静态高压下氢的金属化研究与非弹性X射线散射技术

李冰 丁阳 王霖 翁祖谦 杨文革 吉诚 杨科 毛河光

李冰, 丁阳, 王霖, 翁祖谦, 杨文革, 吉诚, 杨科, 毛河光. 静态高压下氢的金属化研究与非弹性X射线散射技术[J]. 高压物理学报, 2021, 35(5): 050101. doi: 10.11858/gywlxb.20210864
引用本文: 李冰, 丁阳, 王霖, 翁祖谦, 杨文革, 吉诚, 杨科, 毛河光. 静态高压下氢的金属化研究与非弹性X射线散射技术[J]. 高压物理学报, 2021, 35(5): 050101. doi: 10.11858/gywlxb.20210864
LI Bing, DING Yang, WANG Lin, WENG Zuqian, YANG Wenge, JI Cheng, YANG Ke, MAO Ho-kwang. Metallization of Hydrogen under Static High Pressure and the Inelastic X-ray Scattering Technique[J]. Chinese Journal of High Pressure Physics, 2021, 35(5): 050101. doi: 10.11858/gywlxb.20210864
Citation: LI Bing, DING Yang, WANG Lin, WENG Zuqian, YANG Wenge, JI Cheng, YANG Ke, MAO Ho-kwang. Metallization of Hydrogen under Static High Pressure and the Inelastic X-ray Scattering Technique[J]. Chinese Journal of High Pressure Physics, 2021, 35(5): 050101. doi: 10.11858/gywlxb.20210864

静态高压下氢的金属化研究与非弹性X射线散射技术

doi: 10.11858/gywlxb.20210864
基金项目: 国家自然科学基金(U1930401)
详细信息
    作者简介:

    李 冰(1982-),男,博士,研究员,主要从事超高压实验相关凝聚态物理研究. E-mail:libing@hpstar.ac.cn

    通讯作者:

    毛河光(1941-),男,博士,中心主任,主要从事物理、地学、化学、材料学等多领域的高压科学研究. E-mail:maohk@hpstar.ac.cn

  • 中图分类号: O521.3; O521.2

Metallization of Hydrogen under Static High Pressure and the Inelastic X-ray Scattering Technique

  • 摘要: 高压下氢的研究一直是高压物理实验和理论研究的热点,这源于人们对压致金属态—金属氢的追求。氢的压致金属化归根结底是氢的电子结构变化。在压力作用下,氢的电子结构会从低压下的宽禁带绝缘体转变为高压下的窄带隙半导体,最终成为超高压下带隙闭合的金属态。然而,多年来,由于实验条件所限,一直无法对氢的宽禁带带隙和电子结构进行直接实验观测。本文将介绍氢金属化实验技术方面存在的挑战和经历的发展,以及利用新近发展的基于同步辐射非弹性X射线散射技术首次对宽禁带固态氢带隙的研究和相关技术突破,并探讨其可能的发展趋势和方向。

     

  • 图  Mao-type对称式金刚石对顶砧压机及反射、透射光路示意图

    Figure  1.  Symmetric Mao-type DAC and schematic drawing of optical reflection and transmission geometries

    图  高压下氢的电阻测量结果[14](a)和可见吸收光谱测量结果[19](b)

    Figure  2.  High pressure electrical measurement[14](a) and optical absorption measurement[19](b) on hydrogen

    图  高压下通过探测介电性质研究氢的带隙变化趋势[35-37]

    Figure  3.  Trend of hydrogen gap closure under highpressure using dielectric measurements[35-37]

    图  全景式金刚石对顶砧压机(a)和高压非弹性X射线散射光路示意图(b)

    Figure  4.  Panoramic DAC (a) and schematic drawing of inelastic X-ray scattering geometry (b)

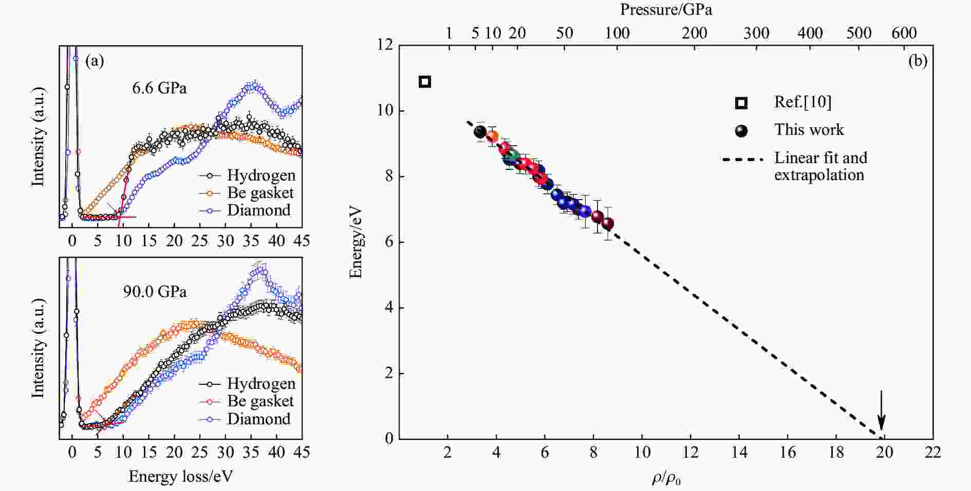
    图  高压氢的非弹性X射线散射谱(a)和氢的带隙变化趋势(b)

    Figure  5.  IXS of hydrogen under high pressure (a) and trend of hydrogen gap closure (b)

  • [1] WIGNER E, HUNTINGTON H B. On the possibility of a metallic modification of hydrogen [J]. The Journal of Chemical Physics, 1935, 3(12): 764–770. doi: 10.1063/1.1749590
    [2] MAO H K, CHEN X J, DING Y, et al. Solids, liquids, and gases under high pressure [J]. Reviews of Modern Physics, 2018, 90(1): 015007. doi: 10.1103/RevModPhys.90.015007
    [3] GENG H Y. Public debate on metallic hydrogen to boost high pressure research [J]. Matter and Radiation at Extremes, 2017, 2(6): 275–277. doi: 10.1016/j.mre.2017.10.001
    [4] GREGORYANZ E, JI C, DALLADAY-SIMPSON P, et al. Everything you always wanted to know about metallic hydrogen but were afraid to ask [J]. Matter and Radiation at Extremes, 2020, 5(3): 038101. doi: 10.1063/5.0002104
    [5] ASHCROFT N W. Metallic hydrogen: a high-temperature superconductor? [J]. Physical Review Letters, 1968, 21(26): 1748–1749. doi: 10.1103/PhysRevLett.21.1748
    [6] BABAEV E, SUDBØ A, ASHCROFT N W. A superconductor to superfluid phase transition in liquid metallic hydrogen [J]. Nature, 2004, 431(7009): 666–668. doi: 10.1038/nature02910
    [7] BONEV S A, SCHWEGLER E, OGITSU T, et al. A quantum fluid of metallic hydrogen suggested by first-principles calculations [J]. Nature, 2004, 431(7009): 669–672. doi: 10.1038/nature02968
    [8] SILVERA I F, COLE J W. Metallic hydrogen: the most powerful rocket fuel yet to exist [J]. Journal of Physics: Conference Series, 2010, 215: 012194. doi: 10.1088/1742-6596/215/1/012194
    [9] GINZBURG V L. Nobel lecture: on superconductivity and superfluidity (what I have and have not managed to do) as well as on the "physical minimum" at the beginning of the ⅩⅩⅠ century [J]. Reviews of Modern Physics, 2004, 76(3): 981–998. doi: 10.1103/RevModPhys.76.981
    [10] MAO H K, HEMLEY R J. Ultrahigh-pressure transitions in solid hydrogen [J]. Reviews of Modern Physics, 1994, 66(2): 671–692. doi: 10.1103/RevModPhys.66.671
    [11] GONCHAROV A. Phase diagram of hydrogen at extreme pressures and temperatures; updated through 2019 (review article) [J]. Low Temperature Physics, 2020, 46(2): 97–103. doi: 10.1063/10.0000526
    [12] DIAS R P, SILVERA I F. Observation of the Wigner-Huntington transition to metallic hydrogen [J]. Science, 2017, 355(6326): 715–718. doi: 10.1126/science.aal1579
    [13] LOUBEYRE P, OCCELLI F, DUMAS P. Synchrotron infrared spectroscopic evidence of the probable transition to metal hydrogen [J]. Nature, 2020, 577(7792): 631–635. doi: 10.1038/s41586-019-1927-3
    [14] EREMETS M I, DROZDOV A P, KONG P P, et al. Semimetallic molecular hydrogen at pressure above 350 GPa [J]. Nature Physics, 2019, 15(12): 1246–1249. doi: 10.1038/s41567-019-0646-x
    [15] HERZFELD K F. On atomic properties which make an element a metal [J]. Physical Review, 1927, 29(5): 701–705. doi: 10.1103/PhysRev.29.701
    [16] FCDWARDS P P, SIENKO M J. What is a metal? [J]. International Reviews in Physical Chemistry, 1983, 3(1): 83–137. doi: 10.1080/01442358309353340
    [17] EREMETS M I, TROYAN I A. Conductive dense hydrogen [J]. Nature Materials, 2011, 10(12): 927–931. doi: 10.1038/nmat3175
    [18] NELLIS W J, RUOFF A L, SILVERA I F. Has metallic hydrogen been made in a diamond anvil cell? [EB/OL]. (2012-01-02)[2021-05-21]. https://arxiv.org/abs/1201.0407.
    [19] HOWIE R T, GUILLAUME C L, SCHELER T, et al. Mixed molecular and atomic phase of dense hydrogen [J]. Physical Review Letters, 2012, 108(12): 125501. doi: 10.1103/PhysRevLett.108.125501
    [20] MAO H K, HEMLEY R J, HANFLAND M. Infrared reflectance measurements of the insulator-metal transition in solid hydrogen [J]. Physical Review Letters, 1990, 65(4): 484–487. doi: 10.1103/PhysRevLett.65.484
    [21] HEMLEY R J, MAO H K. Optical studies of hydrogen above 200 gigapascals: evidence for metallization by band overlap [J]. Science, 1989, 244(4911): 1462–1465. doi: 10.1126/science.244.4911.1462
    [22] EGGERT J H, MOSHARY F, EVANS W J, et al. Absorption and reflectance in hydrogen up to 230 GPa: implications for metallization [J]. Physical Review Letters, 1991, 66(2): 193–196. doi: 10.1103/PhysRevLett.66.193
    [23] HANFLAND M, HEMLEY R J, MAO H K. Optical absorption measurements of hydrogen at megabar pressures [J]. Physical Review B, 1991, 43(10): 8767–8770. doi: 10.1103/PhysRevB.43.8767
    [24] HEMLEY R J, MAO H K, GONCHAROV A F, et al. Synchrotron infrared spectroscopy to 0.15 eV of H2 and D2 at megabar pressures [J]. Physical Review Letters, 1996, 76(10): 1667–1670. doi: 10.1103/PhysRevLett.76.1667
    [25] CHEN N H, STERER E, SILVERA I F. Extended infrared studies of high pressure hydrogen [J]. Physical Review Letters, 1996, 76(10): 1663–1666. doi: 10.1103/PhysRevLett.76.1663
    [26] GONCHAROV A F, GREGORYANZ E, HEMLEY R J, et al. Spectroscopic studies of the vibrational and electronic properties of solid hydrogen to 285 GPa [J]. Proceedings of the National Academy of Sciences of the United States of America, 2001, 98(25): 14234–14237. doi: 10.1073/pnas.201528198
    [27] LOUBEYRE P, OCCELLI F, LETOULLEC R. Optical studies of solid hydrogen to 320 GPa and evidence for black hydrogen [J]. Nature, 2002, 416(6881): 613–617. doi: 10.1038/416613a
    [28] GONCHAROV A F, TSE J S, WANG H, et al. Bonding, structures, and band gap closure of hydrogen at high pressures [J]. Physical Review B, 2013, 87(2): 024101. doi: 10.1103/PhysRevB.87.024101
    [29] LIU X D, DALLADAY-SIMPSON P, HOWIE R T, et al. Comment on "observation of the Wigner-Huntington transition to metallic hydrogen" [J]. Science, 2017, 357(6353): 2286. doi: 10.1126/science.aan2286
    [30] GONCHAROV A F, STRUZHKIN V V. Comment on "observation of the Wigner-Huntington transition to metallic hydrogen" [J]. Science, 2017, 357(6353): 9736. doi: 10.1126/science.aam9736
    [31] EREMETS M I, DROZDOV A P. Comments on the claimed observation of the wigner-huntington transition to metallic hydrogen [EB/OL]. (2017-02-16)[2021-05-21]. https://arxiv.org/abs/1702.05125v1.
    [32] LOUBEYRE P, OCCELLI F, DUMAS P. Comment on: observation of the Wigner-Huntington transition to metallic hydrogen [EB/OL]. (2017-02-23)[2021-05-21]. https://arxiv.org/abs/1702.07192.
    [33] SILVERA I, DIAS R. Response to critiques on observation of the Wigner-Huntington transition to metallic hydrogen [EB/OL](2017-03-08)[2021-05-21]. https://arxiv.org/abs/1703.03064
    [34] WEMPLE S H, DIDOMENICO M JR. Behavior of the electronic dielectric constant in covalent and ionic materials [J]. Physical Review B, 1971, 3(4): 1338–1351. doi: 10.1103/PhysRevB.3.1338
    [35] VAN STRAATEN J, SILVERA I F. Pressure dependence of the optical-absorption edge of solid hydrogen in a diamond-anvil cell [J]. Physical Review B, 1988, 37(11): 6478–6481. doi: 10.1103/PhysRevB.37.6478
    [36] HEMLEY R J, HANFLAND M, MAO H K. High-pressure dielectric measurements of solid hydrogen to 170 GPa [J]. Nature, 1991, 350(6318): 488–491. doi: 10.1038/350488a0
    [37] GARCÍA A, COHEN M L, EGGERT J H, et al. Dielectric properties of solid molecular hydrogen at high pressure [J]. Physical Review B, 1992, 45(17): 9709–9715. doi: 10.1103/PhysRevB.45.9709
    [38] EGGERT J H, GOETTEL K A, SILVERA I F. High-pressure dielectric catastrophe and the possibility that the hydrogen-A phase is metallic [J]. Europhysics Letters, 1990, 11(8): 775–781. doi: 10.1209/0295-5075/11/8/014
    [39] MAO H K, JEPHCOAT A P, HEMLEY R J, et al. Synchrotron X-ray diffraction measurements of single-crystal hydrogen to 26.5 Gigapascals [J]. Science, 1988, 239(4844): 1131–1134. doi: 10.1126/science.239.4844.1131
    [40] LOUBEYRE P, LETOULLEC R, HAUSERMANN D, et al. X-ray diffraction and equation of state of hydrogen at megabar pressures [J]. Nature, 1996, 383(6602): 702–704. doi: 10.1038/383702a0
    [41] BESEDIN S P, JEPHCOAT A P, HANFLAND M, et al. Powder diffraction from compressed molecular hydrogen in a diamond-anvil cell [J]. Applied Physics Letters, 1997, 71(4): 470–472. doi: 10.1063/1.119582
    [42] AKAHAMA Y, NISHIMURA M, KAWAMURA H, et al. Evidence from X-ray diffraction of orientational ordering in phase Ⅲ of solid hydrogen at pressures up to 183 GPa [J]. Physical Review B, 2010, 82(6): 060101. doi: 10.1103/PhysRevB.82.060101
    [43] JI C, LI B, LIU W J, et al. Ultrahigh-pressure isostructural electronic transitions in hydrogen [J]. Nature, 2019, 573(7775): 558–562. doi: 10.1038/s41586-019-1565-9
    [44] 吉诚, 李冰, 杨文革, 等. 静态超高压下氢的晶体结构实验研究 [J]. 高压物理学报, 2020, 34(2): 020101. doi: 10.11858/gywlxb.20200520

    JI C, LI B, YANG W G, et al. Crystallographic studies of ultra-dense solid hydrogen [J]. Chinese Journal of High Pressure Physics, 2020, 34(2): 020101. doi: 10.11858/gywlxb.20200520
    [45] JI C, LI B, LIU W J, et al. Crystallography of low Z material at ultrahigh pressure: case study on solid hydrogen [J]. Matter and Radiation at Extremes, 2020, 5(3): 038401. doi: 10.1063/5.0003288
    [46] PRAVICA M G, SILVERA I F. NMR study of ortho-para conversion at high pressure in hydrogen [J]. Physical Review Letters, 1998, 81(19): 4180–4183. doi: 10.1103/PhysRevLett.81.4180
    [47] MEIER T, LANIEL D, PENA-ALVAREZ M, et al. Nuclear spin coupling crossover in dense molecular hydrogen [J]. Nature Communications, 2020, 11(1): 6334. doi: 10.1038/s41467-020-19927-y
    [48] MEIER T, KHANDARKHAEVA S, JACOBS J, et al. Improving resolution of solid state NMR in dense molecular hydrogen [J]. Applied Physics Letters, 2019, 115(13): 131903. doi: 10.1063/1.5123232
    [49] MONSERRAT B, ASHBROOK S E, PICKARD C J. Nuclear magnetic resonance spectroscopy as a dynamical structural probe of hydrogen under high pressure [J]. Physical Review Letters, 2019, 122(13): 135501. doi: 10.1103/PhysRevLett.122.135501
    [50] SCHÜLKE W. Inelastic x-ray scattering [J]. Nuclear Instruments and Methods in Physics Research Section A: Accelerators, Spectrometers, Detectors and Associated Equipment, 1989, 280(2/3): 338–348. doi: 10.1016/0168-9002(89)90930-3
    [51] RUEFF J P, SHUKLA A. Inelastic x-ray scattering by electronic excitations under high pressure [J]. Reviews of Modern Physics, 2010, 82(1): 847–896. doi: 10.1103/RevModPhys.82.847
    [52] MAO H K, KAO C C, HEMLEY R J. Inelastic x-ray scattering at ultrahigh pressures [J]. Journal of Physics: Condensed Matter, 2001, 13(34): 7847–7858. doi: 10.1088/0953-8984/13/34/323
    [53] SHEN G Y, MAO H K. High-pressure studies with x-rays using diamond anvil cells [J]. Reports on Progress in Physics, 2017, 80(1): 016101. doi: 10.1088/1361-6633/80/1/016101
    [54] MAO H K, SHIRLEY E L, DING Y, et al. Electronic structure of crystalline 4He at high pressures [J]. Physical Review Letters, 2010, 105(18): 186404. doi: 10.1103/PhysRevLett.105.186404
    [55] MACDONALD C A. Focusing polycapillary optics and their applications [J]. X-Ray Optics and Instrumentation, 2011, 2010: 867049. doi: 10.1155/2010/867049
    [56] CHOW P, XIAO Y M, ROD E, et al. Focusing polycapillary to reduce parasitic scattering for inelastic x-ray measurements at high pressure [J]. Review of Scientific Instruments, 2015, 86(7): 072203. doi: 10.1063/1.4926890
    [57] 杨科, 蒋升, 闫帅, 等. 上海同步辐射光源高压相关线站概述 [J]. 高压物理学报, 2020, 34(5): 050102. doi: 10.11858/gywlxb.20200584

    YANG K, JIANG S, YAN S, et al. Application of Shanghai synchrotron radiation source in high pressure research [J]. Chinese Journal of High Pressure Physics, 2020, 34(5): 050102. doi: 10.11858/gywlxb.20200584
    [58] SCHÜLKE W, NAGASAWA H, MOURIKIS S, et al. Dynamic structure of electrons in Be metal by inelastic x-ray scattering spectroscopy [J]. Physical Review B, 1989, 40(18): 12215–12228. doi: 10.1103/PhysRevB.40.12215
    [59] CALIEBE W A, SOININEN J A, SHIRLEY E L, et al. Dynamic structure factor of diamond and LiF measured using inelastic X-ray scattering [J]. Physical Review Letters, 2000, 84(17): 3907–3910. doi: 10.1103/PhysRevLett.84.3907
    [60] 李晓东, 袁清习, 徐伟, 等. 第四代高能同步辐射光源HEPS及高压相关线站建设 [J]. 高压物理学报, 2020, 34(5): 050101. doi: 10.11858/gywlxb.20200554

    LI X D, YUAN Q X, XU W, et al. Introduction of fourth-generation high energy photon source HEPS and the beamlines for high-pressure research [J]. Chinese Journal of High Pressure Physics, 2020, 34(5): 050101. doi: 10.11858/gywlxb.20200554
  • 加载中
图(5)
计量
  • 文章访问数:  2274
  • HTML全文浏览量:  935
  • PDF下载量:  149
出版历程
  • 收稿日期:  2021-08-11
  • 修回日期:  2021-09-06

目录

    /

    返回文章
    返回