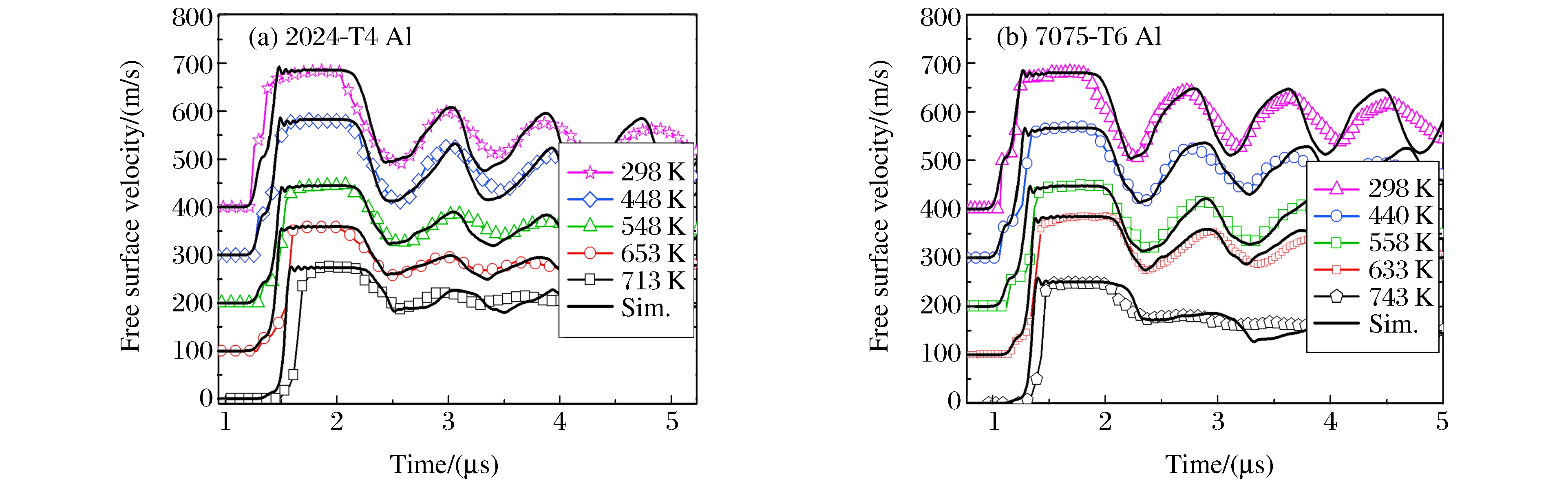
2015 Vol. 29, No. 5
2015, 29(5): 321-328.
doi: 10.11858/gywlxb.2015.05.001
Abstract:
2015, 29(5): 329-336.
doi: 10.11858/gywlxb.2015.05.002
Abstract:
2015, 29(5): 337-346.
doi: 10.11858/gywlxb.2015.05.003
Abstract:
2015, 29(5): 347-355.
doi: 10.11858/gywlxb.2015.05.004
Abstract:
2015, 29(5): 356-362.
doi: 10.11858/gywlxb.2015.05.005
Abstract:
2015, 29(5): 363-368.
doi: 10.11858/gywlxb.2015.05.006
Abstract:
2015, 29(5): 369-376.
doi: 10.11858/gywlxb.2015.05.007
Abstract:
2015, 29(5): 383-391.
doi: 10.11858/gywlxb.2015.05.009
Abstract:
2015, 29(5): 392-400.
doi: 10.11858/gywlxb.2015.05.010
Abstract:

HTML
PDF
Cited by








