Volume 38 Issue 1
Feb 2024
Turn off MathJax
Article Contents
PENG Yi, DENG Zheng, LI Wenmin, SHI Luchuan, ZHAO Jianfa, ZHANG Jun, WANG Xiancheng, JIN Changqing. Cooling Fields Induced Giant Magnetoresistance in High-Pressure Synthesized Double Perovskite Y2NiIrO6[J]. Chinese Journal of High Pressure Physics, 2024, 38(1): 010103. doi: 10.11858/gywlxb.20230781
Citation: PENG Yi, DENG Zheng, LI Wenmin, SHI Luchuan, ZHAO Jianfa, ZHANG Jun, WANG Xiancheng, JIN Changqing. Cooling Fields Induced Giant Magnetoresistance in High-Pressure Synthesized Double Perovskite Y2NiIrO6[J]. Chinese Journal of High Pressure Physics, 2024, 38(1): 010103. doi: 10.11858/gywlxb.20230781

Cooling Fields Induced Giant Magnetoresistance in High-Pressure Synthesized Double Perovskite Y2NiIrO6

doi: 10.11858/gywlxb.20230781
  • Received Date: 08 Nov 2023
  • Rev Recd Date: 14 Dec 2023
  • Accepted Date: 17 Jan 2024
  • Available Online: 29 Jan 2024
  • Issue Publish Date: 05 Feb 2024
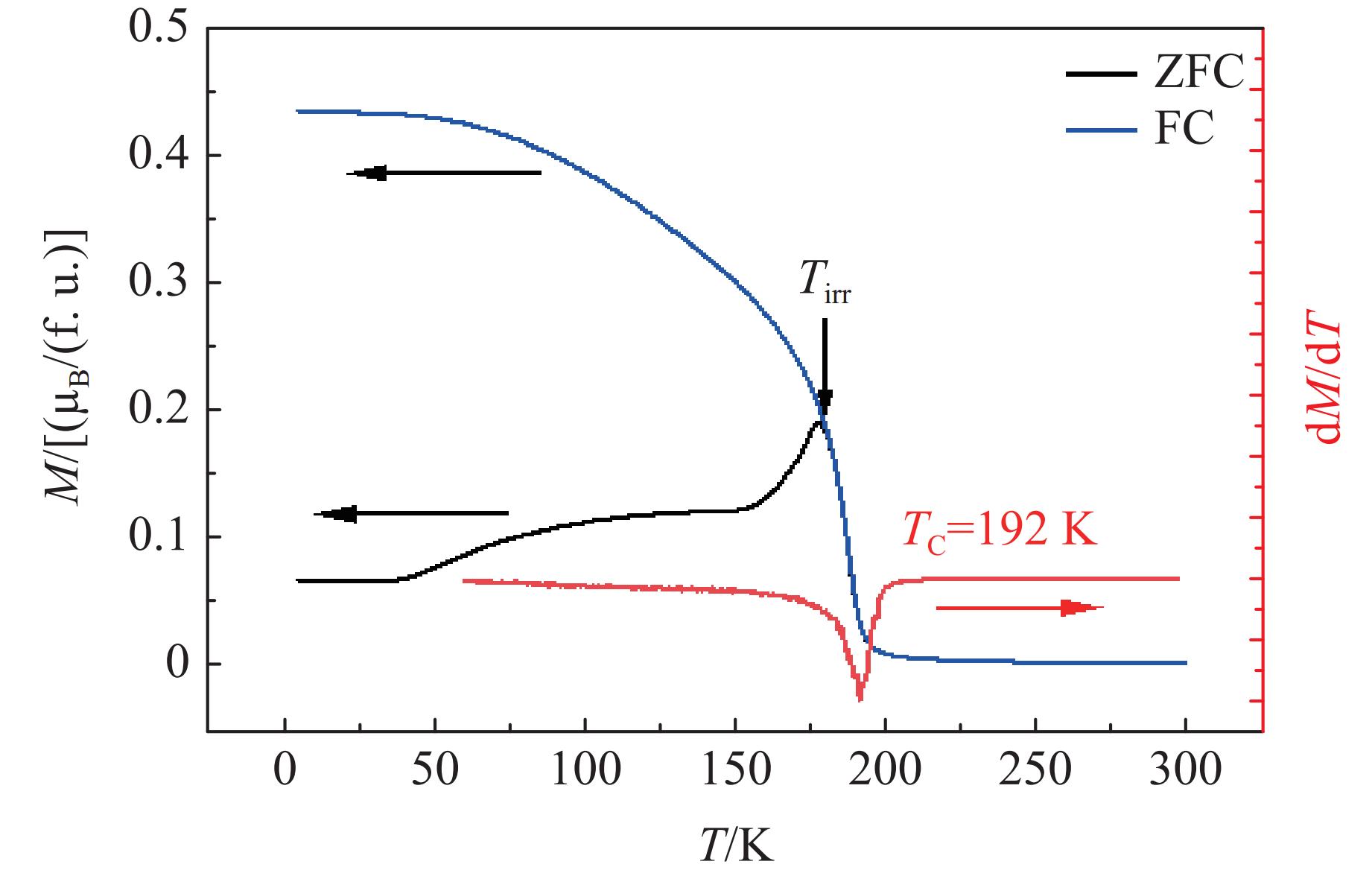
  • Double perovskite Y2NiIrO6 is a ferrimagnetic material with Curie temperature of 192 K. It has drawn wide attention owing to its remarkable exchange-bias effect. Here, we studied the low-temperature crystal structure, electron transport properties and magnetoresistance of Y2NiIrO6. The crystal structure under 130 K is almost identical with that of room-temperature. The material shows semiconducting behavior in the temperature range of 130 to 300 K. Above Curie temperature it can be well describe as Efros-Shklovskii variable-range hopping model. Below Curie temperature, a departure occurs due to the forming of long-range ferrimagnetic ordering. It is interesting to find that the magnetic ordering results into negative magneto-resistance. Moreover, giant magnetoresistance up to –10% is induced by cooling field of 7.0 T. This mechanism of this remarkable effect provides a new boulevard to discover new type of giant magneto-resistance materials.

     

  • loading
  • [1]
    WU S M, CYBART S A, YU P, et al. Reversible electric control of exchange bias in a multiferroic field-effect device [J]. Nature Materials, 2010, 9(9): 756–761.
    [2]
    PARKIN S S P, ROCHE K P, SAMANT M G, et al. Exchange-biased magnetic tunnel junctions and application to nonvolatile magnetic random access memory (invited) [J]. Journal of Applied Physics, 1999, 85(8): 5828–5833.
    [3]
    LEIGHTON C, SONG M, NOGUÉS J, et al. Using magnetoresistance to probe reversal asymmetry in exchange biased bilayers [J]. Journal of Applied Physics, 2000, 88(1): 344–347.
    [4]
    BOBO J F, GABILLET L, BIBES M. Recent advances in nanomagnetism and spin electronics [J]. Journal of Physics: Condensed Matter, 2004, 16(5): S471–S496.
    [5]
    OHLDAG H, SCHOLL A, NOLTING F, et al. Correlation between exchange bias and pinned interfacial spins [J]. Physical Review Letters, 2003, 91(1): 017203.
    [6]
    SHIRATSUCHI Y, NOUTOMI H, OIKAWA H, et al. Detection and in situ switching of unreversed interfacial antiferromagnetic spins in a perpendicular-exchange-biased system [J]. Physical Review Letters, 2012, 109(7): 077202.
    [7]
    LIU Z H, ZHANG Y J, ZHANG H G, et al. Giant exchange bias in Mn2FeGa with hexagonal structure [J]. Applied Physics Letters, 2016, 109(3): 032408.
    [8]
    DING L, CHU L H, MANUEL P, et al. Giant spontaneous exchange bias in an antiperovskite structure driven by a canted triangular magnetic structure [J]. Materials Horizons, 2019, 6(2): 318–325.
    [9]
    MANIV E, MURPHY R A, HALEY S C, et al. Exchange bias due to coupling between coexisting antiferromagnetic and spin-glass orders [J]. Nature Physics, 2021, 17(4): 525–530.
    [10]
    PATRA M, MAJUMDAR S, GIRI S. Exchange bias effect and intragranular magnetoresistance in Nd0.84Sr0.16CoO3 [J]. Journal of Physics: Condensed Matter, 2009, 21(48): 486003. doi: 10.1088/0953-8984/21/48/486003
    [11]
    GIRI S, PATRA M, MAJUMDAR S. Exchange bias effect in alloys and compounds [J]. Journal of Physics: Condensed Matter, 2011, 23(7): 073201. doi: 10.1088/0953-8984/23/7/073201
    [12]
    JANA S, MIDDEY S, RAY S. Spin-valve-type magnetoresistance: a generic feature of ferromagnetic double perovskites [J]. Journal of Physics: Condensed Matter, 2010, 22(34): 346004. doi: 10.1088/0953-8984/22/34/346004
    [13]
    DENG Z, WANG X, WANG M Q, et al. Giant exchange-bias-like effect at low cooling fields induced by pinned magnetic domains in Y2NiIrO6 double perovskite [J]. Advanced Materials, 2023, 35(17): 2209759.
    [14]
    CHENG J G, ZHOU J S, GOODENOUGH J B, et al. High-pressure synthesis and physical properties of perovskite and post-perovskite Ca1− x Sr x IrO3 [J]. Physical Review B, 2011, 83(6): 064401. doi: 10.1103/PhysRevB.83.064401
    [15]
    PENG S Z, ZHU D Q, LI W X, et al. Exchange bias switching in an antiferromagnet/ferromagnet bilayer driven by spin-orbit torque [J]. Nature Electronics, 2020, 3(12): 757–764.
    [16]
    WEI Q Q, WANG H L, ZHAO X P, et al. Electron mobility anisotropy in (Al, Ga)Sb/InAs two-dimensional electron gases epitaxied on GaAs (001) substrates [J]. Journal of Semiconductors, 2022, 43(7): 072101. doi: 10.1088/1674-4926/43/7/072101
    [17]
    DENG Z, RETUERTO M, LIU S Z, et al. Dynamic ferrimagnetic order in a highly distorted double perovskite Y2CoRuO6 [J]. Chemistry of Materials, 2018, 30(20): 7047–7054.
    [18]
    DENG Z, KANG C J, CROFT M, et al. A pressure-induced inverse order-disorder transition in double perovskites [J]. Angewandte Chemie International Edition, 2020, 59(21): 8240–8246. doi: 10.1002/anie.202001922
    [19]
    TOBY B H. EXPGUI, a graphical user interface for GSAS [J]. Journal of Applied Crystallography, 2001, 34(2): 210–213. doi: 10.1107/S0021889801002242
    [20]
    BUCHNER M, HENNE B, NEY V, et al. Transition from a hysteresis-like to an exchange-bias-like response of an uncompensated antiferromagnet [J]. Physical Review B, 2019, 99(6): 064409. doi: 10.1103/PhysRevB.99.064409
    [21]
    NAYAK A K, NICKLAS M, CHADOV S, et al. Design of compensated ferrimagnetic Heusler alloys for giant tunable exchange bias [J]. Nature Materials, 2015, 14(7): 679–684. doi: 10.1038/nmat4248
    [22]
    NAYAK A K, NICKLAS M, CHADOV S, et al. Large zero-field cooled exchange-bias in bulk Mn2PtGa [J]. Physical Review Letters, 2013, 110(12): 127204. doi: 10.1103/PhysRevLett.110.127204
    [23]
    NAKATSUJI S, DOBROSAVLJEVIĆ V, TANASKOVIĆ D, et al. Mechanism of hopping transport in disordered mott insulators [J]. Physical Review Letters, 2004, 93(14): 146401. doi: 10.1103/PhysRevLett.93.146401
    [24]
    FISHER B, GENOSSAR J, CHASHKA K B, et al. Variable range hopping in A2MnReO6 (A=Ca, Sr, Ba) [J]. Journal of Applied Physics, 2008, 104(3): 033716. doi: 10.1063/1.2967820
    [25]
    LIU X Y, RINEY L, GUERRA J, et al. Colossal negative magnetoresistance from hopping in insulating ferromagnetic semiconductors [J]. Journal of Semiconductors, 2022, 43(11): 112502. doi: 10.1088/1674-4926/43/11/112502
  • 加载中

Catalog

    通讯作者: 陈斌, bchen63@163.com
    • 1. 

      沈阳化工大学材料科学与工程学院 沈阳 110142

    1. 本站搜索
    2. 百度学术搜索
    3. 万方数据库搜索
    4. CNKI搜索

    Figures(7)  / Tables(1)

    Article Metrics

    Article views(573) PDF downloads(49) Cited by()
    Proportional views
    Related
    

    /

    DownLoad:  Full-Size Img  PowerPoint
    Return
    Return