Dynamic Instability of Composite Plate under Stress Wave Based on Galerkin Method
-
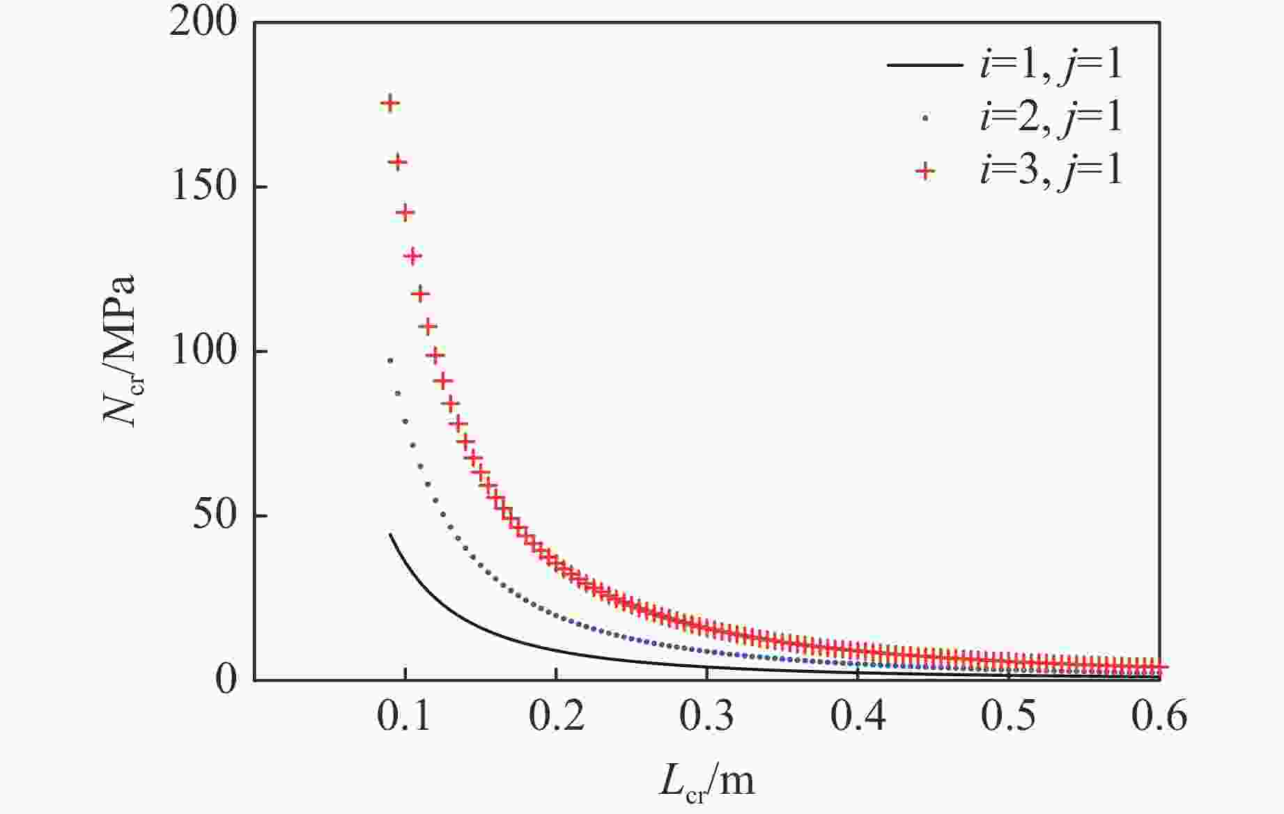
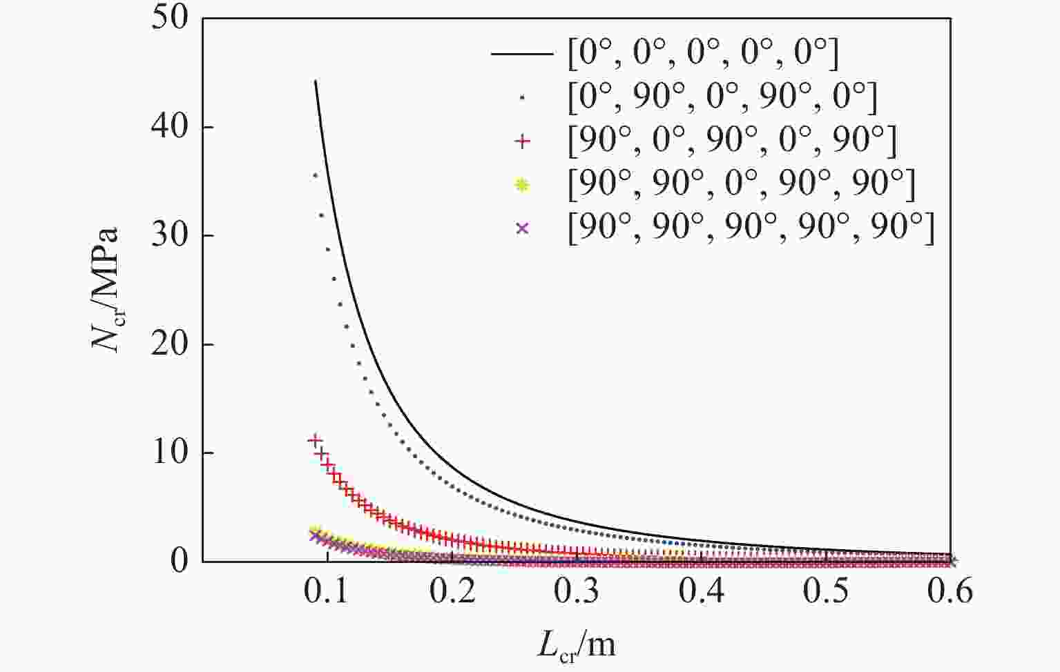
摘要: 基于Kirchhoff薄板理论和Hamilton原理,考虑应力波效应,对含初始几何缺陷的三边简支、一边固支的复合材料板,建立了振动控制方程,得到了其屈曲临界荷载表达式。采用MATLAB编程进行数值计算,讨论了初始几何缺陷、初相位、铺层角度、屈曲模态阶数及铺层层数对板屈曲临界荷载的影响。结果表明:复合材料板的屈曲临界载荷随临界长度增大、铺设厚度减小、初始几何缺陷系数增大、振型函数初相位减小而减小。此外,复合材料板的各层铺层角度与荷载作用方向的夹角越小,屈曲临界载荷越大,当板的对称铺设层数达到7层时,临界荷载趋于稳定。Abstract: Based on the Kirchhoff thin plate theory and Hamilton principle, the vibration control equation of composite plate is established. The equation is simply supported on three sides and fixed on one side with initial geometric imperfections. The expression of buckling critical load is obtained. The numerical calculation is carried out by MATLAB programming. The effects of initial geometric imperfections, initial phase, ply angle, buckling mode order and layer number on the critical buckling load of the plate are discussed. Results show that the critical buckling load is decrease with the increasing of the critical length, the decreasing of the laying thickness, the increasing of the initial geometric defect coefficient, and the decreasing of the initial phase of the mode function. In addition, the smaller the angle between the laying angle of each layer and the load direction is, the greater the buckling critical load is. And the buckling critical load tends to be stable when the layer number of symmetrical laminate reaches seven.
-
Key words:
- composite plate /
- effect of stress wave /
- initial geometric defect /
- buckling /
- critical load
-
E1/GPa E2/GPa G12/GPa μ12 La/m Lb/m 140.0 8.6 5.0 0.35 0.60 0.50 表 2 算例分析参数表
Table 2. Example analysis parameter table
Group Initial defect
coefficientOrder of mode Laying angle/(°) Initial phase Number of
layers laidThickness
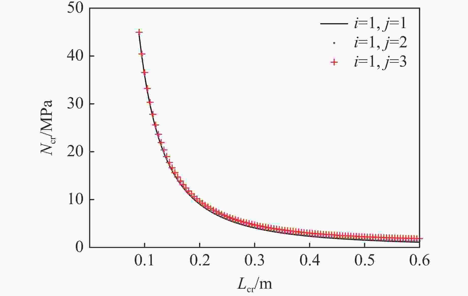
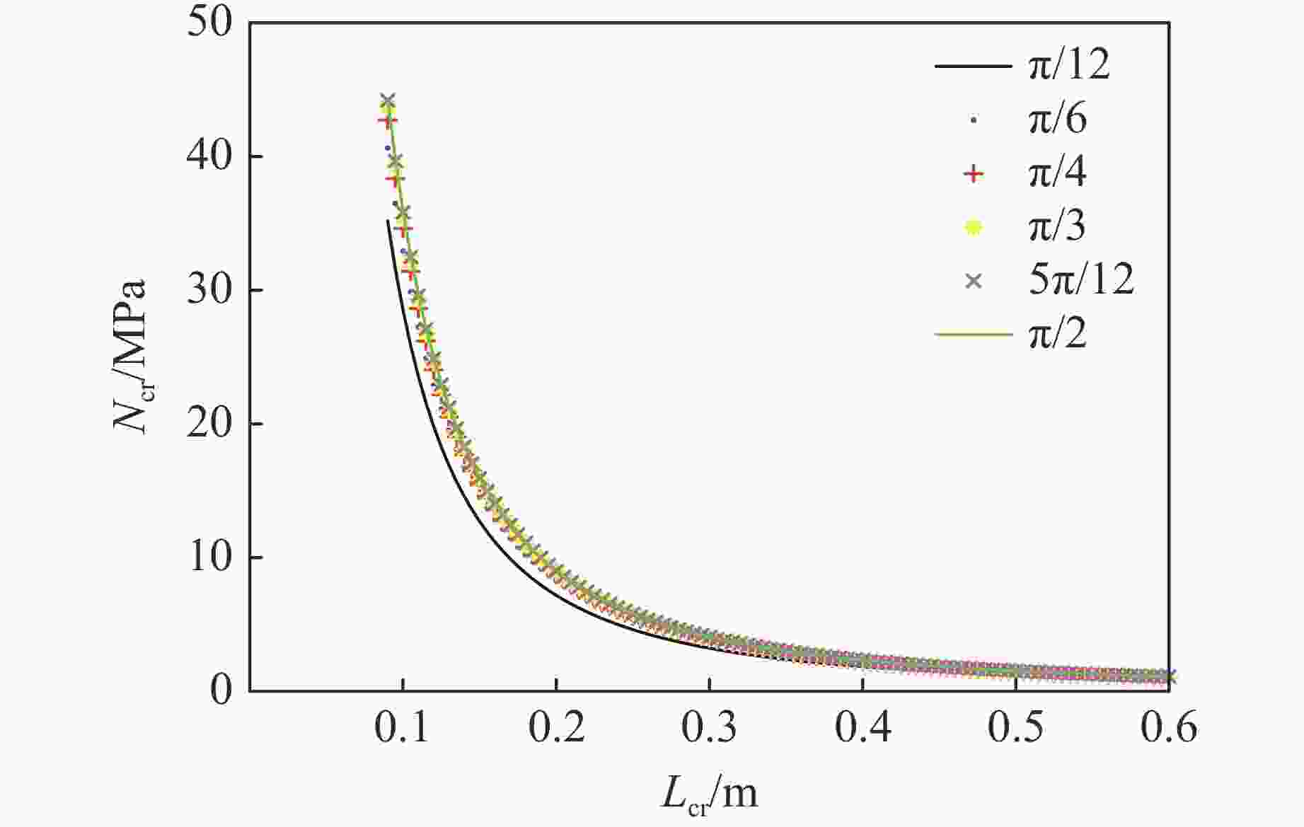
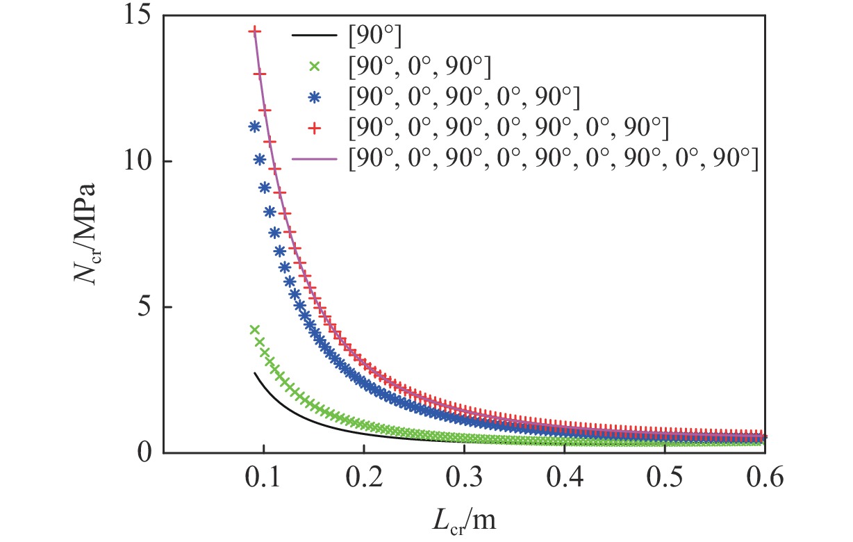
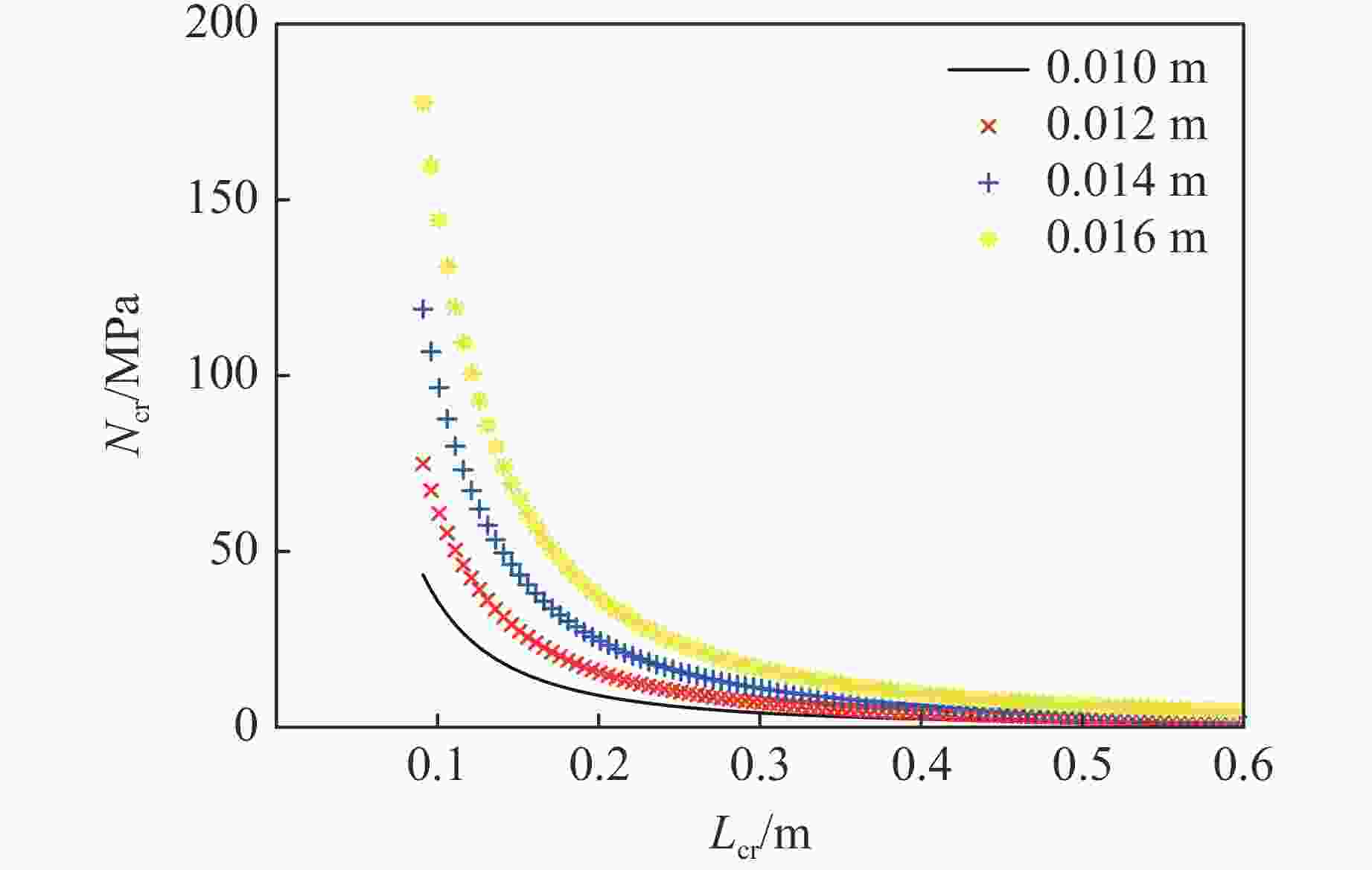
of the plate/mx direction y direction A Variable i = 1 j = 1 [0, 0, 0, 0, 0] $ {\text{π}}$/2 5 0.01 B 0.1 Variable j = 1 [0, 0, 0, 0, 0] $ {\text{π}}$/2 5 0.01 C 0.1 i =1 Variable [0, 0, 0, 0, 0] $ {\text{π}}$/2 5 0.01 D 0.1 i =1 j = 1 Variable $ {\text{π}}$/2 5 0.01 E 0.1 i =1 j = 1 [0, 0, 0, 0, 0] Variable 5 0.01 F 0.1 i =1 j = 1 [0, 0, 0, 0, 0] $ {\text{π}}$/2 Variable 0.01 G 0.1 i =1 j = 1 [0, 0, 0, 0, 0] $ {\text{π}}$/2 5 Variable -
[1] GALOS J. Thin-ply composite laminates: a review [J]. Composite Structures, 2020, 236: 11192. doi: 10.1016/j.compstruct.2020.111920 [2] KAYRAN A, VINSON J R. Free vibration analysis of laminated composite truncated circular conical shells [J]. AIAA Journal, 1990, 28(7): 1259–1269. doi: 10.2514/3.25203 [3] SUN J B, XU X S, LIM C W. Stress waves and dynamic buckling of functionally graded cylindrical shells under combined axial impact and thermal load [J]. Acta Mechanica, 2015, 226(5): 1323–1339. doi: 10.1007/s00707-014-1244-8 [4] 毛柳伟, 王安稳, 邓磊, 等. 应力波作用下弹性直杆动力分叉屈曲研究 [J]. 振动与冲击, 2014, 33(6): 174–178. doi: 10.13465/j.cnki.jvs.2014.06.032MAO L W, WANG A W, DENG L, et al. Dynamic bifurcation buckling of elastic rods under stress wave [J]. Journal of Vibration and Shock, 2014, 33(6): 174–178. doi: 10.13465/j.cnki.jvs.2014.06.032 [5] LEPIK Ü. Dynamic buckling of elastic-plastic beams including effects of axial stress waves [J]. International Journal of Impact Engineering, 2001, 25(6): 537–552. doi: 10.1016/S0734-743X(00)00070-1 [6] ZHANG S, XIAO H, QIANG F W, et al. Analytical model and numerical simulation for the effect of uncertain initial geometrical imperfection on the buckling of thin plate [C]//Proceedings of the 5th International Conference on Frontiers of Manufacturing Science and Measuring Technology. Taiyuan: Computer Science and Electronic Technology International Society, 2017: 8. [7] ABDELAZIZ H H, MEZIANE M A A, BOUSAHLA A A, et al. An efficient hyperbolic shear deformation theory for bending, buckling and free vibration of FGM sandwich plates with various boundary conditions [J]. Steel and Composite Structures, 2017, 25(6): 693–704. doi: 10.12989/SCS.2017.25.6.693 [8] KOUCHAKZADEH M A, RAHGOZAR M, BOHLOOLY M. Buckling of laminated composite plates with elastically restrained boundary conditions [J]. Structural Engineering and Mechanics, 2020, 74(5): 577–588. doi: 10.12989/SEM.2020.74.5.577 [9] CZAPSKI P, KUBIAK T. Influence of residual stresses on the buckling behaviour of thin-walled, composite tubes with closed cross-section: numerical and experimental investigations [J]. Composite Structures, 2019, 229: 111407. doi: 10.1016/j.compstruct.2019.111407 [10] KUO S Y. Thermal buckling, vibration and flutter of composite laminates containing two non-uniformly distributed fibers [J]. Journal of Aeronautics, Astronautics and Aviation, 2016, 48(3): 173–182. doi: 10.6125/16-0505-888 [11] VILLARREAL E, ABAJO D. Buckling and modal analysis of rotationally restrained orthotropic plates [J]. Progress in Aerospace Sciences, 2015, 78: 116–130. doi: 10.1016/j.paerosci.2015.06.005 [12] EFTEKHARI S A, JAFARI A A. Mixed finite element and differential quadrature method for free and forced vibration and buckling analysis of rectangular plates [J]. Applied Mathematics and Mechanics, 2012, 33(1): 81–98. doi: 10.1007/s10483-012-1535-6 [13] REHMAN S M, RAO C S. Vibration buckling and fracture analysis of a cracked cylindrical shell [J]. International Journal of Design Engineering, 2017, 7(1): 33–53. doi: 10.1504/IJDE.2017.10006427 [14] SAYYAD A S, SHINDE B M, GHUGAL Y M. Bending, vibration and buckling of laminated composite plates using a simple four variable plate theory [J]. Latin American Journal of Solids and Structures, 2019, 13(3): 516–535. doi: 10.1590/1679-78252241 [15] 王震鸣. 复合材料力学和复合材料结构力学 [M]. 北京: 机械工业出版社, 1991.WANG Z M. Composite materials and structural mechanics [M]. Beijing: China Machine Press, 1991. [16] 沈观林, 胡更开. 复合材料力学 [M]. 北京: 清华大学出版社, 2006.SHEN G L, HU G K. Mechanics of composite materials [M]. Beijing: Tsinghua University Press, 2006. [17] 王鑫. 功能梯度材料板动力屈曲及混沌行为的研究 [D]. 太原: 太原理工大学, 2018.WANG X. Research on dynamic buckling and chaos behavior of functionally graded materials plate [D]. Taiyuan: Taiyuan University of Technology, 2018. [18] AMABILI M. Nonlinear vibrations and stability of shells and plates [M]. Cambridge: Cambridge University Press, 2008. [19] 顾明剑, 张其林. 引入一阶屈曲模态作为初始缺陷的研究[C]//第五届全国现代结构工程学术研讨会论文集. 广州: 全国现代结构工程学术研讨会学术委员会, 2005. [20] KHDEIR A A, REDDY J N, FREDERICK D. A study of bending, vibration and buckling of cross-ply circular cylindrical shells with various shell theories [J]. International Journal of Engineering Science, 1989, 27(11): 1337–1351. doi: 10.1016/0020-7225(89)90058-X [21] 矫桂琼, 贾普荣. 复合材料力学 [M]. 西安: 西北工业大学出版社, 2008.JIAO G Q, JIA P R. Mechanics of composite materials [M]. Xi’an: Northwestern Polytechnical University Press, 2008. -

下载: