Current Issue
2026 Vol. 40, No. 1
Display Method:
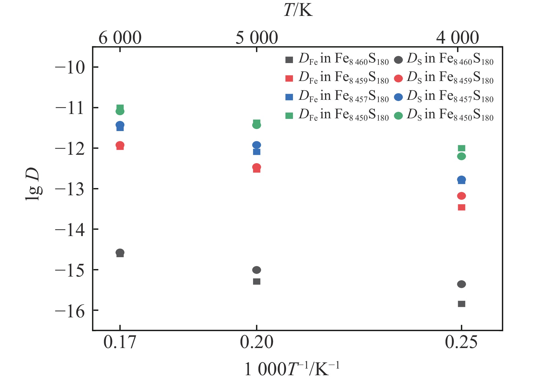
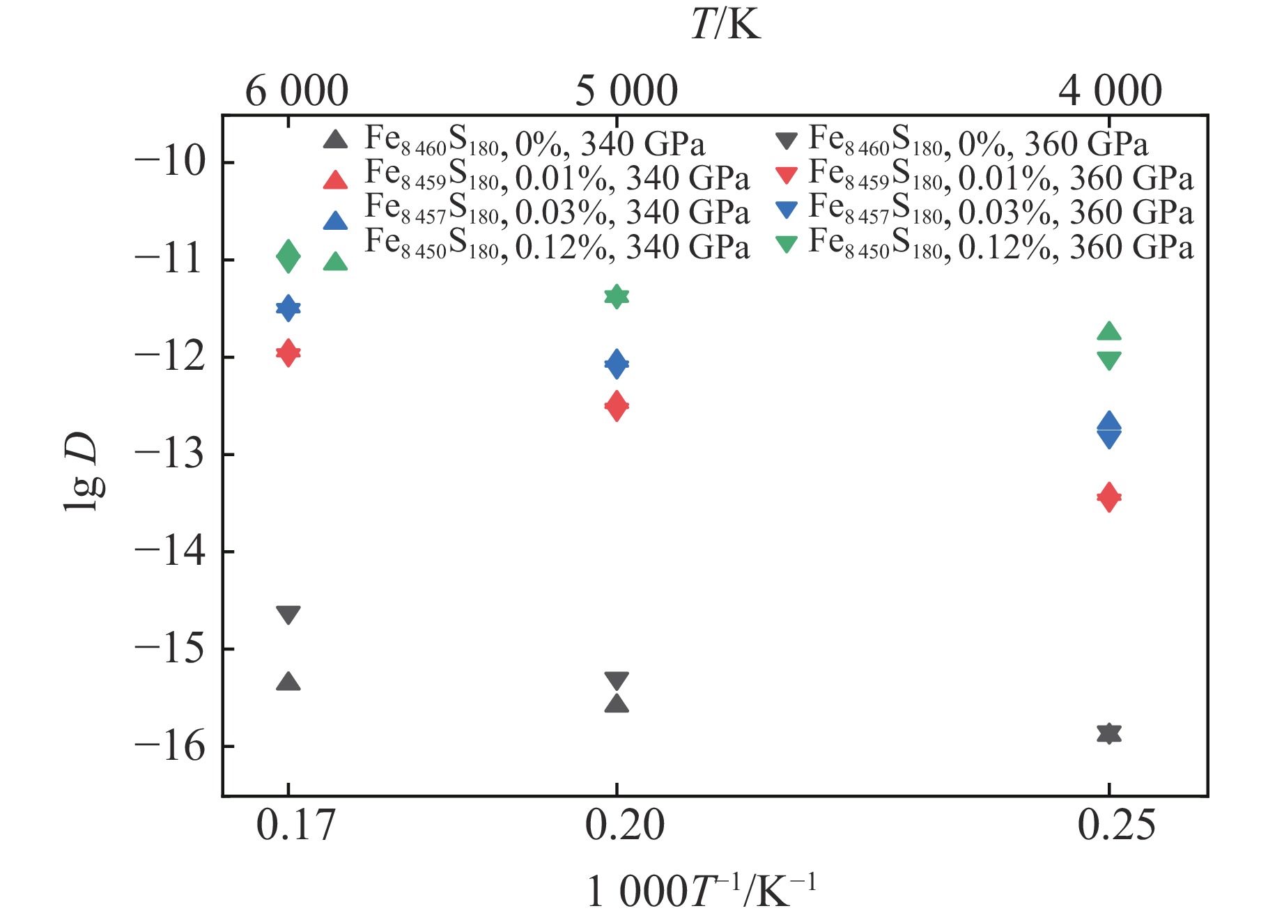
2026, 40(1): 010101.
doi: 10.11858/gywlxb.20251218
Abstract:
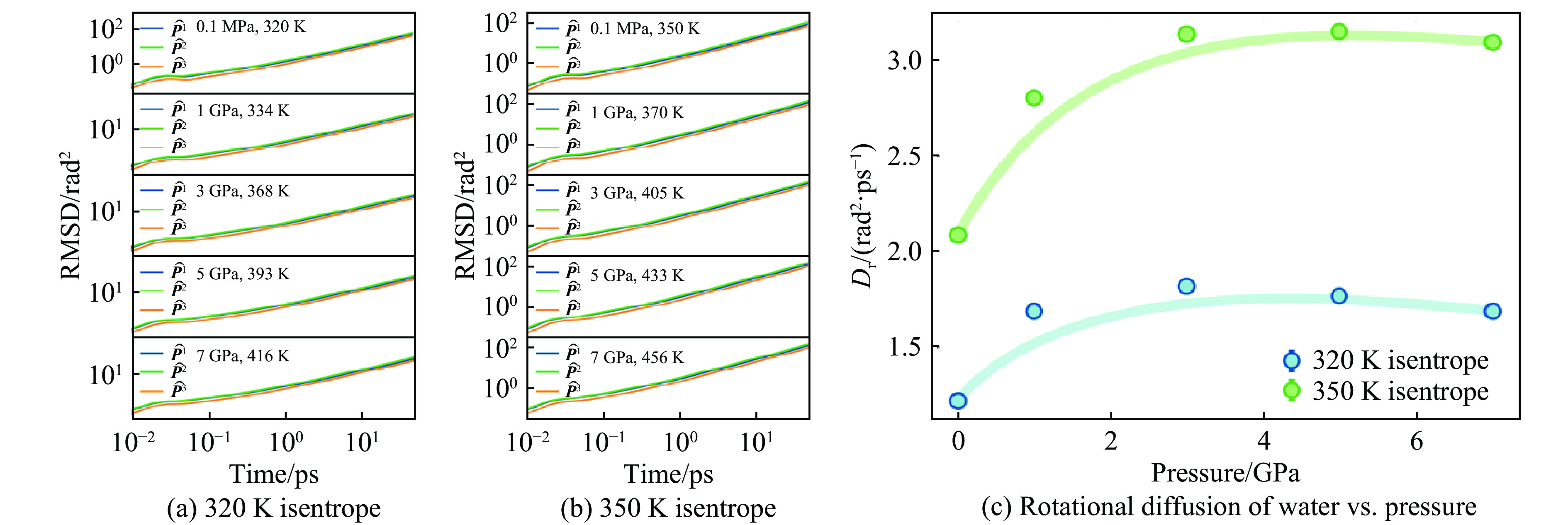
2026, 40(1): 010102.
doi: 10.11858/gywlxb.20251172
Abstract:
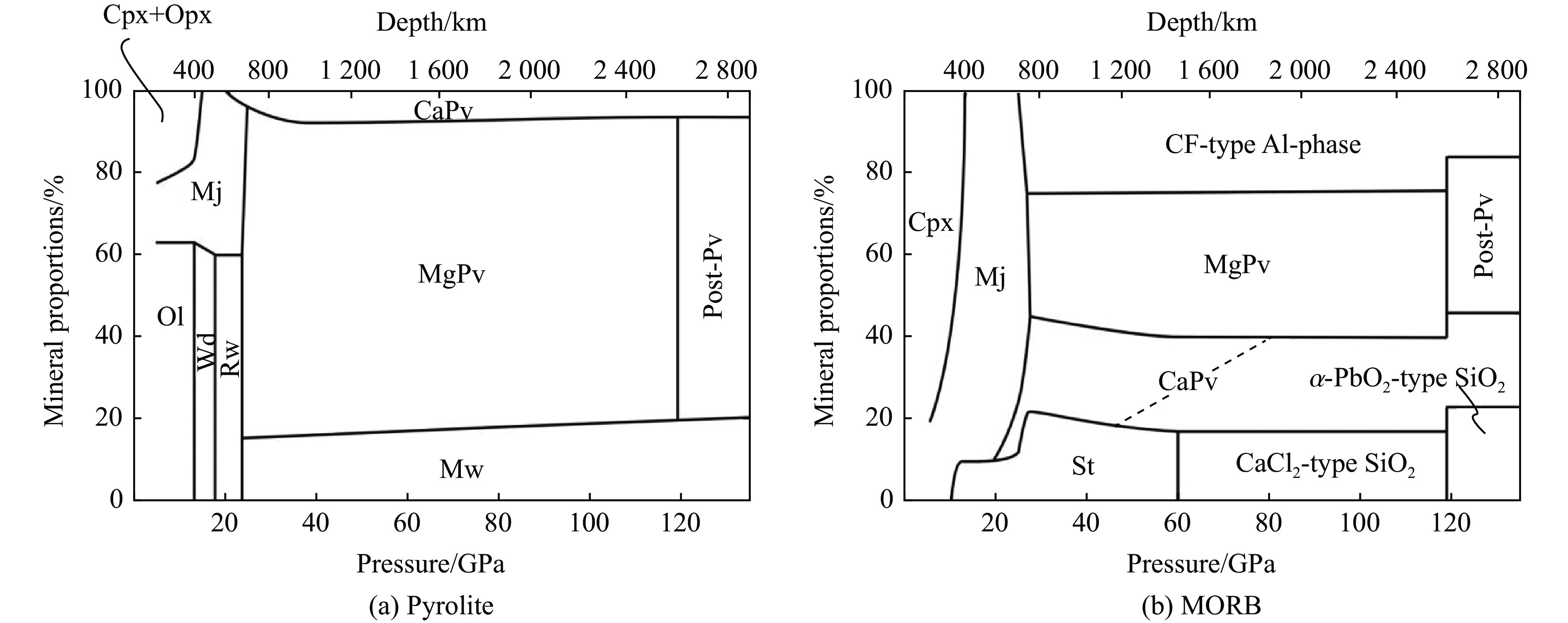
2026, 40(1): 010103.
doi: 10.11858/gywlxb.20251122
Abstract:
2026, 40(1): 010104.
doi: 10.11858/gywlxb.20251222
Abstract:
2026, 40(1): 010105.
doi: 10.11858/gywlxb.20251221
Abstract:
2026, 40(1): 010106.
doi: 10.11858/gywlxb.20251151
Abstract:
2026, 40(1): 010107.
doi: 10.11858/gywlxb.20251054
Abstract:
2026, 40(1): 010108.
doi: 10.11858/gywlxb.20251148
Abstract:
2026, 40(1): 010109.
doi: 10.11858/gywlxb.20251056
Abstract:

PDF
Cited by
HTML








