2023 Vol. 37, No. 4
Display Method:
2023, 37(4): 041101.
doi: 10.11858/gywlxb.20230663
Abstract:
2023, 37(4): 041102.
doi: 10.11858/gywlxb.20230644
Abstract:
2023, 37(4): 043201.
doi: 10.11858/gywlxb.20230643
Abstract:
2023, 37(4): 043401.
doi: 10.11858/gywlxb.20230645
Abstract:
2023, 37(4): 044101.
doi: 10.11858/gywlxb.20230648
Abstract:
2023, 37(4): 044102.
doi: 10.11858/gywlxb.20230639
Abstract:
2023, 37(4): 044103.
doi: 10.11858/gywlxb.20230657
Abstract:
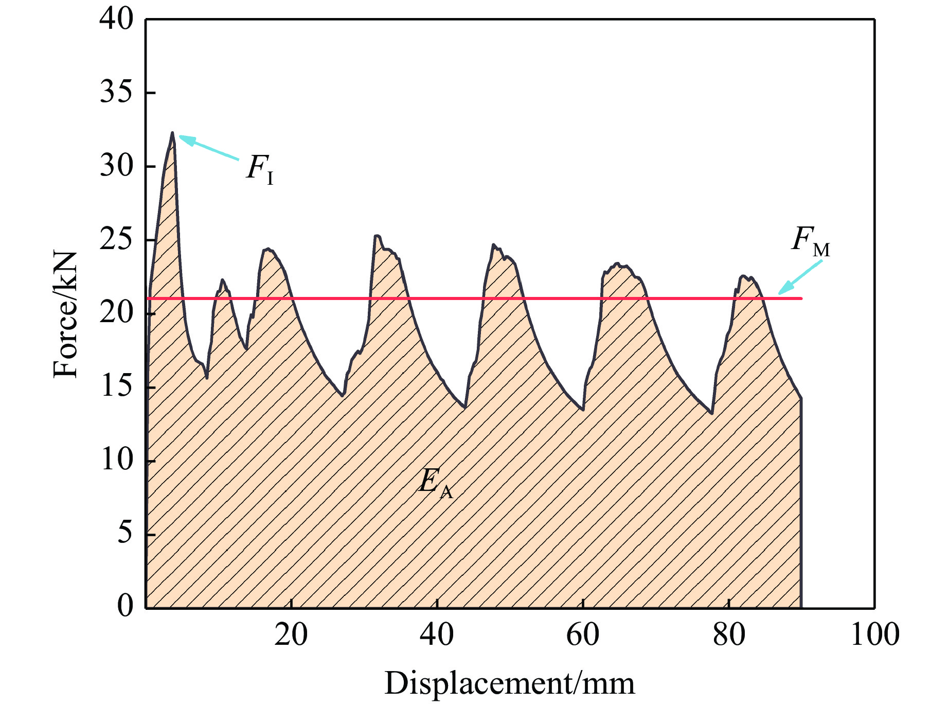
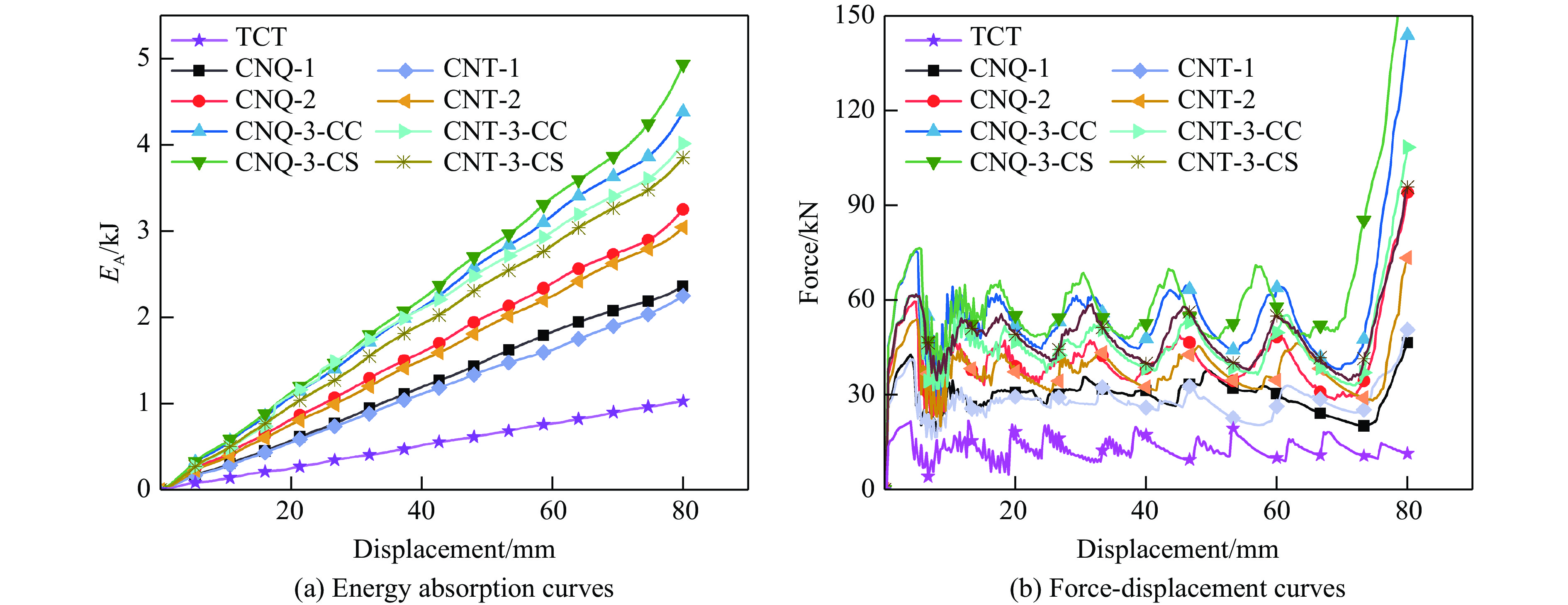
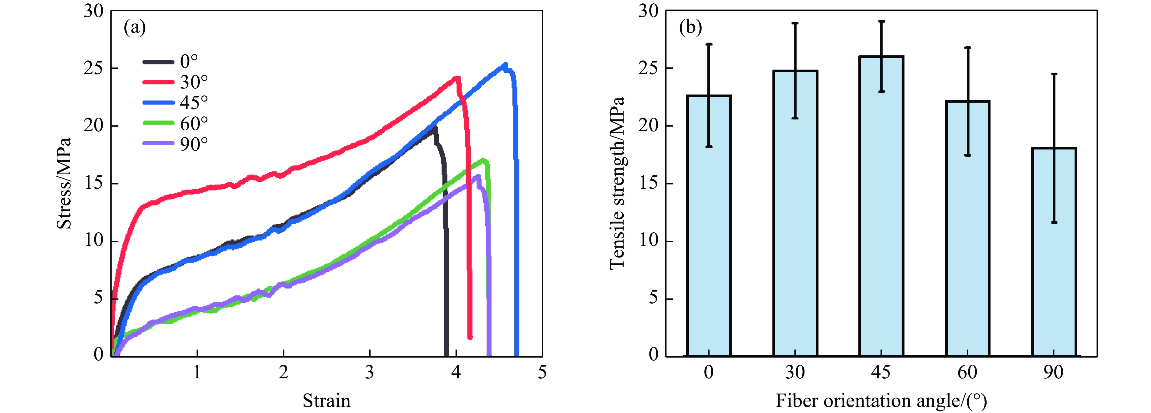
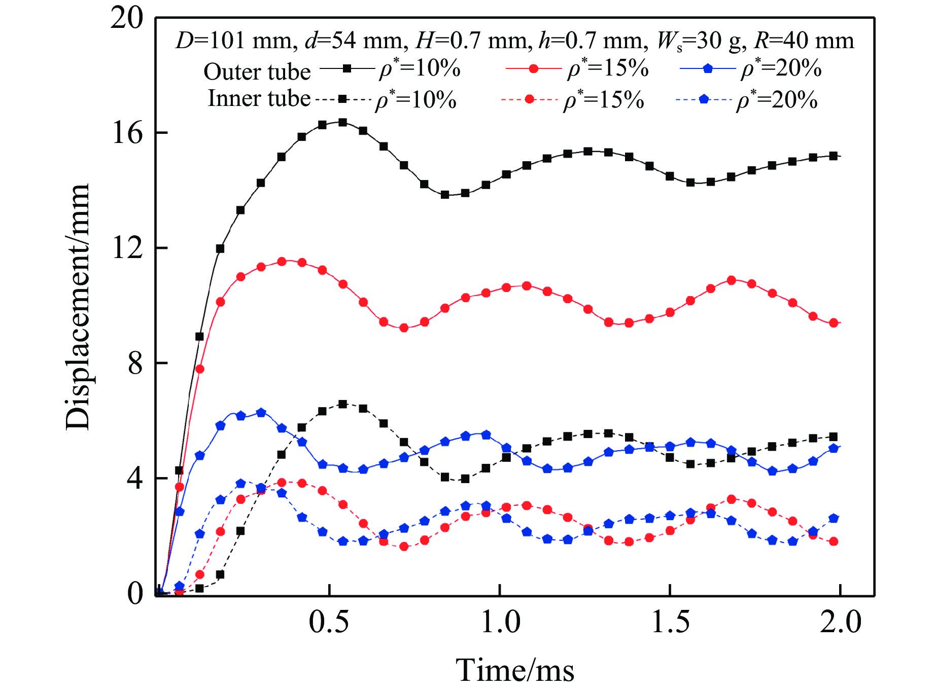
Energy Absorption Characteristics of Circular Nested HierarchicalMulti-Cell Tubes under Axial Impact
2023, 37(4): 044104.
doi: 10.11858/gywlxb.20230619
Abstract:
2023, 37(4): 044201.
doi: 10.11858/gywlxb.20230629
Abstract:
2023, 37(4): 044202.
doi: 10.11858/gywlxb.20230634
Abstract:
2023, 37(4): 044203.
doi: 10.11858/gywlxb.20230642
Abstract:
2023, 37(4): 044204.
doi: 10.11858/gywlxb.20230638
Abstract:
2023, 37(4): 044205.
doi: 10.11858/gywlxb.20230655
Abstract:
2023, 37(4): 044206.
doi: 10.11858/gywlxb.20230637
Abstract:
2023, 37(4): 044207.
doi: 10.11858/gywlxb.20230606
Abstract:
2023, 37(4): 045301.
doi: 10.11858/gywlxb.20230651
Abstract:

PDF
Cited by
HTML








