2022年  第36卷  第2期

封面
2022 年 2 期封面
2022, 36(2)
摘要:
目录
2022 年 2 期目录
2022, 36(2): 1-2.
摘要:
高压物性与结构
CaF2纳米晶粒结构相变行为的尺寸依赖性
巩蕾, 王婧姝, 张俊凯, 陈广博, 张晗, 武晓鑫, 胡廷静, 崔航
2022, 36(2): 021102. doi: 10.11858/gywlxb.20210842
摘要:

利用原位高压同步辐射X射线衍射方法,对尺寸为11 nm的CaF2纳米晶粒进行高压结构相变和压缩特性研究。当压力为12 GPa时,观察到由萤石结构向 α-PbCl2结构转变的一次相变,该相变压力点远高于体材料,但略低于粒径更小的 CaF2 纳米晶体。相比体材料,纳米尺寸的CaF2样品的体弹模量更大,说明其更难被压缩。当压力释放至常压时,11 nm的CaF2纳米晶粒的α-PbCl2型亚稳相结构被保留下来,相变不可逆。分析了影响11 nm CaF2纳米晶粒独特高压行为的原因,判定尺寸效应为主要因素,该尺寸下较高的表面能导致结构稳定性增强和体积模量增加。

锗dc到β-Sn结构的压致相变动力学研究
王碧涵, 林传龙, 刘旭强, 杨文革
2022, 36(2): 021101. doi: 10.11858/gywlxb.20210893
摘要:

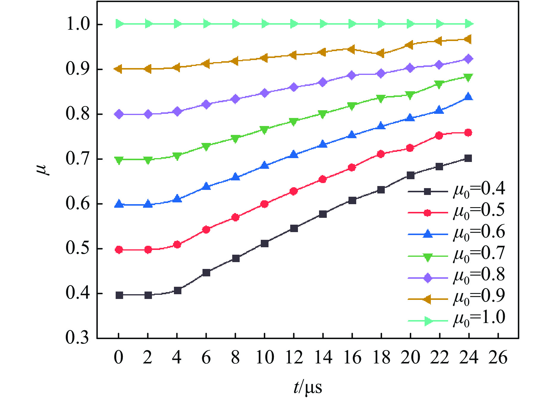
室温常压下锗是一种具有高载流子迁移率和窄带隙的半导体材料。在高压下,锗具有多种与硅相似的晶相,其有趣的高压行为如压致金属化和超导电性转变引起了高压研究领域的广泛关注。然而,其核心的高压相变动力学机制却鲜有深入研究。利用先进同步辐射光源的高通量X射线衍射结构诊断手段,结合基于金刚石压砧的快速动态压缩技术,研究了锗在高压相变过程中的结构演化机理。采用气膜与压电陶瓷相结合的快速加载方法,实现了数十太帕每秒的压缩速率。采用第三代同步辐射高通量粉光X射线衍射技术,实现了数十微秒时间分辨的结构解析。在相变过程中,新旧相中不同晶面的衍射强度变化存在一定的先后顺序,证实了锗的半导体相(金刚石立方结构)到金属相(β-Sn结构)的转变是位移型相变。此外,通过与静态压缩X射线衍射数据的对比,证实了在此相变过程中不同晶面消失/出现存在先后顺序的行为只能通过动态压缩和动态探测手段观察。

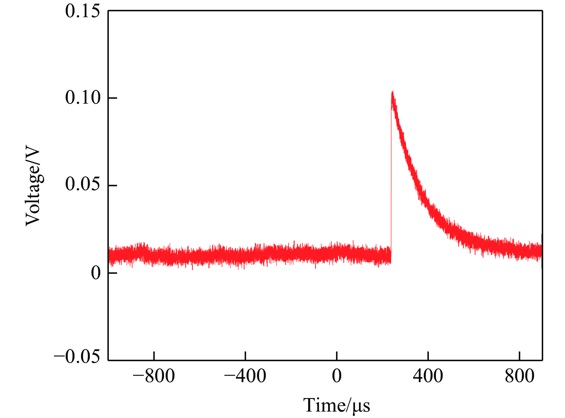
ZnS:Cu力致荧光薄膜在冲击压力作用下的光学响应规律及应用
张国栋, 赵玉龙, 孙警, 韦学勇
2022, 36(2): 021301. doi: 10.11858/gywlxb.20210899
摘要:

力致荧光材料因具有发光亮度强、力致响应灵敏度高、稳定性良好以及无需外加电压或紫外光照射激活等特性而被广泛应用于应力传感、应力记录等领域。然而,国内外对力致荧光材料的动态冲击特性鲜有研究。通过高温固相烧结法制备了ZnS:Cu粉末,并利用X射线衍射仪、拉曼光谱仪、扫描电子显微镜和X射线光电子能谱仪对其进行了表征。结果表明,ZnS:Cu粉末晶体具有纤锌矿结构,平均颗粒大小约为20 μm。然后,通过ZnS:Cu粉末与水玻璃的混合物在靶板上涂覆形成约50 μm的力致荧光薄膜。此外,通过轻气炮平板撞击实验,得到ZnS:Cu力致荧光薄膜的输出电压信号与冲击压力呈线性关系,与理论分析结果一致。最后,提出了两种基于力致荧光薄膜的测试方法:多点冲击压力测试方法和冲击波到达时间测试方法。其中,多点冲击压力测试方法可用于微小尺度以及大尺度炸药装药爆轰压力分布式测量,冲击波到达时间测试方法可用于冲击波速度和冲击波波阵面形状等参数的测量。

高压技术
棱柱形径向剖分式超高压模具应力分析与实验研究
吴楠楠, 赵亮, 李明哲, 陈晓磊
2022, 36(2): 023301. doi: 10.11858/gywlxb.20210848
摘要:

为了获得更高的承压能力和更大的样品腔容积,在传统年轮式超高压模具的基础上,提出了一种新型棱柱形腔体剖分式超高压模具。其特点在于内部的硬质合金压缸是离散组合式的,且腔体内部的面为平面,可有效减小周向拉应力。压缸剖分块在预紧力的作用下相互挤压,提供了大质量支撑和侧向支撑效果。对剖分成6块的棱柱形腔体剖分式压缸的剖分角度进行了研究,仿真结果表明,剖分角度越大,压缸受力越小。棱柱形腔体剖分式压缸在径向、周向和轴向均承受压应力,其应力条件接近于静水压力状态,可有效提高装置的使用寿命。对压缸的应力分布情况进行进一步分析,发现棱柱形径向剖分式压缸在各方面的表现均最优。经实验验证,相较于年轮式压缸,剖分式压缸具有更高的极限承压能力,并且棱柱形径向剖分式压缸的承压能力大于切向剖分式压缸。

高压下物质的动态响应
基于增材制造空心点阵结构的压缩变形研究
常超, 马桢, 褚井泉, 侯建峰, 张伟伟
2022, 36(2): 024101. doi: 10.11858/gywlxb.20210885
摘要:

点阵结构具有质量轻、承压性能好、比刚度大等特点,广泛应用于轻量化部件与承压结构。采用选区激光熔覆技术制备了316L不锈钢空心点阵结构,通过准静态压缩实验和有限元数值模拟,研究了含不同尺寸空心微柱的点阵结构在压缩变形时的失效和变形模式及其成因。结果表明:316L不锈钢材料的空心管状结构在点阵压缩过程中无明显压溃失稳,其结构失效模式是由节点失效诱发微柱变形,进而造成整体失效;结构的变形模式为整体均匀变形,但是当壁厚和外径较小时,边界层将因刚度不足而率先变形;增大空心微柱尺寸可使结构刚度增大。

抗爆型聚脲涂层的性能及其抗爆机理
方志强, 吕平, 张锐, 黄微波, 孙鹏飞, 桑英杰
2022, 36(2): 024102. doi: 10.11858/gywlxb.20210840
摘要:

通过广角X射线衍射仪、差示扫描量热法实验、扫描电子显微镜以及聚脲喷涂钢筋混凝土板的接触爆炸实验,研究了Qtech T26抗爆型聚脲(T26聚脲)的力学强度、分子结构及热性能,分析了有无涂层钢筋混凝土板的宏观形貌及涂层的微观形貌,考察了T26聚脲喷涂钢筋混凝土板的抗爆能力和防护机理。结果表明:T26聚脲的拉伸强度达到25.4 MPa,断裂伸长率为451.9%;其分子链中软段与硬段之间排列有序,微晶区结晶度为24.11%;软段玻璃化转变温度为−44.9 ℃,硬段玻璃化转变温度为36.5 ℃,呈现出一定的微相分离形态。爆炸实验后,无涂层钢筋混凝土板的迎爆面出现较大凹坑,背爆面被震塌,混凝土破碎;而对于有涂层的钢筋混凝土板,其迎爆面出现较小凹坑,迎爆面涂层除了因瞬间高温而导致的聚脲软化外,爆炸反射波的稀疏拉伸作用使聚脲材料发生破坏,聚脲涂层被撕裂,而背爆面则由于聚脲涂层削弱了稀疏拉伸波的作用,从而保护混凝土材料不被破碎,避免爆炸碎片飞溅。

爆炸载荷下舱内泡沫铝夹芯结构的动响应特性
谢悦, 侯海量, 李典
2022, 36(2): 024103. doi: 10.11858/gywlxb.20210849
摘要:

为探索爆炸载荷下舱内夹芯复合结构的动态响应特性与防护效能,采用小尺度舱室结构模型实验,结合有限元数值分析,开展了不同爆炸距离下舱内双层泡沫铝夹芯结构的动响应特性和变形模式研究。分析了不同爆距下舱内爆炸载荷的作用过程和时空分布特性,讨论了在初始冲击波、初始冲击波叠加各壁面二次反射波和舱内爆炸准静态压力3种载荷下泡沫铝夹芯结构的变形模式。爆炸载荷下舱室壁板承受的载荷依次为初始冲击波、各壁面二次反射波和准静态气压。炸药在靠近舱室一端处起爆时,初始冲击波在近端壁的局部效应明显,在远端壁的作用范围更大,与舱室中心爆炸相比,其爆轰产物波动次数更少。泡沫铝夹芯结构的变形过程可分为泡沫芯层压缩、局部凸起变形和整体挠曲变形3个阶段,对应迎爆面板局部凸起叠加整体挠曲大变形、局部凸起叠加整体挠曲大变形和整体挠曲大变形3种变形模式。

界面增强多晶点阵结构的耐撞吸能性能
杨帆, 卞奕杰, 王鹏, 李浦昊, 张思远, 范华林
2022, 36(2): 024201. doi: 10.11858/gywlxb.20210827
摘要:

3D打印技术有力促进了金属点阵材料的发展,而碰撞吸能是点阵材料的重要应用领域之一,为此综述了课题组近期在界面增强点阵吸能方面的研究。受金属材料微观变形机理中晶界强化机制的启发,通过在点阵结构中引入晶界和孪晶界等宏观界面构型,构造了含多个界面的多晶点阵结构,研究其耐撞吸能性能。具体而言,构造了胞元构型为简单立方、面心立方和三斜晶系的不同多晶点阵结构试件,通过一系列参数化有限元模拟,并结合增材制造技术开展验证性实验,研究了晶粒尺寸(晶界密度)、界面两侧晶向差、界面取向角度等参数对结构压溃变形模式和吸能性能的影响,发现对称性强的界面(如孪晶界)可以增强点阵结构的吸能性能。进一步研究发现,描述材料微观强化机理的Hall-Petch关系仍然适用于所提宏观多晶点阵结构。该研究可为发展新型轻质点阵吸能结构提供一定的参考。

超高速碎片云撞击下薄板变形与撕裂建模研究
刘泽荣, 龙仁荣, 张庆明, 陈利
2022, 36(2): 024202. doi: 10.11858/gywlxb.20210811
摘要:

为研究多层板结构中薄板在碎片云作用下的变形与破坏问题,开展了超高速撞击多层板实验。实验结果表明,薄板在高速碎片云冲击下的典型破坏特征为中央穿孔及环孔凹陷变形与花瓣型撕裂。在此基础上,考虑弯矩和膜力作用,建立了描述薄板在轴对称分布强冲击载荷作用下大变形的理想刚塑性环板模型,据此可以计算环板变形过程的横向与径向速度场,结合Grady破碎理论,可以计算花瓣型撕裂的花瓣数,理论计算值与实验比较吻合。研究结果可以为多层板结构在超高速弹丸撞击下的毁伤评估提供理论基础。

内部爆炸载荷作用下砌体墙结构的失效规律
曹宇航, 张晓伟, 张庆明
2022, 36(2): 024203. doi: 10.11858/gywlxb.20210810
摘要:

为了探究钢筋混凝土框架-砌体墙建筑物的内爆毁伤效应,开展了内爆载荷下砌体墙结构动力响应和失效规律研究。采用数值模拟方法,并结合理论分析,研究了不同当量内爆载荷下砌体墙的失效机理以及失效形式转化过程。结果表明,小药量内部爆炸时,砌体墙的主要失效形式为弯曲导致的墙面开裂。随着药量增加,墙体边界在首道冲击波反射超压作用下发生以剪切变形为主导的失效。而在大药量条件下,首道冲击波超压使砌体墙材料达到极限抗压强度而发生压溃失效。研究结果可为砌体墙结构毁伤评估与防护设计提供技术参考。

率温联合条件下混凝土材料压缩强度的变化规律
李平, 孙崇慧, 黄瑞源, 段士伟
2022, 36(2): 024204. doi: 10.11858/gywlxb.20210825
摘要:

混凝土材料的动态压缩强度不仅具有明显的应变率强化(硬化)效应,同时还具有明显的温度弱化(软化)效应。在应变率和温度联合条件下,压缩强度随应变率和温度变化过程中不仅存在清晰的应变率拐折点,拐折点前后压缩强度随应变率变化速率明显不同,而且在不同温度下发生拐折时,其拐折点对应的应变率也存在明显差异。参考近年来相关文献中混凝土材料在率温联合条件下的压缩实验数据,结合理论分析,探讨了在不同温度、不同应变率条件下混凝土材料压缩强度联合效应因子K的变化规律;并对实验数据进行拟合,得到了不同应变率、不同温度下K(T)-$\dot{\varepsilon} $的预测表达式,确定了应变率强化和温度弱化对压缩强度的耦合影响;通过分析应变率拐折点与温度的关系,确定了应变率和温度联合条件下应变率敏感区和不敏感区的率温联合条件界限;建立了率温效应相当(K = 1)时的率温等效方程,并确定了混凝土材料的率温等效参数。

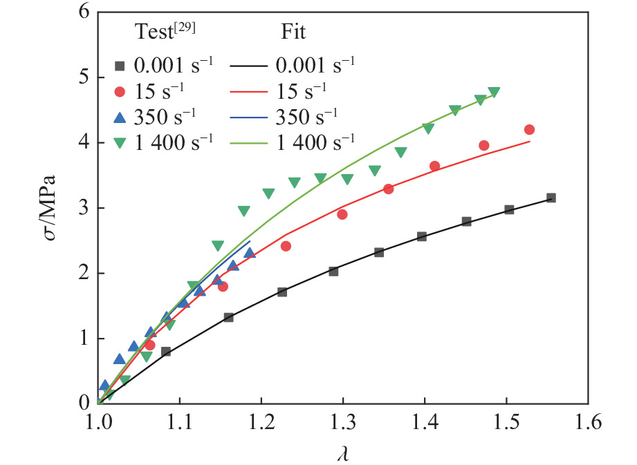
应变率相关的橡胶本构模型研究
魏家威, 石霄鹏, 冯振宇
2022, 36(2): 024205. doi: 10.11858/gywlxb.20210815
摘要:

为研究橡胶在不同应变率下的响应特性,建立应变率相关的橡胶黏超弹性本构模型,分别采用超弹性本构模型和黏弹性本构模型表征其非线性弹性行为和应变率相关的弹性行为。首先,对于超弹性模型,基于最小二乘法,对比了Mooney-Rivlin模型、修正的Mooney-Rivlin模型、Yeoh模型、修正的Yeoh模型、Ogden模型和Arruda-Boyce模型等超弹性本构模型的拟合能力。结果表明,经修正的Mooney-Rivlin模型和Yeoh模型的拟合优度与Ogden模型和Arruda-Boyce模型接近。在此基础上,基于一种参数较少且拟合效果良好的修正Mooney-Rivlin模型和应变率相关的Maxwell模型,建立了橡胶黏超弹性本构模型,考察了该黏超弹性本构模型在单轴拉伸和单轴压缩情况下中高应变率时的拟合能力。结果表明,对于这两种受力情况下的应变率相关的实验数据,该黏超弹性本构模型的拟合优度均在0.95以上。研究结果为大应变率范围内单轴拉伸和单轴压缩下橡胶的本构模型选择提供了参考。

弹体贯穿钢筋混凝土板有限元模型比较分析
李猛深, 葛涛, 程文聘, 裴国庆
2022, 36(2): 024206. doi: 10.11858/gywlxb.20210816
摘要:

为研究钢筋对混凝土靶侵彻作用的影响,基于混合物理论,建立了钢筋混凝土的等效混合物模型,同时还建立了将钢筋等效为钢板和素混凝土板的有限元模型,并通过弹体贯穿剩余速度、靶体压力场对两种方法进行比较,分析侵彻作用过程。计算结果表明:基于混合物理论的等效钢筋混凝土混合物模型能够较好地反映侵彻时钢筋的作用,既可以满足计算精度,又能够简化建模过程,提高计算效率,是进行侵彻数值分析的有效简化方法;钢筋混凝土板自由表面附近的钢筋分布能够提高靶对弹体的阻力,但其作用效果有限。

高压科学应用
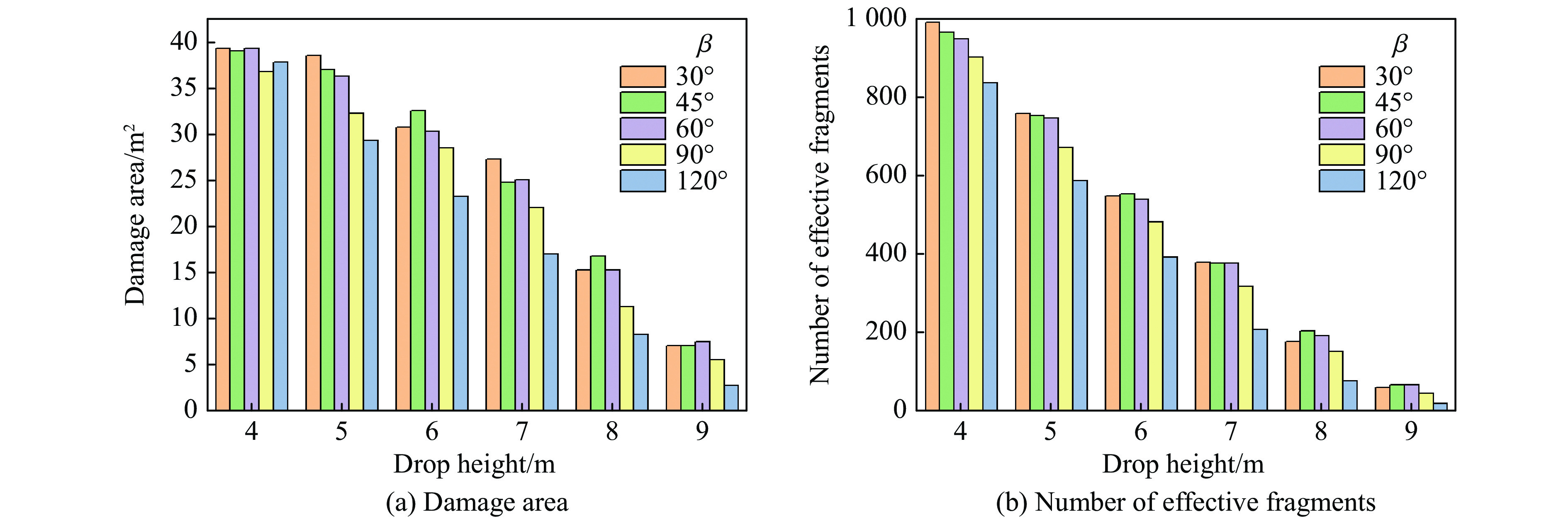
序贯起爆参数对定向战斗部毁伤效能的影响
张浩宇, 张树凯, 程立, 李元, 温玉全
2022, 36(2): 025101. doi: 10.11858/gywlxb.20210836
摘要:

为提高定向战斗部的毁伤效能,明确序贯起爆参数对定向战斗部毁伤效能的影响,运用LS-DYNA有限元程序,采用破片速度差累加和飞散角累加的方法,研究了不同序贯起爆参数下破片初始威力参数,利用毁伤概率法,计算了不同序贯起爆参数下战斗部对地面军用车辆的毁伤效能。结果表明:起爆线个数和起爆线夹角主要影响破片速度大小,起爆延时时间主要影响破片速度大小和飞散角正负占比。相对于偏心一线和三线序贯起爆,偏心两线序贯起爆在落高为7~9 m时有7.5~25.0 m2的毁伤面积。当起爆线夹角由30°增大到120°,落高为4~8 m时,战斗部对地面军用车辆的毁伤面积降低3.9%~60.3%。序贯起爆的延时时间由零增加到0.75倍的相邻起爆点间爆轰波传播时间,落高为4~8 m时,战斗部的毁伤面积增加8.4%~87.2%。当起爆方式采用偏心两线序贯起爆,起爆线夹角取30°~60°,延时时间取0.50~0.75倍的相邻起爆点间爆轰波传播时间时,破片战斗部对地面军用车辆目标具有较好的毁伤效能。

多次水下爆炸中船体梁的累积毁伤效应
唐正鹏, 李翔宇, 郑监
2022, 36(2): 025102. doi: 10.11858/gywlxb.20210809
摘要:

针对在多次水下爆炸中船体梁的累积毁伤问题,采用 AUTODYN软件与试验相结合的方法,分析了炸药当量、爆距、爆炸次数等因素对船体梁累积毁伤效应的影响。结果表明:在水下爆炸加载作用下,船体梁会发生中部凹陷局部塑性变形和整体中拱塑性弯曲变形。在一定冲击因子作用下,其挠度与水下爆炸加载次数呈线性关系,且药量越大,挠度越大。爆距相同时,同等当量炸药对船体梁进行单次和均分连续3次水下爆炸加载,其最终塑性变形挠度不同,均分连续3次爆炸作用下船体梁的塑性变形挠度更小。

聚黑铝炸药的能量输出特性及评估方法
吴星亮, 王旭, 徐飞扬, 马腾, 董卓超, 徐森, 刘大斌
2022, 36(2): 025103. doi: 10.11858/gywlxb.20210818
摘要:

为了研究RDX基聚黑铝炸药(JHL-X)的能量输出特性及其评估方法,通过绝热式量热仪、水下爆炸系统、空爆系统分别测试了JHL-X的爆热、水下爆炸能量、地面超压。结果表明:JHL-X在真空中的爆热值与在N2中的爆热值基本一致,约为1.75倍TNT当量;在空气中的爆热值为8045.724 J/g,为1.93倍TNT当量,比真空和N2中高10%。JHL-X水下爆炸中的冲击波能、气泡能分别为0.935、4.614 kJ/g,总能量为1.83倍TNT当量。空爆时,根据通过地面超压得出的TNT和JHL-X超压公式,得到1.5、2.0、2.5 m处的JHL-X的TNT当量分别为2.14、1.70、1.75,均值为1.86。采用水下爆炸和真空爆热法时,因外界环境不供氧,致使两种实验方法评估出的JHL-X炸药能量一致;而采用空爆和空气爆热法时,因外部环境供氧,致使含铝炸药中Al的反应增加,总能量提高,两种方法得到的实验结果相近。因此,在评估炸药能量水平时,需考虑炸药配方设计和实际用途,进而选择合适的评估方法。

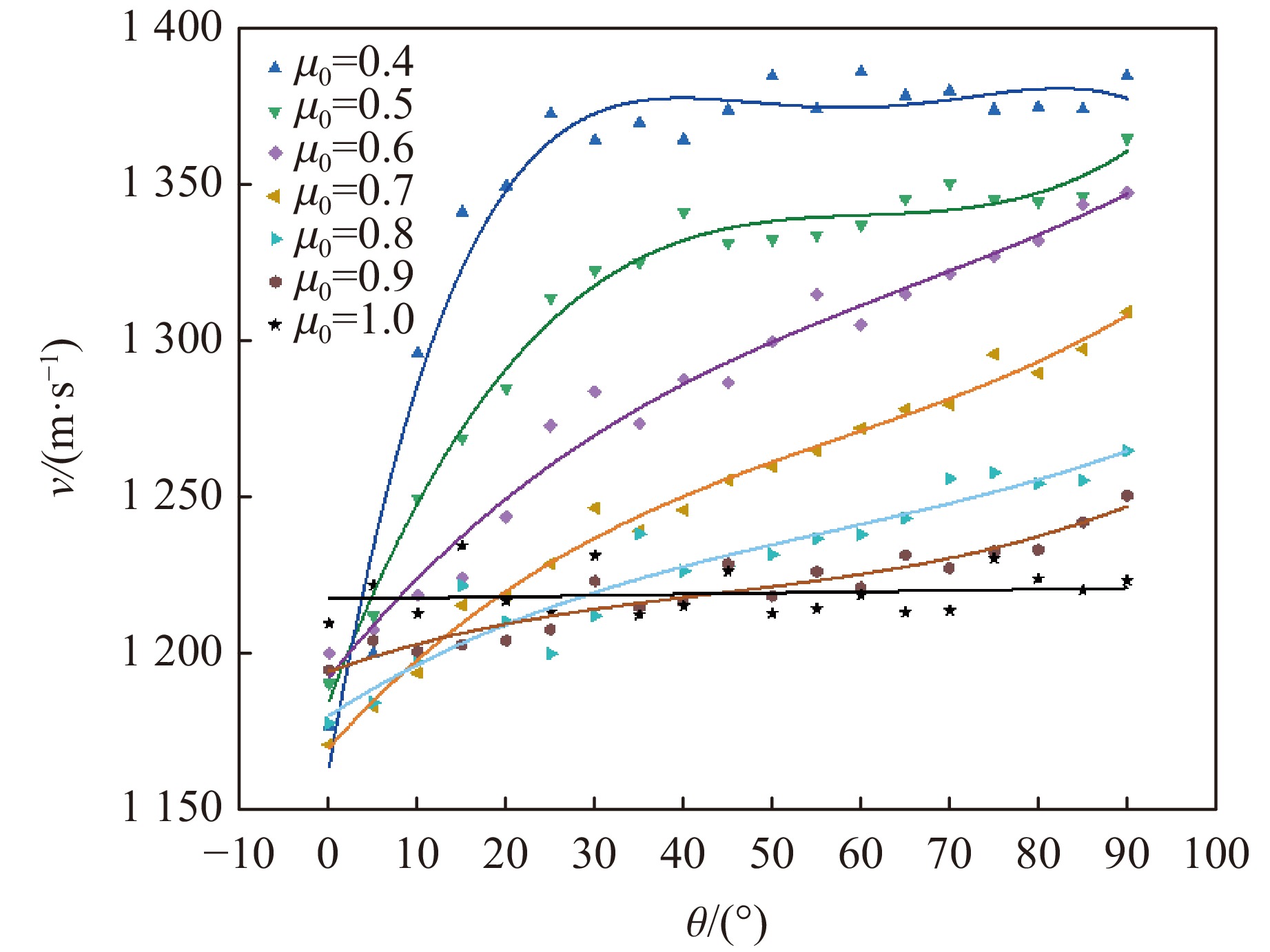
椭圆截面战斗部爆炸驱动破片作用过程的数值模拟
邓宇轩, 张先锋, 冯可华, 刘闯, 杜宁, 刘均伟, 李鹏程
2022, 36(2): 025104. doi: 10.11858/gywlxb.20210856
摘要:

为研究爆轰驱动下椭圆截面自然破片杀伤战斗部壳体的膨胀破裂过程以及壳体破片径向速度分布,建立了椭圆截面战斗部三维模型。通过AUTODYN-3D软件,采用Lagrange算法模拟爆轰驱动下椭圆截面自然破片战斗部壳体的膨胀断裂过程,研究了端面单点中心起爆方式下短长轴断裂时间差与短长轴比的关系,以及不同起爆点、不同短长轴比和不同装填比(即装药与壳体质量之比)对椭圆截面战斗部径向破片速度分布的影响。结果表明:与端面中心单点起爆、端面长轴双点偏心起爆和端面短长轴四点偏心起爆相比,端面短轴双点偏心起爆方式对椭圆截面战斗部壳体破片径向速度的增益效果最好。装填比一定时,短、长轴断裂时间以及短、长轴断裂时间差与短长轴比呈线性关系,战斗部壳体膨胀过程中截面形状的实时短长轴比与加载时间呈线性关系;随着短长轴比的增大,战斗部壳体破片径向速度增益逐渐减小。短长轴比一定,装填比小于1时,破片速度随方位角增大呈正弦趋势上升,且短、长轴方向破片速度差与装填比呈线性关系。

多种复合炸药装药的慢烤特性及其机理
肖游, 智小琦, 王琦, 范兴华
2022, 36(2): 025201. doi: 10.11858/gywlxb.20210871
摘要:

为研究不同结构复合装药在慢速烤燃过程中的响应规律,分别设计了JH-2和JHB炸药的$\varnothing $19 mm单独药柱装药和$\varnothing $30 mm复合药柱装药烤燃弹,通过慢速烤燃试验分别获得了单独药柱烤燃弹在1和2 ℃·min−1升温速率、复合药柱烤燃弹在1 ℃·min−1升温速率下的温度-时间变化曲线,并结合数值模拟进一步分析了烤燃弹内部温度场的变化。研究结果表明:单独药柱装药情况下,低敏感炸药能明显降低弹药在热刺激下的响应等级;而在复合药柱装药时,烤燃弹响应点均位于外层低敏感药柱靠近壳体的环状区域,响应温度随高能药柱直径的增加而升高,响应等级随外层低敏感药柱厚度的增加而增加,复合装药由于药柱接触面存在接触热阻,烤燃弹传热受到阻滞,使得内部高能药柱极少参与反应。

基于多参量判据的深地下工程岩爆倾向性研究
张恒源, 范俊奇, 郭佳奇, 石晓燕, 孙飞跃
2022, 36(2): 025202. doi: 10.11858/gywlxb.20210857
摘要:

依据岩石破坏的能量转化机制和单元整体破坏准则,提出了同时考虑岩石内部积聚的可释放应变能、岩石破坏所需的表面能临界值及脆性系数的多参量岩爆判据。基于三维离散元(3DEC)数值仿真平台,对上述岩爆判据进行了二次开发,研究了在不同埋深、不同侧压力系数下深地下工程在开挖扰动时的围岩主应力差、能量及岩爆倾向性响应特征。结果表明:围岩的主应力差较大值多集中在洞室拱顶,弹性应变能密度较大值多集中在洞室拱顶和拱脚处;随着埋深和侧压力系数的增加,岩爆判据指标的数值和较大值的分布范围均增大。为了验证所提岩爆判据和数值模拟方法的合理性与适用性,对锦屏二级水电站4#引水隧洞岩爆灾害进行了数值模拟与分析,发现岩爆灾害强弱程度及发生位置与工程实际情况相符。研究结果为深地下工程岩爆灾害的预测预报和有效防控提供了理论支持和技术指导。

基于模型试验的预裂孔爆破参数优选
李祥龙, 杨长辉, 王建国, 王子琛, 胡启文
2022, 36(2): 025301. doi: 10.11858/gywlxb.20210830
摘要:

为了有效地降低预裂爆破振动对边坡岩体和周边建构筑物的扰动,除了关注预裂缝的减振效应外,还需对预裂孔本身的爆破参数和起爆方式进行优化。为此,采用正交试验法,选用C30混凝土为爆破对象的相似模拟材料,开展预裂孔爆破成缝过程的相似模型试验,选取不耦合系数、延期时间、最大单响药量3个因素,每个因素设置4个水平,以有效半孔率、预裂缝宽度和原岩损伤率为评价指标,通过极差与方差计算分析各因素对评价指标的敏感度,确定了本次模型试验达到最佳爆破效果的预裂孔爆破参数:不耦合系数为1.33,延期时间为12 ms,最大单响药量为1.8 g。研究结果可为现场预裂孔爆破参数选择和精确延期时间设计提供指导。

超高压联合其他保鲜技术在水产品中应用的研究进展
蓝蔚青, 张炳杰, 谢晶
2022, 36(2): 025901. doi: 10.11858/gywlxb.20210862
摘要:

水产品捕捞后,由于微生物与内源酶的作用,在脂肪氧化等其他因素的影响下,感官品质下降,采用适当的处理手段可以延缓其劣变。超高压技术具有压力传递均匀、杀菌效果好、灭酶彻底等特点,能保全食品加工前的色泽、香味及各类营养成分,同时还可以赋予食品新的口感,具有低能耗、高效率、无二次污染、操作简便等优点。在介绍超高压处理技术主要优缺点、工作原理与作用机制的基础上,阐述了该技术在水产品灭菌、钝酶与加工改性等方面的应用研究进展,提出超高压处理可联合物理、化学及生物保鲜技术提升作用效果,并对超高压技术在水产品中的发展前景予以展望。