Volume 38 Issue 1
Feb 2024
Turn off MathJax
Article Contents
YANG Dong, JIANG Ziwei, ZHENG Zhijun. Dynamic Behavior and Constitutive Relationship of Titanium Alloy Ti6Al4V under High Temperature and High Strain Rate[J]. Chinese Journal of High Pressure Physics, 2024, 38(1): 014101. doi: 10.11858/gywlxb.20230743
Citation: YANG Dong, JIANG Ziwei, ZHENG Zhijun. Dynamic Behavior and Constitutive Relationship of Titanium Alloy Ti6Al4V under High Temperature and High Strain Rate[J]. Chinese Journal of High Pressure Physics, 2024, 38(1): 014101. doi: 10.11858/gywlxb.20230743

Dynamic Behavior and Constitutive Relationship of Titanium Alloy Ti6Al4V under High Temperature and High Strain Rate

doi: 10.11858/gywlxb.20230743
  • Received Date: 27 Sep 2023
  • Rev Recd Date: 12 Oct 2023
  • Available Online: 19 Dec 2023
  • Issue Publish Date: 05 Feb 2024
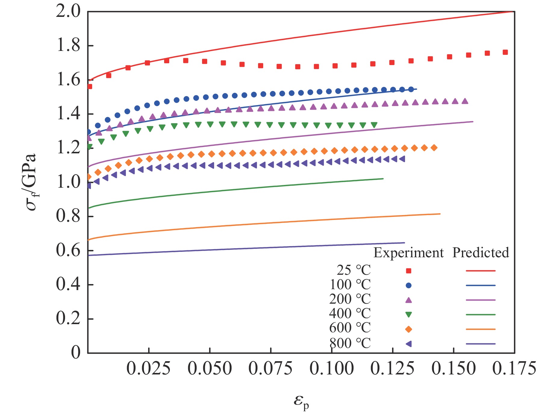
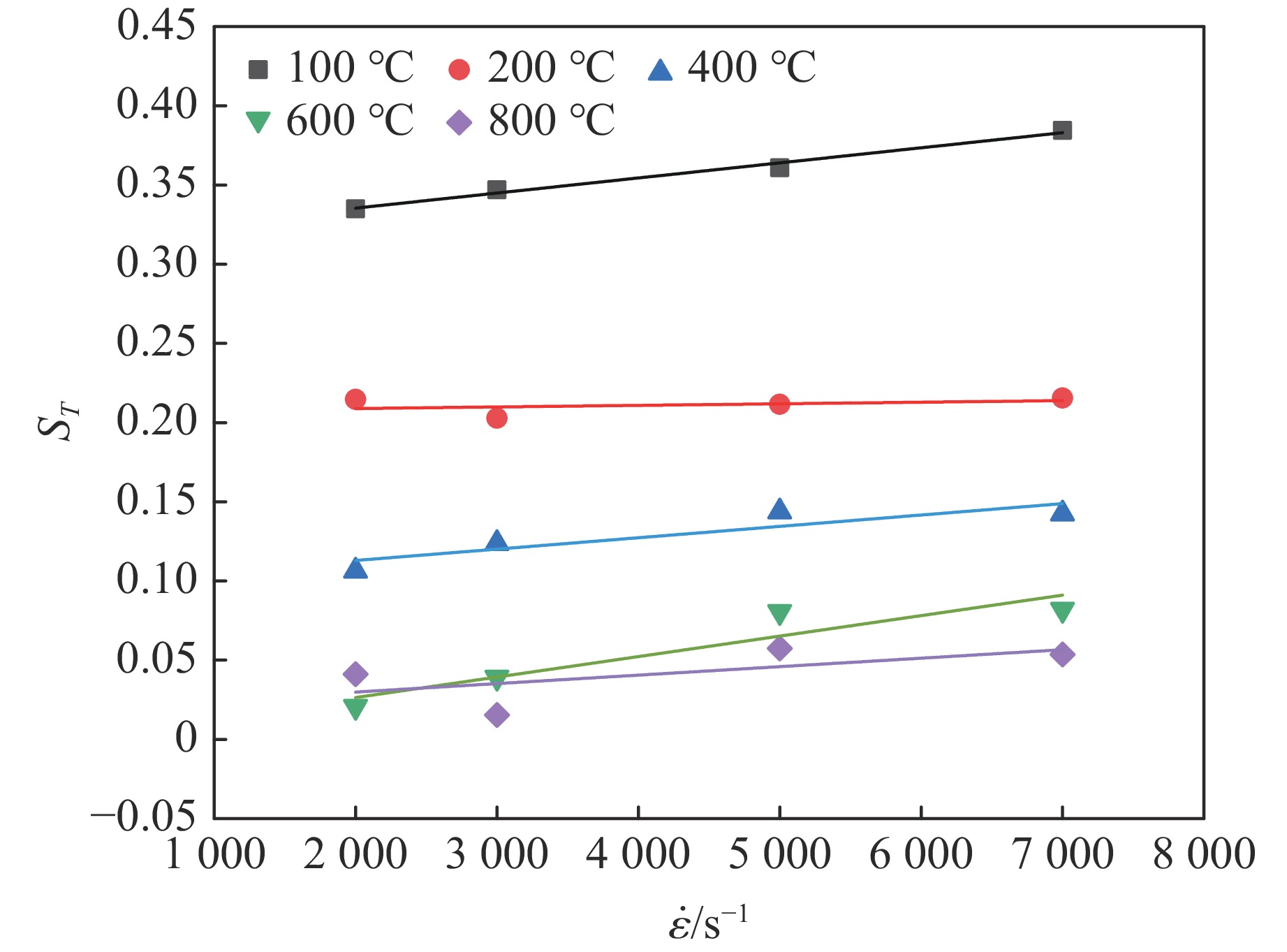
  • The dynamic mechanical behavior and microstructure evolution of titanium alloy Ti6Al4V under shock compression at temperatures ranging from 25 ℃ to 800 ℃ and strain rates from 2000 s−1 to 7000 s−1 were studied by using a split Hopkinson pressure bar. The temperature dependence and strain rate sensitivity of the material’s mechanical response were analyzed, and a modified Johnson-Cook model that could accurately characterize the plastic flow behavior of the material was developed. The results show that Ti6Al4V exhibited significant strain hardening, strain rate strengthening, strain rate plasticity, and temperature softening effects. With increasing loading temperature and strain rate, the material’s strain hardening effect is weakened. The temperature sensitivity is significantly decreased with increasing loading temperature. The strain rate sensitivity factor is negatively correlated with the loading temperature, and it shows a downward trend as the true strain increased. At high temperatures and high strain rates, fine equiaxial α phase, elongated α phase, and massive α phase replace the initial equiaxial α phase as the typical microstructure features of Ti6Al4V. The modified Johnson-Cook model that considers the effect of rate-temperature coupling and adiabatic temperature rise can accurately predict the plastic flow stress-strain response of Ti6Al4V.

     

  • loading
  • [1]
    姜紫薇, 杨东, 陈建彬. 面向高速切削的钛合金Ti-6Al-4V动态本构模型: 综述 [J]. 航空材料学报, 2023, 43(4): 55–67. doi: 10.11868/j.issn.1005-5053.2022.000169

    JIANG Z W, YANG D, CHEN J B. Dynamic constitutive model of titanium alloy Ti-6Al-4V for high speed cutting: a review [J]. Journal of Aeronautical Materials, 2023, 43(4): 55–67. doi: 10.11868/j.issn.1005-5053.2022.000169
    [2]
    WANG B, XIAO X R, ASTAKHOV V P, et al. The effects of stress triaxiality and strain rate on the fracture strain of Ti6Al4V [J]. Engineering Fracture Mechanics, 2019, 219: 106627. doi: 10.1016/j.engfracmech.2019.106627
    [3]
    LONGÈRE P, DRAGON A. Dynamic vs. quasi-static shear failure of high strength metallic alloys: experimental issues [J]. Mechanics of Materials, 2015, 80: 203–218. doi: 10.1016/j.mechmat.2014.05.001
    [4]
    ZHANG J, TAN C W, REN Y, et al. Adiabatic shear fracture in Ti-6Al-4V alloy [J]. Transactions of Nonferrous Metals Society of China, 2011, 21(11): 2396–2401. doi: 10.1016/S1003-6326(11)61026-1
    [5]
    张炜琪, 许泽建, 孙中岳, 等. Ti-6Al-4V在高应变率下的动态剪切特性及失效机理 [J]. 爆炸与冲击, 2018, 38(5): 1137–1144. doi: 10.11883/bzycj-2017-0107

    ZHANG W Q, XU Z J, SUN Z Y, et al. Dynamic shear behavior and failure mechanism of Ti-6Al-4V at high strain rates [J]. Explosion and Shock Waves, 2018, 38(5): 1137–1144. doi: 10.11883/bzycj-2017-0107
    [6]
    ZHOU L B, SHIMIZU J, MUROYA A, et al. Material removal mechanism beyond plastic wave propagation rate [J]. Precision Engineering, 2003, 27(2): 109–116. doi: 10.1016/S0141-6359(02)00124-1
    [7]
    陈敏. TC4钛合金力学性能测试及动态材料模型研究 [D]. 南京: 南京航空航天大学, 2012: 20–30.

    CHEN M. Research on mechanical properties test and dynamic material model of Ti6Al4V titanium alloy [D]. Nanjing: Nanjing University of Aeronautics and Astronautics, 2012: 20–30.
    [8]
    周琳, 王子豪, 文鹤鸣. 简论金属材料JC本构模型的精确性 [J]. 高压物理学报, 2019, 33(4): 042101. doi: 10.11858/gywlxb.20190721

    ZHOU L, WANG Z H, WEN H M. On the accuracy of the Johnson-Cook constitutive model for metals [J]. Chinese Journal of High Pressure Physics, 2019, 33(4): 042101. doi: 10.11858/gywlxb.20190721
    [9]
    刘杨, 李志强, 赵冰, 等. TA32钛合金超塑性变形行为及本构模型 [J]. 稀有金属材料与工程, 2022, 51(10): 3752–3761.

    LIU Y, LI Z Q, ZHAO B, et al. Superplastic deformation behavior and constitutive model of TA32 titanium alloy [J]. Rare Metal Materials and Engineering, 2022, 51(10): 3752–3761.
    [10]
    桑晔. TC4钛合金薄板高温塑性变形行为及成形性研究 [D]. 长春: 长春工业大学, 2022: 15–16.

    SANG Y. Research on high temperature plastic deformation behavior and formability of TC4 titanium alloy sheet [D]. Changchun: Changchun University of Technology, 2022: 15–16.
    [11]
    艾建光, 姜峰, 言兰. TC4-DT钛合金材料动态力学性能及其本构模型 [J]. 中国机械工程, 2017, 28(5): 607–616. doi: 10.3969/j.issn.1004-132X.2017.05.017

    AI J G, JIANG F, YAN L. Dynamic mechanics behavior and constitutive model of TC4-DT titanium alloy materials [J]. China Mechanical Engineering, 2017, 28(5): 607–616. doi: 10.3969/j.issn.1004-132X.2017.05.017
    [12]
    桂林. 微观组织对TC4钛合金绝热剪切行为的影响 [D]. 沈阳: 沈阳工业大学, 2021: 32–47.

    GUI L. Effect of microstructure on the adiabatic shear behavior of TC4 titanium alloy [D]. Shenyang: Shenyang University of Technology, 2021: 32–47.
    [13]
    《中国航空材料手册》编辑委员会. 中国航空材料手册-第4卷-钛合金 铜合金 [M]. 2版. 北京: 中国标准出版社, 2002: 104.

    Editorial Committee of China Aviation Materials Manual. China aeronautical materials manual: volume 4: titanium alloy copper alloy [M]. 2nd ed. Beijing: Standards Press of China, 2002: 104.
    [14]
    YADAV R, CHAKLADAR N D, PAUL S. A dynamic recrystallization based constitutive flow model for micro-machining of Ti-6Al-4V [J]. Journal of Manufacturing Processes, 2022, 77: 463–484. doi: 10.1016/j.jmapro.2022.03.040
    [15]
    YANG J Z, WU J J, XIE H N, et al. Mechanism of continuous dynamic recrystallization of Ti-6Al-4V alloy during superplastic forming with sub-grain rotation [J]. Transactions of Nonferrous Metals Society of China, 2023, 33(3): 777–788. doi: 10.1016/S1003-6326(23)66145-X
    [16]
    牛秋林, 陈明, 明伟伟. TC17钛合金在高温与高应变率下的动态压缩力学行为研究 [J]. 中国机械工程, 2017, 28(23): 2888–2892, 2897. doi: 10.3969/j.issn.1004-132X.2017.23.017

    NIU Q L, CHEN M, MING W W. Study on dynamic compressive mechanics behavior of TC17 titanium alloy at high temperature and high strain rates [J]. China Mechanical Engineering, 2017, 28(23): 2888–2892, 2897. doi: 10.3969/j.issn.1004-132X.2017.23.017
    [17]
    JOHNSON G R, COOK W H. A constitutive model and data for metals subjected to large strains, high strain rates and high temperatures [J]. Engineering Fracture Mechanics, 1983, 21: 541–548.
    [18]
    XU Z J, HUANG F L. Thermomechanical behavior and constitutive modeling of tungsten-based composite over wide temperature and strain rate ranges [J]. International Journal of Plasticity, 2013, 40: 163–184. doi: 10.1016/j.ijplas.2012.08.004
    [19]
    LIANG R Q, KHAN A S. A critical review of experimental results and constitutive models for BCC and FCC metals over a wide range of strain rates and temperatures [J]. International Journal of Plasticity, 1999, 15(9): 963–980. doi: 10.1016/S0749-6419(99)00021-2
    [20]
    李云飞, 曾祥国. TC21钛合金动态拉伸行为的率-热效应及其本构关系 [J]. 稀有金属材料与工程, 2018, 47(6): 1760–1765.

    LI Y F, ZENG X G. Effect of strain rate and temperature on the dynamic tensile behavior and constitutive model of TC21 titanium alloy [J]. Rare Metal Materials and Engineering, 2018, 47(6): 1760–1765.
  • 加载中

Catalog

    通讯作者: 陈斌, bchen63@163.com
    • 1. 

      沈阳化工大学材料科学与工程学院 沈阳 110142

    1. 本站搜索
    2. 百度学术搜索
    3. 万方数据库搜索
    4. CNKI搜索

    Figures(14)  / Tables(1)

    Article Metrics

    Article views(1237) PDF downloads(91) Cited by()
    Proportional views
    Related
    

    /

    DownLoad:  Full-Size Img  PowerPoint
    Return
    Return