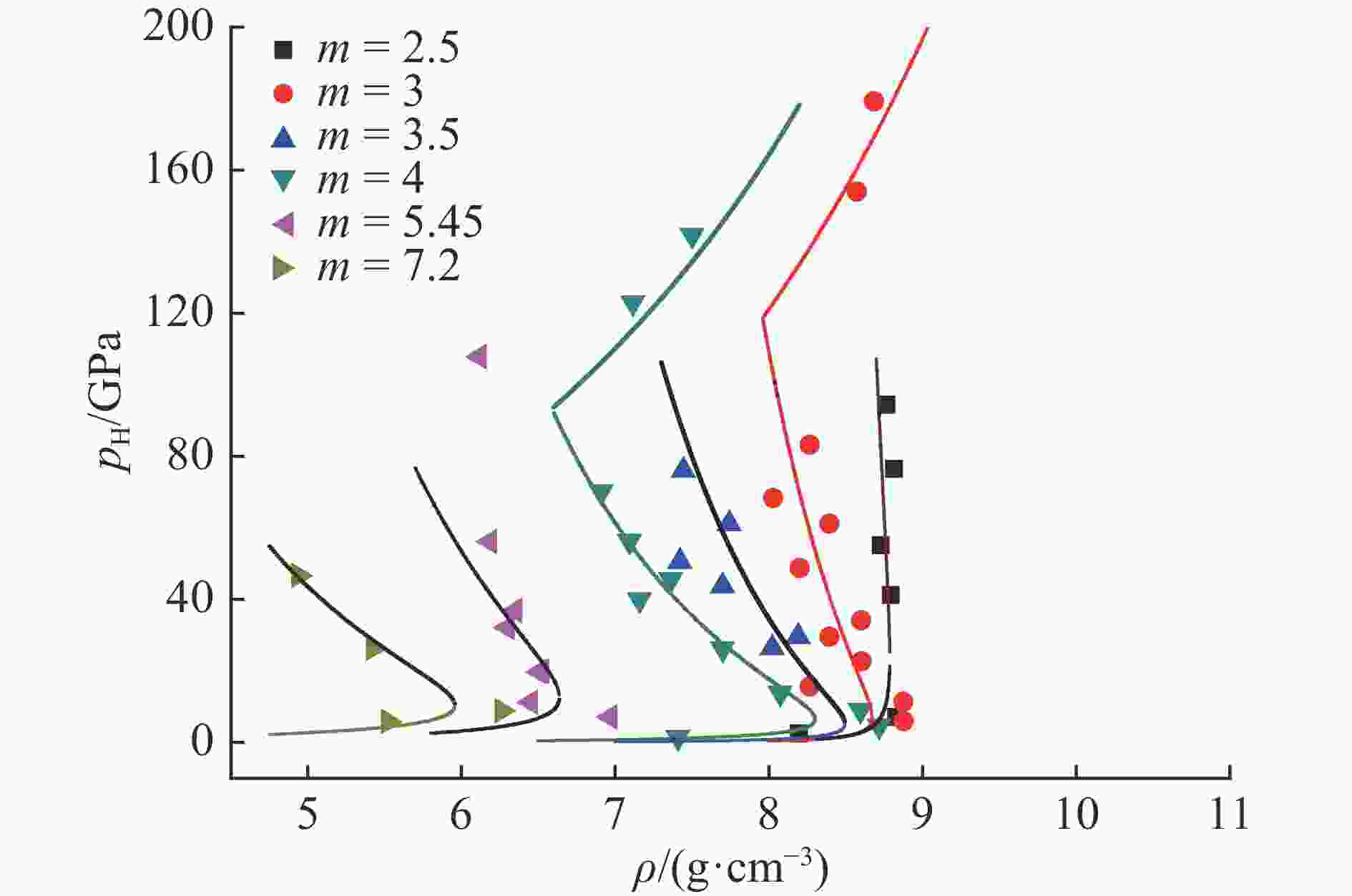
${\rho _{00}}$/(g·cm–3) m c0/(km·s–1) $\lambda $ $\lambda'$ 3.5720 2.5 0.04 1.645 0.01 2.9767 3 0.041 1.456 8 0.026 5 2.073 32 1.182 42 10–9 2.5514 3.5 0.068 1.344 8 0.035 1 2.2325 4 0.112 1.3 0.023 2.966 17 0.866 16 0.015 61 1.6388 5.45 0.225 1.141 31 0.038 64 1.2403 7.2 0.346 83 0.993 52 0.052 32 -
[1] 刘培生. 多孔材料引论[M]. 北京: 清华大学出版社, 2004. [2] GIBSON L J, ASHBY M F. Cellular solids: structure and properties [M]. Cambridge: Cambridge University Press, 1999. [3] 赵信峰, 方炎. 金属铜纳米孔洞阵列膜制备方法研究 [J]. 物理学报, 2016, 55(7): 3785–3789.ZHAO X F, FANG Y. Metal nano-hole array copied from AAO template [J]. Acta PhysicaSinica, 2016, 55(7): 3785–3789. [4] 张华伟, 李言祥. 金属熔体中气泡形核的理论分析 [J]. 物理学报, 2007, 56(8): 4864–4871. doi: 10.3321/j.issn:1000-3290.2007.08.082ZHANG H W, LI Y X. Study on bubble nucleation in liquid metal [J]. Acta PhysicaSinica, 2007, 56(8): 4864–4871. doi: 10.3321/j.issn:1000-3290.2007.08.082 [5] ROSA M E. An introduction to solid foams [J]. Philosophical Magazine Letters, 2008, 88(9-10): 637–645. doi: 10.1080/09500830802302014 [6] 谭华. 实验冲击波物理导引[M]. 北京: 国防工业出版社, 2007: 56. [7] 经福谦. 实验物态方程导引[M]. 北京: 科学出版社, 1986: 134. [8] 李西军, 龚自正, 刘福生. 铁高压熔化线的测量——熔化机理的影响 [J]. 高压物理学报, 2001, 15(3): 221–225. doi: 10.3969/j.issn.1000-5773.2001.03.009LI X J, GONG Z Z, LIU F S. A problem in measurements of high pressure melting curve of iron: influenceof melting mechanism on the melting temperature [J]. Chinese Journal of High Pressure Physics, 2001, 15(3): 221–225. doi: 10.3969/j.issn.1000-5773.2001.03.009 [9] LI X J, GONG Z Z, JING F Q, et al. Sound velocities in porous iron shocked to 177 GPa and the implications for shock melting [J]. Chinese Physics Letters, 2001, 18(12): 1632. doi: 10.1088/0256-307X/18/12/327 [10] WU Q, JING F Q. Thermodynamic equation of state and application to Hugoniot predictions for porous materials [J]. Journal of Applied Physics, 1996, 80(8): 4343. doi: 10.1063/1.363391 [11] BOSHOFF M L, VILJOEN H J. Comparative study of analytical methods for Hugoniot curves of porous materials [J]. Journal of Applied Physics, 1999, 86(3): 1245. doi: 10.1063/1.370878 [12] GENG H Y, WU Q, TAN H, et al. Extension of the Wu–Jing equation of state for highly porous materials: Calculations to validate and compare the thermoelectron model [J]. Journal of Applied Physics, 2002, 92(10): 5917–5923. doi: 10.1063/1.1516618 [13] TRUNIN R F, SIRNAKOV G V, SUTULOV Y N, et al. Compressibility of porous metals in shock waves [J]. Soviet Physics–JETP, 1989, 69(3): 580–588. [14] TRUNIN R F, MEDVEDEV A B, FUNTIKOV A I, et al. Shock compression of porous iron, copper, and tungsten, and their equation of state in the terapascal pressure range [J]. Soviet Physics–JETP, 1989, 68(2): 356–361. [15] 耿华运, 吴强, 谭华. 热力学物态方程参数的统计力学表示 [J]. 物理学报, 2001, 50(7): 1334. doi: 10.3321/j.issn:1000-3290.2001.07.027 [16] 耿华运, 谭华, 吴强. 比容可分性及其在自由电子气体模型中的应用 [J]. 高压物理学报, 2001, 15(3): 199–204. doi: 10.3969/j.issn.1000-5773.2001.03.006GENG H Y, TAN H, WU Q. Aeparability of specific wolume and its application to free-GAS model of thermoelectrons [J]. Chinese Journal of High Pressure Physics, 2001, 15(3): 199–204. doi: 10.3969/j.issn.1000-5773.2001.03.006 [17] GENG H Y, WU Q, TAN H, et al. Bulk sound velocity of porous materials at high pressures [J]. Chinese Physics, 2002, 11(11): 1188. doi: 10.1088/1009-1963/11/11/317 [18] 陈俊祥, 于继东, 耿华运, 等. 多孔材料的温度和压强计算 [J]. 物理学报, 2017, 66(5): 056401. doi: 10.7498/aps.66.056401CHEN J X, YU J D, GENG H Y, et al. Temperature and pressure calculation of porous materials [J]. Acta Physica Sinica, 2017, 66(5): 056401. doi: 10.7498/aps.66.056401 [19] CAO X X, CHEN J X, YU Y, et al. An equation of state for abnormal expansion of shocked porous materials [J]. Journal of Applied Physics, 2018, 124(21): 215903. doi: 10.1063/1.5047233 [20] 陈俊祥. 《实验物态方程导引》附录(内部资料)[Z]. 2019. [21] 于渌, 郝柏琳, 陈晓松. 相变和临界现象[M]. 北京: 科学出版社, 2005: 27. [22] 汤文辉, 张若棋. 物态方程理论及计算概论 [M]. 北京: 高等教育出版社, 1999. -

下载:

